Efficacy of Remdesivir-Containing Therapy in Hospitalized COVID-19 Patients: A Prospective Clinical Experience
Abstract
:1. Introduction
2. Materials and Methods
2.1. Study Design and Data Collection
2.2. Endpoints and Statistical Analysis
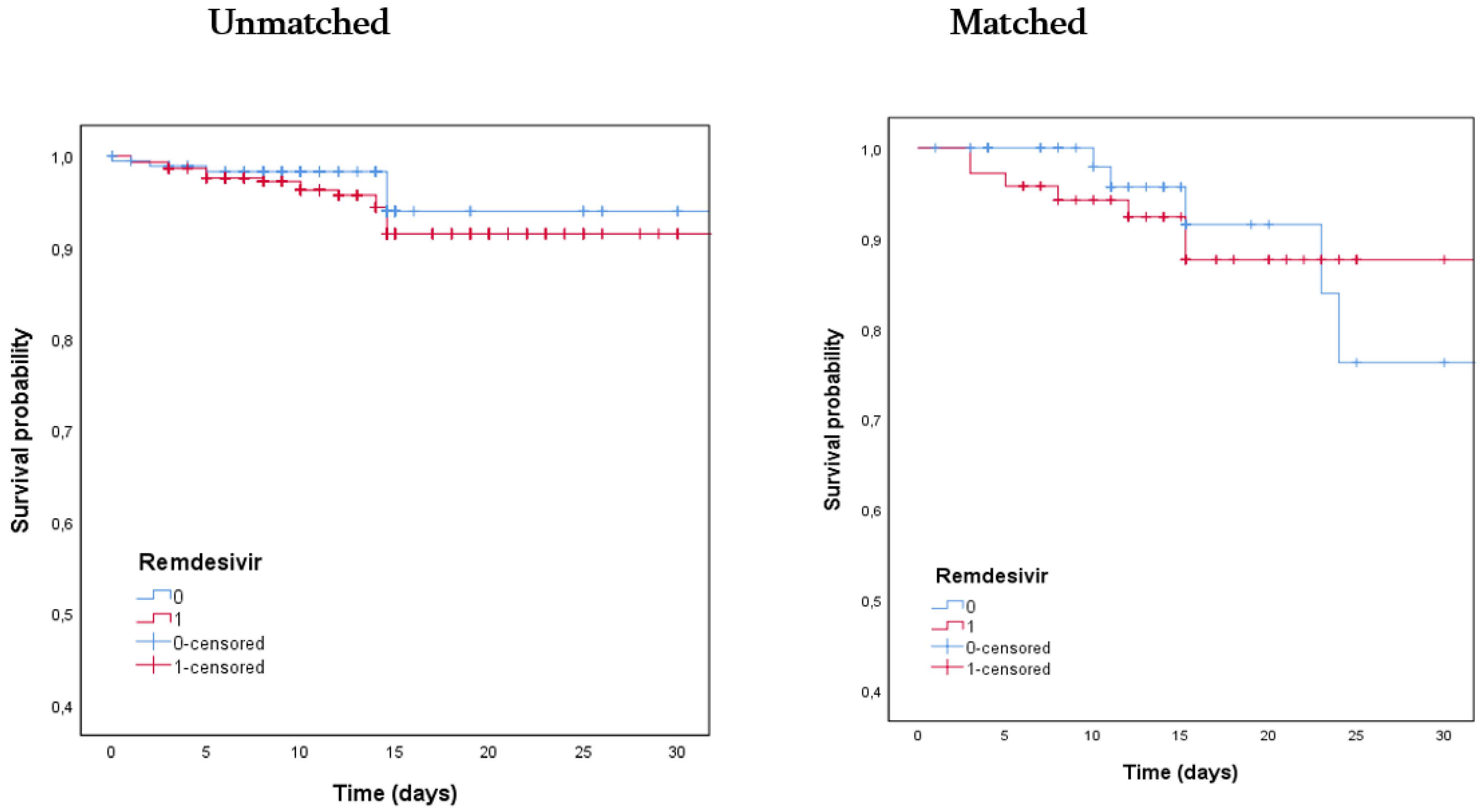
3. Results
4. Discussion
5. Conclusions
Supplementary Materials
Author Contributions
Funding
Institutional Review Board Statement
Informed Consent Statement
Data Availability Statement
Conflicts of Interest
References
- Horby, P.; Lim, W.S.; Emberson, J.R.; Mafham, M.; Bell, J.L.; Linsell, L.; Staplin, N.; Brightling, C.; Ustianowski, A.; Elmahi, E.; et al. Dexamethasone in hospitalized patients with Covid-19. N. Engl. J. Med. 2021, 384, 693–704. [Google Scholar]
- Bhimraj, A.; Morgan, R.L.; Shumaker, A.H.; Lavergne, V.; Baden, L.; Cheng, V.C.; Edwards, K.M.; Gandhi, R.; Muller, W.J.; O’Horo, J.C.; et al. Infectious Diseases society of America guidelines on the treatment and management of patients with COVID-19. Clin. Infect. Dis. 2020, ciaa478. [Google Scholar] [CrossRef] [PubMed]
- Warren, T.K.; Jordan, R.; Lo, M.K.; Ray, A.S.; Mackman, R.L.; Soloveva, V.; Siegel, D.; Perron, M.; Bannister, R.; Hui, H.C.; et al. Therapeutic efficacy of the small molecule GS-5734 against Ebola virus in rhesus monkeys. Nature 2016, 531, 381–385. [Google Scholar] [CrossRef] [PubMed]
- Frediansyah, A.; Nainu, F.; Dhama, K.; Mudatsir, M.; Harapan, H. Remdesivir and its antiviral activity against COVID-19: A systematic review. Clin. Epidemiol. Glob. Health 2021, 9, 123–127. [Google Scholar] [CrossRef] [PubMed]
- Kalil, A.C.; Patterson, T.F.; Mehta, A.K.; Tomashek, K.M.; Wolfe, C.R.; Ghazaryan, V.; Marconi, V.C.; Ruiz-Palacios, G.M.; Hsieh, L.; Kline, S.; et al. Baricitinib plus Remdesivir for hospitalized adults with Covid-19. N. Engl. J. Med. 2021, 384, 795–807. [Google Scholar] [CrossRef] [PubMed]
