Should We Use Unilateral or Bilateral Tasks to Assess Maximal and Explosive Knee Extensor Strength in Patients with Knee Osteoarthritis? A Cross-Sectional Study
Abstract
1. Introduction
2. Materials and Methods
2.1. Participants
2.2. Study Design
2.3. Assessments
2.3.1. Performance-Based Tests
Timed up and Go Test
30-s Chair-Stand Test
40-m Fast-Paced Walk Test
9-Step Stair-Climb Test
Lower Limb Power
2.3.2. Self-Reported Function
Oxford Knee Score
Core Outcome Measure Index—Knee (COMI-Knee)
Euroqol-Five Dimensions (EQ-5D)
2.3.3. Maximal and Explosive Strength
Data Analysis
2.4. Statistical Analysis
3. Results
4. Discussion
4.1. Absolute Strength
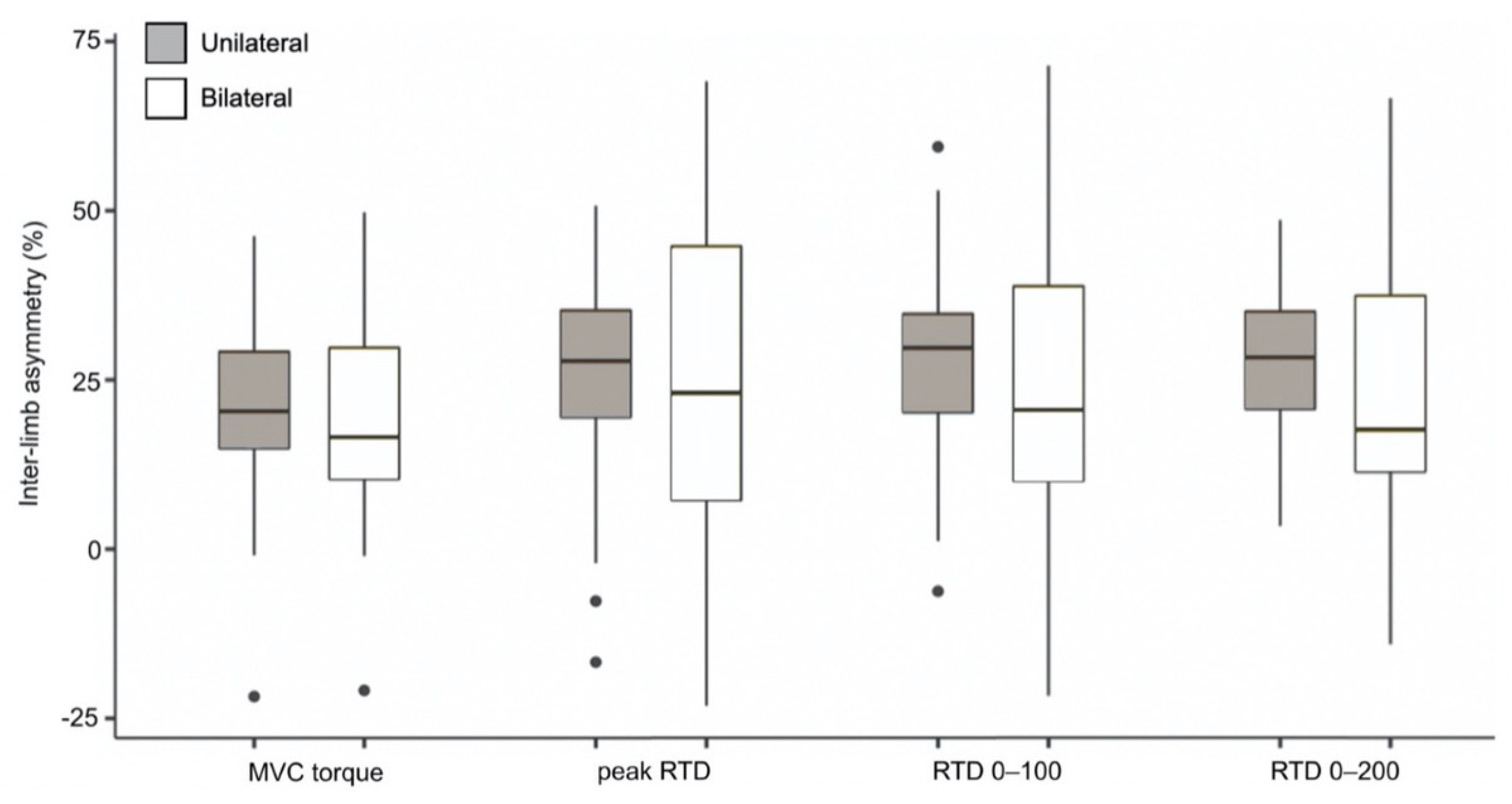
4.2. Inter-Limb Asymmetries
4.3. Performance-Based Function
4.4. Self-Reported Function
4.5. Implications
4.6. Study Limitations
5. Conclusions
Author Contributions
Funding
Institutional Review Board Statement
Informed Consent Statement
Data Availability Statement
Acknowledgments
Conflicts of Interest
References
- Spitaels, D.; Mamouris, P.; Vaes, B.; Smeets, M.; Luyten, F.; Hermens, R.; Vankrunkelsven, P. Epidemiology of Knee Osteoarthritis in General Practice: A Registry-Based Study. BMJ Open 2020, 10, e031734. [Google Scholar] [CrossRef]
- Cui, A.; Li, H.; Wang, D.; Zhong, J.; Chen, Y.; Lu, H. Global, Regional Prevalence, Incidence and Risk Factors of Knee Osteoarthritis in Population-Based Studies. EClinicalMedicine 2020, 29, 100587. [Google Scholar] [CrossRef]
- Hurley, M.V.; Scott, D.L.; Rees, J.; Newham, D.J. Sensorimotor Changes and Functional Performance in Patients with Knee Osteoarthritis. Ann. Rheum. Dis. 1997, 56, 641–648. [Google Scholar] [CrossRef]
- Murphy, L.; Schwartz, T.A.; Helmick, C.G.; Renner, J.B.; Tudor, G.; Koch, G.; Dragomir, A.; Kalsbeek, W.D.; Luta, G.; Jordan, J.M. Lifetime Risk of Symptomatic Knee Osteoarthritis. Arthritis Rheum. 2008, 59, 1207–1213. [Google Scholar] [CrossRef] [PubMed]
- Liikavainio, T.; Lyytinen, T.; Tyrväinen, E.; Sipilä, S.; Arokoski, J.P. Physical Function and Properties of Quadriceps Femoris Muscle in Men With Knee Osteoarthritis. Arch. Phys. Med. Rehabil. 2008, 89, 2185–2194. [Google Scholar] [CrossRef] [PubMed]
- Callahan, D.M.; Tourville, T.W.; Slauterbeck, J.R.; Ades, P.A.; Stevens-Lapsley, J.; Beynnon, B.D.; Toth, M.J. Reduced Rate of Knee Extensor Torque Development in Older Adults with Knee Osteoarthritis Is Associated with Intrinsic Muscle Contractile Deficits. Exp. Gerontol. 2015, 72, 16–21. [Google Scholar] [CrossRef] [PubMed]
- Moon, Y.-W.; Kim, H.-J.; Ahn, H.-S.; Lee, D.-H. Serial Changes of Quadriceps and Hamstring Muscle Strength Following Total Knee Arthroplasty: A Meta-Analysis. PLoS ONE 2016, 11, e0148193. [Google Scholar] [CrossRef]
- Ventura, A.; Muendle, B.; Friesenbichler, B.; Casartelli, N.C.; Kramers, I.; Maffiuletti, N.A. Deficits in Rate of Torque Development Are Accompanied by Activation Failure in Patients with Knee Osteoarthritis. J. Electromyogr. Kinesiol. 2019, 44, 94–100. [Google Scholar] [CrossRef] [PubMed]
- Aagaard, P.; Simonsen, E.B.; Andersen, J.L.; Magnusson, P.; Dyhre-Poulsen, P. Increased Rate of Force Development and Neural Drive of Human Skeletal Muscle Following Resistance Training. J. Appl. Physiol. 2002, 93, 1318–1326. [Google Scholar] [CrossRef]
- Osawa, Y.; Studenski, S.A.; Ferrucci, L. Knee Extension Rate of Torque Development and Peak Torque: Associations with Lower Extremity Function: Rate of Torque Development and Lower Extremity Function. J. Cachexia Sarcopenia Muscle 2018, 9, 530–539. [Google Scholar] [CrossRef]
- Maffiuletti, N.A. Assessment of Hip and Knee Muscle Function in Orthopaedic Practice and Research. J. Bone Jt. Surg. Am. 2010, 92, 220–229. [Google Scholar] [CrossRef]
- Sapega, A.A. Muscle Performance Evaluation in Orthopaedic Practice. J. Bone Jt. Surg. 1990, 72, 1562–1574. [Google Scholar] [CrossRef]
- Accettura, A.J.; Brenneman, E.C.; Stratford, P.W.; Maly, M.R. Knee Extensor Power Relates to Mobility Performance in People With Knee Osteoarthritis: Cross-Sectional Analysis. Phys. Ther. 2015, 95, 989–995. [Google Scholar] [CrossRef]
- Chun, S.-W.; Kim, K.-E.; Jang, S.-N.; Kim, K.-I.; Paik, N.-J.; Kim, K.W.; Jang, H.C.; Lim, J.-Y. Muscle Strength Is the Main Associated Factor of Physical Performance in Older Adults with Knee Osteoarthritis Regardless of Radiographic Severity. Arch. Gerontol. Geriatr. 2013, 56, 377–382. [Google Scholar] [CrossRef]
- Maly, M.R.; Costigan, P.A.; Olney, S.J. Contribution of Psychosocial and Mechanical Variables to Physical Performance Measures in Knee Osteoarthritis. Phys. Ther. 2005, 85, 1318–1328. [Google Scholar] [CrossRef]
- Skoffer, B.; Dalgas, U.; Mechlenburg, I.; Søballe, K.; Maribo, T. Functional Performance Is Associated with Both Knee Extensor and Flexor Muscle Strength in Patients Scheduled for Total Knee Arthroplasty: A Cross-Sectional Study. J. Rehabil. Med. 2015, 47, 454–459. [Google Scholar] [CrossRef]