- Wang, M.; Cao, R.; Zhang, L.; Yang, X.; Liu, J.; Xu, M.; Shi, Z.; Hu, Z.; Zhong, W.; Xiao, G. Remdesivir and chloroquine effectively inhibit the recently emerged novel coronavirus (2019-nCoV) in vitro. Cell Res. 2020, 30, 269–271. [Google Scholar] [CrossRef]
- Beigel, J.H.; Tomashek, K.M.; Dodd, L.E.; Mehta, A.K.; Zingman, B.S.; Kalil, A.C.; Hohmann, E.; Chu, H.Y.; Luetkemeyer, A.; Kline, S.; et al. Remdesivir for the treatment of Covid-19-final report. N. Engl. J. Med. 2020, 383, 1813–1826. [Google Scholar] [CrossRef]
- Coronavirus (COVID-19) Update: FDA Authorizes Drug Combination for Treatment of COVID-19. 2020. Available online: https://www.fda.gov/news-events/press-announcements/coronavirus-covid-19-update-fda-authorizes-drug-combination-treatment-covid-19 (accessed on 14 August 2021).
- Available online: https://www.ema.europa.eu/en/medicines/human/EPAR/veklury (accessed on 14 August 2021).
- Kaka, A.S.; MacDonald, R.; Greer, N.; Vela, K.; Duan-Porter, W.; Obley, A.; Wilt, T.J. Major Update: Remdesivir for Adults with COVID-19: A living systematic review and meta-analysis for the American college of physicians practice points. Ann. Intern. Med. 2021, 174, 663–672. [Google Scholar] [CrossRef]
- Ranieri, V.M.; Rubenfeld, G.D.; Thompson, B.T.; Ferguson, N.D.; Caldwell, E.; Fan, E.; Camporota, L.; Slutsky, A.S. Acute Respiratory Distress Syndrome: The Berlin Definition. JAMA 2012, 307, 2526–2533. [Google Scholar]
- Huang, F.; DU, C.; Sun, M.; Ning, B.; Luo, Y.; An, S. Propensity score matching in SPSS. J. South. Med. Univ. 2015, 35, 1597–1601. [Google Scholar]
- Rajendram, P.; Sacha, G.L.; Mehkri, O.; Wang, X.; Han, X.; Vachharajani, V.; Duggal, A. Tocilizumab in Coronavirus disease 2019-related critical illness: A propensity matched analysis. Crit. Care Explor. 2021, 3, e0327. [Google Scholar] [CrossRef] [PubMed]
- Available online: https://www.aifa.gov.it/-/procedura-di-richiesta-per-il-farmaco-veklury-remdesivir (accessed on 28 April 2021).