- Valtonen, A.M.; Pöyhönen, T.; Manninen, M.; Heinonen, A.; Sipilä, S. Knee Extensor and Flexor Muscle Power Explains Stair Ascension Time in Patients With Unilateral Late-Stage Knee Osteoarthritis: A Cross-Sectional Study. J. Phys. Med. Rehabil. 2015, 96, 253–259. [Google Scholar] [CrossRef]
- Daugaard, R. Are Patients with Knee Osteoarthritis and Patients with Knee Joint Replacement as Physically Active as Healthy Persons? J. Orthop. Translat. 2018, 14, 8–15. [Google Scholar] [CrossRef] [PubMed]
- de Groot, I.B.; Bussmann, J.B.; Stam, H.J.; Verhaar, J.A.N. Actual Everyday Physical Activity in Patients with End-Stage Hip or Knee Osteoarthritis Compared with Healthy Controls. Osteoarthr. Cartil. 2008, 16, 436–442. [Google Scholar] [CrossRef] [PubMed]
- Verlaan, L.; Senden, R. Accelerometer-Based Physical Activity Monitoring in Patients with Knee Osteoarthritis: Objective and Ambulatory Assessment of Actual Physical Activity During Daily Life Circumstances. Open Biomed. Eng. J. 2015, 9, 157–163. [Google Scholar] [CrossRef] [PubMed]
- Hortobagyi, T.; Mizelle, C.; Beam, S.; DeVita, P. Old Adults Perform Activities of Daily Living Near Their Maximal Capabilities. J. Gerontol. A Biol. Sci. Med. Sci. 2003, 58, M453–M460. [Google Scholar] [CrossRef] [PubMed]
- Sarabon, N.; Kozinc, Z.; Bishop, C.; Maffiuletti, N.A. Factors Influencing Bilateral Deficit and Inter-Limb Asymmetry of Maximal and Explosive Strength: Motor Task, Outcome Measure and Muscle Group. Eur. J. Appl. Physiol. 2020, 120, 1681–1688. [Google Scholar] [CrossRef]
- Hakkinen, K.; Kraemer, W.J.; Kallinen, M.; Linnamo, V.; Pastinen, U.-M.; Newton, R.U. Bilateral and Unilateral Neuromuscular Function and Muscle Cross-Sectional Area in Middle-Aged and Elderly Men and Women. J. Gerontol. A Biol. Sci. Med. Sci. 1996, 51.1, B21–B29. [Google Scholar] [CrossRef] [PubMed]
- Dobson, F.; Hinman, R.S.; Roos, E.M.; Abbott, J.H.; Stratford, P.; Davis, A.M.; Buchbinder, R.; Snyder-Mackler, L.; Henrotin, Y.; Thumboo, J.; et al. OARSI Recommended Performance-Based Tests to Assess Physical Function in People Diagnosed with Hip or Knee Osteoarthritis. Osteoarthr. Cartil. 2013, 21, 1042–1052. [Google Scholar] [CrossRef] [PubMed]
- Hurst, C.; Batterham, A.M.; Weston, K.L.; Weston, M. Short- and Long-Term Reliability of Leg Extensor Power Measurement in Middle-Aged and Older Adults. J. Sports Sci. 2018, 36, 970–977. [Google Scholar] [CrossRef]
- Naal, F.D.; Impellizzeri, F.M.; Leunig, M. Which Is the Best Activity Rating Scale for Patients Undergoing Total Joint Arthroplasty? Clin. Orthop. Relat. Res. 2009, 467, 958–965. [Google Scholar] [CrossRef]