- Olender, S.A.; Perez, K.K.; Go, A.S.; Balani, B.; Price-Haywood, E.G.; Shah, N.S.; Wang, S.; Walunas, T.L.; Swaminathan, S.; Slim, J.; et al. Remdesivir for severe COVID-19 versus a cohort receiving standard of care. Clin. Infect Dis. 2020, ciaa1041. [Google Scholar] [CrossRef]
- Pan, H.; Peto, R.; Henao-Restrepo, A.M.; Preziosi, M.P.; Sathiyamoorthy, V.; Abdool Karim, Q.; Alejandria, M.M.; Hernández García, C.; Kieny, M.P.; Malekzadeh, R.; et al. Repurposed antiviral drugs for Covid-19-interim WHO solidarity trial results. N. Engl. J. Med. 2021, 384, 497–511. [Google Scholar]
- Garcia-Vidal, C.; Meira, F.; Cózar-Llistó, A.; Dueñas, G.; Puerta-Alcalde, P.; Garcia-Pouton, N.; Chumbita, M.; Cardozo, C.; Hernandez-Meneses, M.; Alonso-Navarro, R.; et al. Real-life use of remdesivir in hospitalized patients with COVID-19. Rev. Esp. Quim. 2021, 136–140. [Google Scholar] [CrossRef] [PubMed]
- Flisiak, R.; Zarębska-Michaluk, D.; Berkan-Kawińska, A.; Tudrujek-Zdunek, M.; Rogalska, M.; Piekarska, A.; Kozielewicz, D.; Kłos, K.; Rorat, M.; Bolewska, B.; et al. Remdesivir-based therapy improved the recovery of patients with COVID-19 in the multicenter, real-world SARSTer study. Pol. Arch. Intern. Med. 2021, 131, 103–110. [Google Scholar] [CrossRef] [PubMed]
- Al-Abdouh, A.; Bizanti, A.; Barbarawi, M.; Jabri, A.; Kumar, A.; Fashanu, O.E.; Khan, S.U.; Zhao, D.; Antar, A.A.R.; Michos, E.D. Remdesivir for the treatment of COVID-19: A systematic review and meta-analysis of randomized controlled trials. Contemp. Clin. Trials 2021, 101, 106–272. [Google Scholar] [CrossRef]
- Wilt, T.J.; Kaka, A.S.; MacDonald, R.; Greer, N.; Obley, A.; Duan-Porter, W. Remdesivir for Adults With COVID-19: A Living Systematic Review for American College of Physicians Practice Points. Ann. Intern. Med. 2021, 174, 209–220. [Google Scholar] [CrossRef]
- Wang, Y.; Zhang, D.; Du, G.; Du, R.; Zhao, J.; Jin, Y.; Fu, S.; Gao, L.; Cheng, Z.; Lu, Q.; et al. Remdesivir in adults with severe COVID-19: A randomised, double-blind, placebo-controlled, multicentre trial. Lancet 2020, 395, 1569–1578. [Google Scholar] [CrossRef]
- Vistoli, F.; Furian, L.; Maggiore, U.; Caldara, R.; Cantaluppi, V.; Ferraresso, M.; Zaza, G.; Cardillo, M.; Biancofiore, G.; Menichetti, F.; et al. COVID-19 and kidney transplantation: An Italian Survey and Consensus. J. Nephrol. 2020, 33, 667–680. [Google Scholar] [CrossRef]
- Falcone, M.; Tiseo, G.; Barbieri, G.; Galfo, V.; Russo, A.; Virdis, A.; Forfori, F.; Corradi, F.; Guarracino, F.; Carrozzi, L.; et al. Role of low-molecular-weight heparin in hospitalized patients with severe acute respiratory syndrome Coronavirus 2 Pneumonia: A prospective observational study. Open Forum Infect. Dis. 2020, 7, ofaa563. [Google Scholar] [CrossRef]
- Spinner, C.D.; Gottlieb, R.L.; Criner, G.J.; Arribas López, J.R.; Cattelan, A.M.; Soriano Viladomiu, A.; Ogbuagu, O.; Malhotra, P.; Mullane, K.M.; Castagna, A.; et al. Effect of remdesivir vs standard care on clinical status at 11 days in patients with moderate COVID-19: A randomized clinical trial. JAMA 2020, 324, 1048–1057. [Google Scholar] [CrossRef] [PubMed]

| Variable | Control Group n = 113 (%) | Remdesivir n = 294 (%) | p-Value |
|---|---|---|---|
| Male sex | 70 (62%) | 250 (80%) | <0.001 |
| Age, years, mean (± SD) | 62.5 (±20) | 63.2 (±15.3) | 0.717 |
| Days from symptoms/positive nasopharyngeal swab to admission, mean (± SD) | 4.5 (±4.3) | 5.3 (±3.8) | 0.084 |
| Charlson comorbidity index (± SD) | 2.5 (±2.1) | 2.6 (±1.9) | 0.719 |
| Cardiovascular disease | 17 (15%) | 33 (11%) | 0.203 |
| COPD | 19 (17%) | 31 (10%) | 0.051 |
| Chronic kidney disease | 10 (9%) | 18 (6%) | 0.256 |
| Liver cirrhosis | 2 (2%) | 12 (4%) | 0.293 |
| Diabetes mellitus | 21 (19%) | 53 (17%) | 0.672 |
| Solid lung cancer (primary or metastasis) | 1 (1%) | 3 (1%) | 1 |
| Fever | 56 (50%) | 246 (79%) | <0.001 |
| Cough | 33 (29%) | 157 (50%) | <0.001 |
| Dyspnea | 42 (37%) | 178 (57%) | <0.001 |
| Gastrointestinal symptoms (diarrhea, abdominal discomfort, nausea, vomiting) | 16 (14%) | 58 (18%) | 0.271 |
| Fatigue | 21 (19%) | 57 (19%) | 1 |
| Arthralgia/myalgia | 13 (12%) | 45 (14%) | 0.46 |
| Anosmia | 3 (3%) | 9 (3%) | 1 |
| Conjunctivitis | 0 (0%) | 2 (1%) | 0.397 |
| Chest pain | 5 (4%) | 11 (3%) | 0.655 |
| Parenchymal thickening | 72 (64%) | 232 (74%) | 0.046 |
| Interstitial lung disease | 16 (14%) | 15 (5%) | <0.001 |
| Pleural effusion | 20 (18%) | 26 (9%) | 0.012 |
| Bronchiectasis/emphysema | 27 (24%) | 50 (15%) | 0.032 |
| White blood cells ×103/uL, mean (±SD) | 7.38 (±3.59) | 8.06 (±5.99) | 0.287 |
| Neutrophils ×103/uL, mean (±SD) | 5.60 (±3.61) | 6.31 (±5.31) | 0.211 |
| Lymphocytes ×103/uL, mean (±SD) | 1.18 (±0.65) | 1.12 (±2.28) | 0.769 |
| Platelets ×103/uL, mean (±SD) | 247.66 (±100.85) | 218.47 (±81.73) | 0.004 |
| D-dimer ng/mL, mean (±SD) | 1365.71 (±1456.18) | 814.91 (±766.45) | <0.001 |
| Ferritin ng/mL, mean (±SD) | 692.35 (±942.17) | 645.02 (±489.52) | 0.591 |
| Procalcitonin ng/mL, mean (±SD) | 1.20 (±6.4) | 0.61 (±3.73) | 0.334 |
| LDH mU/mL, mean (±SD) | 288.46 (±163.73) | 302.37 (±119.57) | 0.3 |
| CPK U/L, mean (±SD) | 278.90 (±1430.63) | 149.47 (±161.35) | 0.17 |
| Lactates mmol/L, mean (±SD) | 1.57 (±0.36) | 1.33 (±0.83) | 0.328 |
| C-reactive protein mg/dL, mean (±SD) | 4.91 (±6.61) | 8.23 (±21.13) | 0.116 |
| PaO2/FiO2, mean (±SD) | 315.67 (±117.14) | 329.94 (±98.36) | 0.411 |
| Aspartate transaminase U/L, mean (±SD) | 34.16 (±47.76) | 35.24 (±27.41) | 0.784 |
| Alanine transaminase U/L, mean (±SD) | 32.20 (±28.42) | 33.24 (±28.84) | 0.755 |
| Variable | No Remdesivir n = 113 (%) | Remdesivir n = 294 (%) | p-Value |
|---|---|---|---|
| Steroids | 92 (81%) | 289 (93%) | <0.001 |
| Antibiotics (excluding macrolides) | 65 (58%) | 83 (27%) | <0.001 |
| Macrolides | 74 (65%) | 146 (46%) | <0.001 |
| Low-molecular-weight heparin | 59 (52%) | 280 (93%) | <0.001 |
| No need for oxygen therapy | 24 (21.2%) | - | <0.001 |
| Low-flow oxygen therapy | 65 (57.5%) | 275 (87%) | <0.001 |
| HFNC/NIV | 17 (15%) | 33 (10%) | 0.155 |
| Mechanical ventilation | 1 (1%) | 10 (3%) | 0.2 |
| Variable | Control Group n = 113 (%) | Remdesivir n = 294 (%) | p-Value |
|---|---|---|---|
| Bacterial co-infection | 24 (21%) | 65 (20%) | 0.928 |