- Impellizzeri, F.M.; Leunig, M.; Preiss, S.; Guggi, T.; Mannion, A.F. The Use of the Core Outcome Measures Index (COMI) in Patients Undergoing Total Knee Replacement. Knee 2017, 24, 372–379. [Google Scholar] [CrossRef] [PubMed]
- Rabin, R.; de Charro, F. EQ-SD: A Measure of Health Status from the EuroQol Group. Ann. Med. 2001, 33, 337–343. [Google Scholar] [CrossRef]
- Prieto, L.; Sacristán, J.A. What Is the Value of Social Values? The Uselessness of Assessing Health-Related Quality of Life through Preference Measures. BMC Med. Res. Methodol. 2004, 4, 10. [Google Scholar] [CrossRef]
- Maffiuletti, N.A.; Aagaard, P.; Blazevich, A.J.; Folland, J.; Tillin, N.; Duchateau, J. Rate of Force Development: Physiological and Methodological Considerations. Eur. J. Appl. Physiol. 2016, 116, 1091–1116. [Google Scholar] [CrossRef]
- Sarabon, N.; Rosker, J.; Fruhmann, H.; Burggraf, S.; Loefler, S.; Kern, H. Reliability of Maximal Voluntary Contraction Related Parameters Measured by a Novel Portable Isometric Knee Dynamometer. Phys. Rehabil. Kur. Med. 2013, 23, 22–27. [Google Scholar] [CrossRef]
- Howard, J.D.; Enoka, R.M. Maximum Bilateral Contractions Are Modified by Neurally Mediated Interlimb Effects. J. Appl. Physiol. 1991, 70, 306–316. [Google Scholar] [CrossRef]
- Gonzalo-Skok, O.; Tous-Fajardo, J.; Suarez-Arrones, L.; Arjol-Serrano, J.L.; Casajús, J.A.; Mendez-Villanueva, A. Single-Leg Power Output and Between-Limbs Imbalances in Team-Sport Players: Unilateral Versus Bilateral Combined Resistance Training. Int. J. Sports Physiol. Perform. 2017, 12, 106–114. [Google Scholar] [CrossRef]
- Chang, S.-H.; Durand-Sanchez, A.; DiTommaso, C.; Li, S. Interlimb Interactions during Bilateral Voluntary Elbow Flexion Tasks in Chronic Hemiparetic Stroke. Physiol. Rep. 2013, 1. [Google Scholar] [CrossRef] [PubMed]
- DeJong, S.L.; Lang, C.E. The Bilateral Movement Condition Facilitates Maximal but Not Submaximal Paretic-Limb Grip Force in People with Post-Stroke Hemiparesis. Clin. Neurophysiol. 2012, 123, 1616–1623. [Google Scholar] [CrossRef][Green Version]
- Ithurburn, M.P.; Thomas, S.; Paterno, M.V.; Schmitt, L.C. Young Athletes after ACL Reconstruction with Asymmetric Quadriceps Strength at the Time of Return-to-Sport Clearance Demonstrate Drop-Landing Asymmetries Two Years Later. Knee 2021, 29, 520–529. [Google Scholar] [CrossRef] [PubMed]
- King, E.; Richter, C.; Franklyn-Miller, A.; Wadey, R.; Moran, R.; Strike, S. Back to Normal Symmetry? Biomechanical Variables Remain More Asymmetrical Than Normal During Jump and Change-of-Direction Testing 9 Months After Anterior Cruciate Ligament Reconstruction. Am. J. Sports Med. 2019, 47, 1175–1185. [Google Scholar] [CrossRef]
- Królikowska, A.; Czamara, A.; Szuba, Ł.; Reichert, P. The Effect of Longer versus Shorter Duration of Supervised Physiotherapy after ACL Reconstruction on the Vertical Jump Landing Limb Symmetry. Biomed. Res. Int. 2018, 2018, 7519467. [Google Scholar] [CrossRef] [PubMed]
- Nagai, T.; Schilaty, N.D.; Laskowski, E.R.; Hewett, T.E. Hop Tests Can Result in Higher Limb Symmetry Index Values than Isokinetic Strength and Leg Press Tests in Patients Following ACL Reconstruction. Knee Surg. Sports Traumatol. Arthrosc. 2020, 28, 816–822. [Google Scholar] [CrossRef] [PubMed]
- Benjanuvatra, N.; Lay, B.S.; Alderson, J.A.; Blanksby, B.A. Comparison of Ground Reaction Force Asymmetry in One- and Two-Legged Countermovement Jumps. J. Strength Cond. Res. 2013, 27, 2700–2707. [Google Scholar] [CrossRef]
- Cornwell, A.; Khodiguian, N.; Yoo, E.J. Relevance of Hand Dominance to the Bilateral Deficit Phenomenon. Eur. J. Appl. Physiol. 2012, 112, 4163–4172. [Google Scholar] [CrossRef] [PubMed]
- Dickin, D.C.; Sandow, R.; Dolny, D.G. Bilateral Deficit in Power Production during Multi-Joint Leg Extensions. Eur. J. Sport Sci. 2011, 11, 437–445. [Google Scholar] [CrossRef]
- Luk, H.-Y.; Winter, C.; O’Neill, E.; Thompson, B.A. Comparison of Muscle Strength Imbalance in Powerlifters and Jumpers. J. Strength Cond. Res. 2014, 28, 23–27. [Google Scholar] [CrossRef] [PubMed]
- McLean, S.P.; Vint, P.F.; Stember, A.J. Submaximal Expression of the Bilateral Deficit. Res. Q. Exerc. Sport 2006, 77, 340–350. [Google Scholar] [CrossRef] [PubMed]
- Newton, R.U.; Gerber, A.; Nimphius, S.; Shim, J.K.; Doan, B.K.; Robertson, M.; Pearson, D.R.; Craig, B.W.; Kkinen, K.H.; Kraemer, W.J. Determination of functional strength imbalance of the lower extremities. J. Strength Cond. Res. 2006, 20, 971–977. [Google Scholar]
- Oda, S.; Moritani, T. Cross-Correlation Studies of Movement-Related Cortical Potentials during Unilateral and Bilateral Muscle Contractions in Humans. Eur. J. Appl. Physiol. 1996, 74, 29–35. [Google Scholar] [CrossRef] [PubMed]
- Ohtsuki, T. Decrease in Grip Strength Induced by Simultaneous Bilateral Exertion with Reference to Finger Strength. Ergonomics 1981, 24, 37–48. [Google Scholar] [CrossRef]
- Pérez-Castilla, A.; García-Ramos, A.; Janicijevic, D.; Miras-Moreno, S.; De la Cruz, J.C.; Rojas, F.J.; Cepero, M. Unilateral or Bilateral Standing Broad Jumps: Which Jump Type Provides Inter-Limb Asymmetries with a Higher Reliability? J. Sports Sci. Med. 2021, 20, 317–327. [Google Scholar] [CrossRef]