| Days of hospitalization, mean (±SD) | 16.06 (±17.62) | 15.02 (±9.98) | 0.487 |
| Days to negative nasopharyngeal swab, mean (±SD) | 24.77 (±17.1) | 22.07 (±13.77) | 0.378 |
| 30-day mortality | 4 (4%) | 17 (6%) | 0.411 |
| Variable | HR | 95% CI | p-Value |
|---|---|---|---|
| Charlson comorbidity index < 2 points | 0.2 | 0.1–2.0 | 0.012 |
| Chronic kidney disease | 1.8 | 0.1–140.2 | 0.812 |
| COPD | 3 | 0.08–95 | 0.523 |
| Bacterial co-infection | 0.88 | 0.1–7.81 | 0.772 |
| Low-molecular-weight heparin | 0.2 | 0.013–2.2 | 0.174 |
| Macrolides | 23.3 | 0.273–20.8 | 0.17 |
| Antibiotics (excluding macrolides) | 1.54 | 0.18–13 | 0.822 |
| Steroids | 0.12 | 0.0–1.24 | 0.892 |
| No need for oxygen therapy | 2.12 | 0.234–8.6 | 0.782 |
| Low-flow oxygen therapy | 10.7 | 0.434–176.4 | 0.122 |
| Remdesivir | 0.87 | 0.12–1.2 | 0.184 |
| HFNC/NIV | 182 | 0.954–336.7 | 0.054 |
| Mechanical ventilation | 4.22 | 5.4–16.2 | 0.003 |
| Variable | HR | IC | p-Value |
|---|---|---|---|
| Charlson comorbidity index <2 points | 0.2 | 0.1–1.4 | 0.156 |
| Chronic kidney disease | 1.8 | 0.24–4.2 | 0.788 |
| COPD | 1.03 | 0.068–15.64 | 0.548 |
| Bacterial co-infection | 0.7 | 0.1–1.8 | 0.768 |
| Low-molecular-weight heparin | 0.18 | 0.01–2.2 | 0.174 |
| Macrolides | 0.4 | 0.01–8.8 | 0.494 |
| Antibiotics (excluding macrolides) | 1.6 | 0.18–12.67 | 0.722 |
| Steroids | 3.6 | 0.8–137 | 0.892 |
| Remdesivir | 1.03 | 0.8–15.6 | 0.802 |
Publisher’s Note: MDPI stays neutral with regard to jurisdictional claims in published maps and institutional affiliations. |
© 2021 by the authors. Licensee MDPI, Basel, Switzerland. This article is an open access article distributed under the terms and conditions of the Creative Commons Attribution (CC BY) license (https://creativecommons.org/licenses/by/4.0/).
Share and Cite
Russo, A.; Binetti, E.; Borrazzo, C.; Cacciola, E.G.; Battistini, L.; Ceccarelli, G.; Mastroianni, C.M.; d’Ettorre, G. Efficacy of Remdesivir-Containing Therapy in Hospitalized COVID-19 Patients: A Prospective Clinical Experience. J. Clin. Med. 2021, 10, 3784. https://doi.org/10.3390/jcm10173784
Russo A, Binetti E, Borrazzo C, Cacciola EG, Battistini L, Ceccarelli G, Mastroianni CM, d’Ettorre G. Efficacy of Remdesivir-Containing Therapy in Hospitalized COVID-19 Patients: A Prospective Clinical Experience. Journal of Clinical Medicine. 2021; 10(17):3784. https://doi.org/10.3390/jcm10173784
Chicago/Turabian StyleRusso, Alessandro, Erica Binetti, Cristian Borrazzo, Elio Gentilini Cacciola, Luigi Battistini, Giancarlo Ceccarelli, Claudio Maria Mastroianni, and Gabriella d’Ettorre. 2021. "Efficacy of Remdesivir-Containing Therapy in Hospitalized COVID-19 Patients: A Prospective Clinical Experience" Journal of Clinical Medicine 10, no. 17: 3784. https://doi.org/10.3390/jcm10173784
APA StyleRusso, A., Binetti, E., Borrazzo, C., Cacciola, E. G., Battistini, L., Ceccarelli, G., Mastroianni, C. M., & d’Ettorre, G. (2021). Efficacy of Remdesivir-Containing Therapy in Hospitalized COVID-19 Patients: A Prospective Clinical Experience. Journal of Clinical Medicine, 10(17), 3784. https://doi.org/10.3390/jcm10173784