- Post, M.; van Duinen, H.; Steens, A.; Renken, R.; Kuipers, B.; Maurits, N.; Zijdewind, I. Reduced Cortical Activity during Maximal Bilateral Contractions of the Index Finger. NeuroImage 2007, 35, 16–27. [Google Scholar] [CrossRef]
- Read, P.J.; McAuliffe, S.; Bishop, C.; Oliver, J.L.; Graham-Smith, P.; Farooq, M.A. Asymmetry Thresholds for Common Screening Tests and Their Effects on Jump Performance in Professional Soccer Players. J. Athl. Train. 2021, 56, 46–53. [Google Scholar] [CrossRef]
- Rejc, E.; Lazzer, S.; Antonutto, G.; Isola, M.; di Prampero, P.E. Bilateral Deficit and EMG Activity during Explosive Lower Limb Contractions against Different Overloads. Eur. J. Appl. Physiol. 2010, 108, 157–165. [Google Scholar] [CrossRef]
- Šarabon, N.; Smajla, D.; Maffiuletti, N.A.; Bishop, C. Strength, Jumping and Change of Direction Speed Asymmetries in Soccer, Basketball and Tennis Players. Symmetry 2020, 12, 1664. [Google Scholar] [CrossRef]
- Simon, A.M.; Ferris, D.P. Lower Limb Force Production and Bilateral Force Asymmetries Are Based on Sense of Effort. Exp. Brain. Res. 2008, 187, 129–138. [Google Scholar] [CrossRef]
- Stephens, T.M.; Lawson, B.R.; DeVoe, D.E.; Reiser, R.F. Gender and Bilateral Differences in Single-Leg Countermovement Jump Performance with Comparison to a Double-Leg Jump. J. Appl. Biomech. 2007, 23, 190–202. [Google Scholar] [CrossRef]
- Turnes, T.; Silva, B.A.; Kons, R.L.; Detanico, D. Is Bilateral Deficit in Handgrip Strength Associated With Performance in Specific Judo Tasks? J. Strength Cond. Res. 2019. Publish ahead of print. [Google Scholar] [CrossRef] [PubMed]
- Brown, C.J.; Redden, D.T.; Flood, K.L.; Allman, R.M. The Underrecognized Epidemic of Low Mobility During Hospitalization of Older Adults: THE EPIDEMIC OF LOW MOBILITY DURING HOSPITALIZATION. J. Am. Geriatr. Soc. 2009, 57, 1660–1665. [Google Scholar] [CrossRef] [PubMed]
- Mizner, R.L.; Petterson, S.C.; Clements, K.E.; Zeni, J.A.; Irrgang, J.J.; Snyder-Mackler, L. Measuring Functional Improvement After Total Knee Arthroplasty Requires Both Performance-Based and Patient-Report Assessments. J. Arthroplast. 2011, 26, 728–737. [Google Scholar] [CrossRef]
- Tevald, M.A.; Murray, A.M.; Luc, B.; Lai, K.; Sohn, D.; Pietrosimone, B. The Contribution of Leg Press and Knee Extension Strength and Power to Physical Function in People with Knee Osteoarthritis: A Cross-Sectional Study. Knee 2016, 23, 942–949. [Google Scholar] [CrossRef]
- Tanaka, S.; Tamari, K.; Amano, T.; Robbins, S.M.; Inoue, Y.; Tanaka, R. Self-Reported Physical Activity Is Related to Knee Muscle Strength on the Unaffected Side and Walking Ability in Patients with Knee Osteoarthritis Awaiting Total Knee Arthroplasty: A Cross-Sectional Study. Physiother. Theory Pract. 2020, 1–7. [Google Scholar] [CrossRef]
- Indelli, P.F.; Risitano, S.; Hall, K.E.; Leonardi, E.; Migliore, E. Effect of Polyethylene Conformity on Total Knee Arthroplasty Early Clinical Outcomes. Knee Surg. Sports Traumatol. Arthrosc. 2019, 27, 1028–1034. [Google Scholar] [CrossRef] [PubMed]
- Beard, D.J.; Harris, K.; Dawson, J.; Doll, H.; Murray, D.W.; Carr, A.J.; Price, A.J. Meaningful Changes for the Oxford Hip and Knee Scores after Joint Replacement Surgery. J. Clin. Epidemiol. 2015, 68, 73–79. [Google Scholar] [CrossRef] [PubMed]
- Williams, D.P.; Blakey, C.M.; Hadfield, S.G.; Murray, D.W.; Price, A.J.; Field, R.E. Long-Term Trends in the Oxford Knee Score Following Total Knee Replacement. Bone Jt. J. 2013, 95-B, 45–51. [Google Scholar] [CrossRef] [PubMed]
- Murray, D.W.; Fitzpatrick, R.; Rogers, K.; Pandit, H.; Beard, D.J.; Carr, A.J.; Dawson, J. The Use of the Oxford Hip and Knee Scores. J. Bone Jt. Surg. Br. 2007, 89, 1010–1014. [Google Scholar] [CrossRef] [PubMed]



| Variable | Mean (SD) |
|---|---|
| Age (yrs) | 65 (7) |
| Weight (kg) | 87 (26) |
| Height (cm) | 170 (10) |
| Timed up and go test (s) | 5.97 (1.43) |
| 30-s chair-stand test (repetitions) | 15.60 (3.45) |
| 40-m fast-paced walk test (m/s) | 2.20 (0.52) |
| 9-step stair-climb test (s) | 10.10 (4.32) |
| Relative lower limb power-involved (W/kg) | 1.59 (0.69) |
| Relative lower limb power-bilateral (W/kg) | 2.83 (0.76) |
| Median (IQR) | |
| Oxford Knee Score (0 = worst; 48 = best) | 28.0 (25.5–32.8) |
| COMI-knee (0 = best; 10 = worst) | 6.05 (5.10–6.56) |
| EQ-5D index (−0.59 = worst; 1 = best) | 0.78 (0.65–0.83) |
| Involved Side | Uninvolved Side | |||
|---|---|---|---|---|
| Unilateral | Bilateral | Unilateral | Bilateral | |
| MVC torque (Nm) | 149 (49) ° | 141 (51) ° * | 191 (59) | 176 (61) * |
| Peak RTD (Nm/s) | 843 (390) ° | 709 (943) ° * | 1129 (488) | 943 (485) * |
| RTD 0–100 (Nm/s) | 718 (299) ° | 607 (306) ° * | 1011 (400) | 835 (434) * |
| RTD 0–200 (Nm/s) | 549 (213) ° | 480 (227) ° * | 761 (282) | 633 (295) * |
| MVC Torque | Peak RTD | RTD 0–100 | RTD 0–200 | |||||
|---|---|---|---|---|---|---|---|---|
| Unilateral | Bilateral | Unilateral | Bilateral | Unilateral | Bilateral | Unilateral | Bilateral | |
| Performance-based function | ||||||||
| Timed up and go test | –0.70 *** | –0.73 *** | –0.58 ** | –0.63 *** | –0.53 ** | –0.65 *** | –0.60 ** | –0.69 *** |
| 30-s chair-stand test | 0.31 | 0.35 | –0.01 | 0.00 | 0.00 | 0.02 | 0.12 | 0.04 |
| 40-m fast-paced walk test | 0.62 ** | 0.64 *** | 0.69 *** | 0.71 *** | 0.66 *** | 0.77 *** | 0.58 ** | 0.74 *** |
| 9-step stair-climb test | –0.61 ** | –0.67 *** | –0.59 ** | –0.55 ** | –0.56 ** | –0.55 ** | –0.57 ** | –0.60 ** |
| Relative lower limb power-involved | 0.66 *** | 0.60 ** | 0.66 *** | 0.61 ** | 0.66 *** | 0.71 *** | 0.58 ** | 0.62 ** |
| Relative lower limb power-bilateral | 0.52 ** | 0.50 * | 0.56 ** | 0.55 ** | 0.49 * | 0.56 ** | 0.49 * | 0.51 * |
| Self-reported function | ||||||||
| Oxford Knee Score | 0.14 | 0.17 | 0.14 | –0.05 | 0.17 | –0.04 | 0.17 | –0.07 |
| COMI-knee | 0.00 | –0.01 | 0.06 | 0.15 | 0.04 | 0.18 | 0.04 | 0.18 |
| EQ-5D index | –0.07 | –0.07 | –0.12 | –0.25 | –0.01 | –0.25 | –0.07 | –0.15 |
Publisher’s Note: MDPI stays neutral with regard to jurisdictional claims in published maps and institutional affiliations. |
© 2021 by the authors. Licensee MDPI, Basel, Switzerland. This article is an open access article distributed under the terms and conditions of the Creative Commons Attribution (CC BY) license (https://creativecommons.org/licenses/by/4.0/).
Share and Cite
Pfeifle, J.; Hasler, D.; Maffiuletti, N.A. Should We Use Unilateral or Bilateral Tasks to Assess Maximal and Explosive Knee Extensor Strength in Patients with Knee Osteoarthritis? A Cross-Sectional Study. J. Clin. Med. 2021, 10, 4353. https://doi.org/10.3390/jcm10194353
Pfeifle J, Hasler D, Maffiuletti NA. Should We Use Unilateral or Bilateral Tasks to Assess Maximal and Explosive Knee Extensor Strength in Patients with Knee Osteoarthritis? A Cross-Sectional Study. Journal of Clinical Medicine. 2021; 10(19):4353. https://doi.org/10.3390/jcm10194353
Chicago/Turabian StylePfeifle, Jonas, David Hasler, and Nicola A. Maffiuletti. 2021. "Should We Use Unilateral or Bilateral Tasks to Assess Maximal and Explosive Knee Extensor Strength in Patients with Knee Osteoarthritis? A Cross-Sectional Study" Journal of Clinical Medicine 10, no. 19: 4353. https://doi.org/10.3390/jcm10194353
APA StylePfeifle, J., Hasler, D., & Maffiuletti, N. A. (2021). Should We Use Unilateral or Bilateral Tasks to Assess Maximal and Explosive Knee Extensor Strength in Patients with Knee Osteoarthritis? A Cross-Sectional Study. Journal of Clinical Medicine, 10(19), 4353. https://doi.org/10.3390/jcm10194353

