Using Rotational Thromboelastometry to Identify Early Allograft Dysfunction after Living Donor Liver Transplantation
Abstract
:1. Introduction
2. Materials and Methods
2.1. Patient Enrollment
2.2. Definition of EAD and Graft Failure
2.3. Data Extraction and Clinical Outcome Measure
2.4. ROTEM Assays
2.5. Statistical Analysis
3. Results
3.1. Patients’ Characteristics
3.2. Comparisons of Postoperative Outcomes between the EAD and Non-EAD Groups
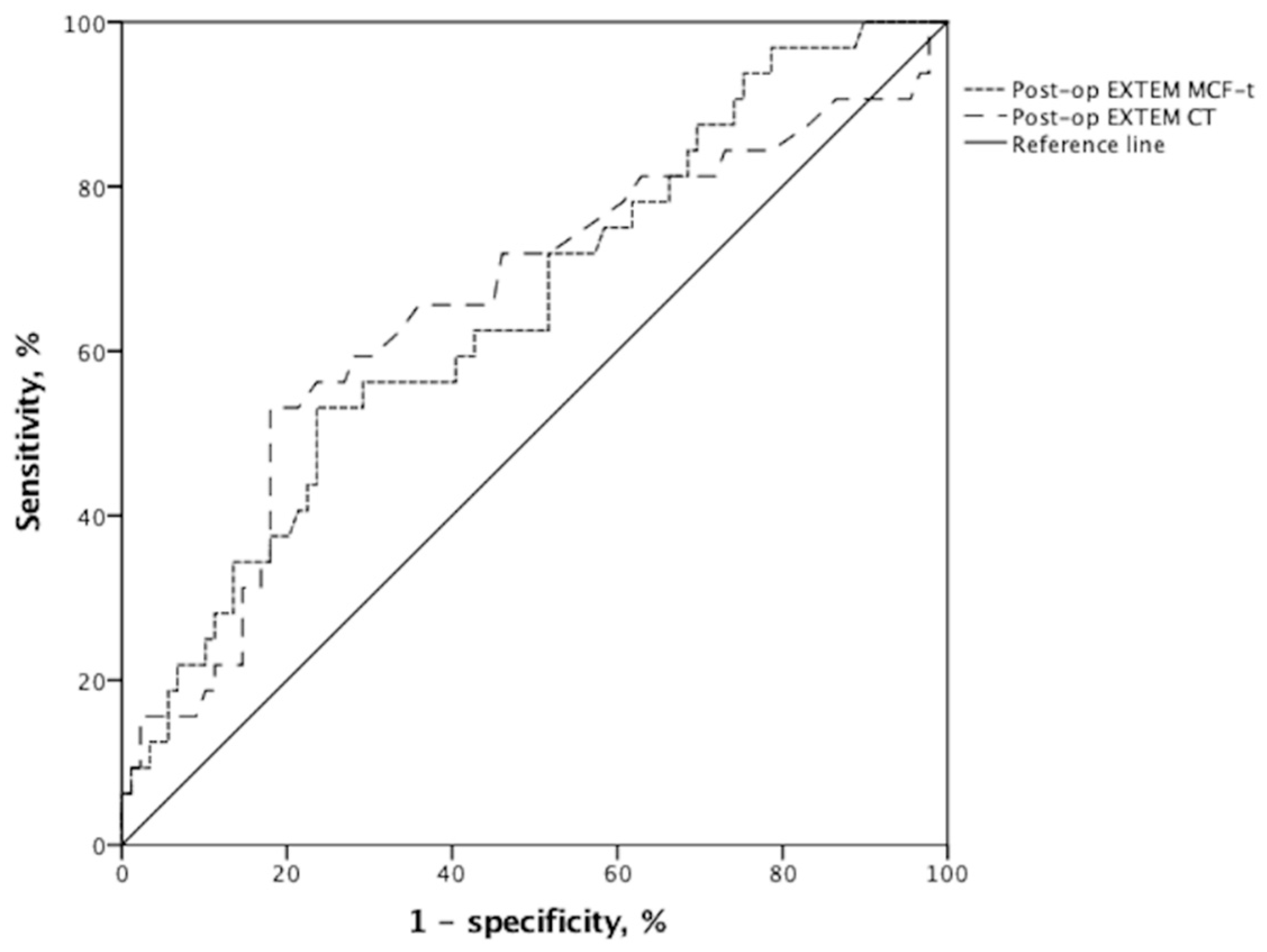
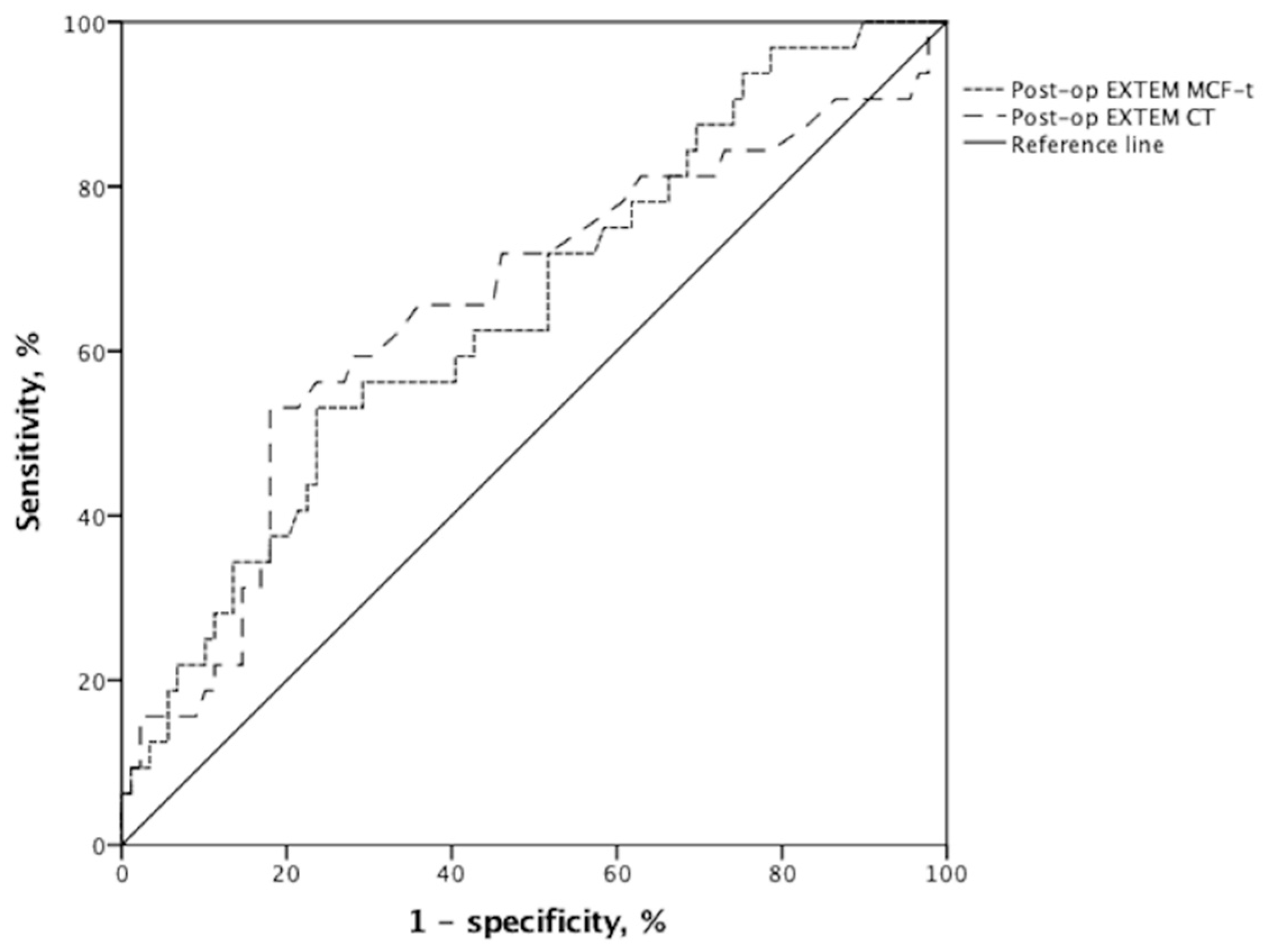
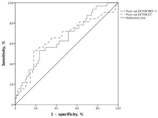
3.3. A Longer Postoperative CT and MCF-t on EXTEM Were Associated with a Greater Chance of EAD
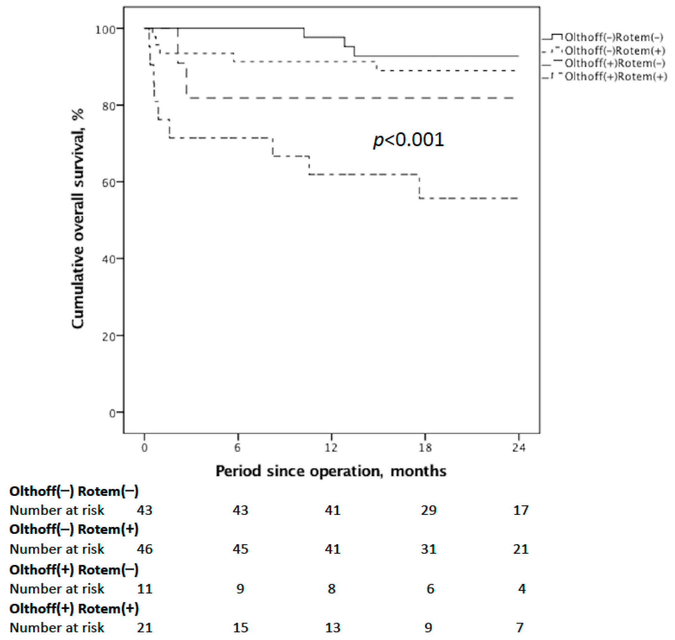
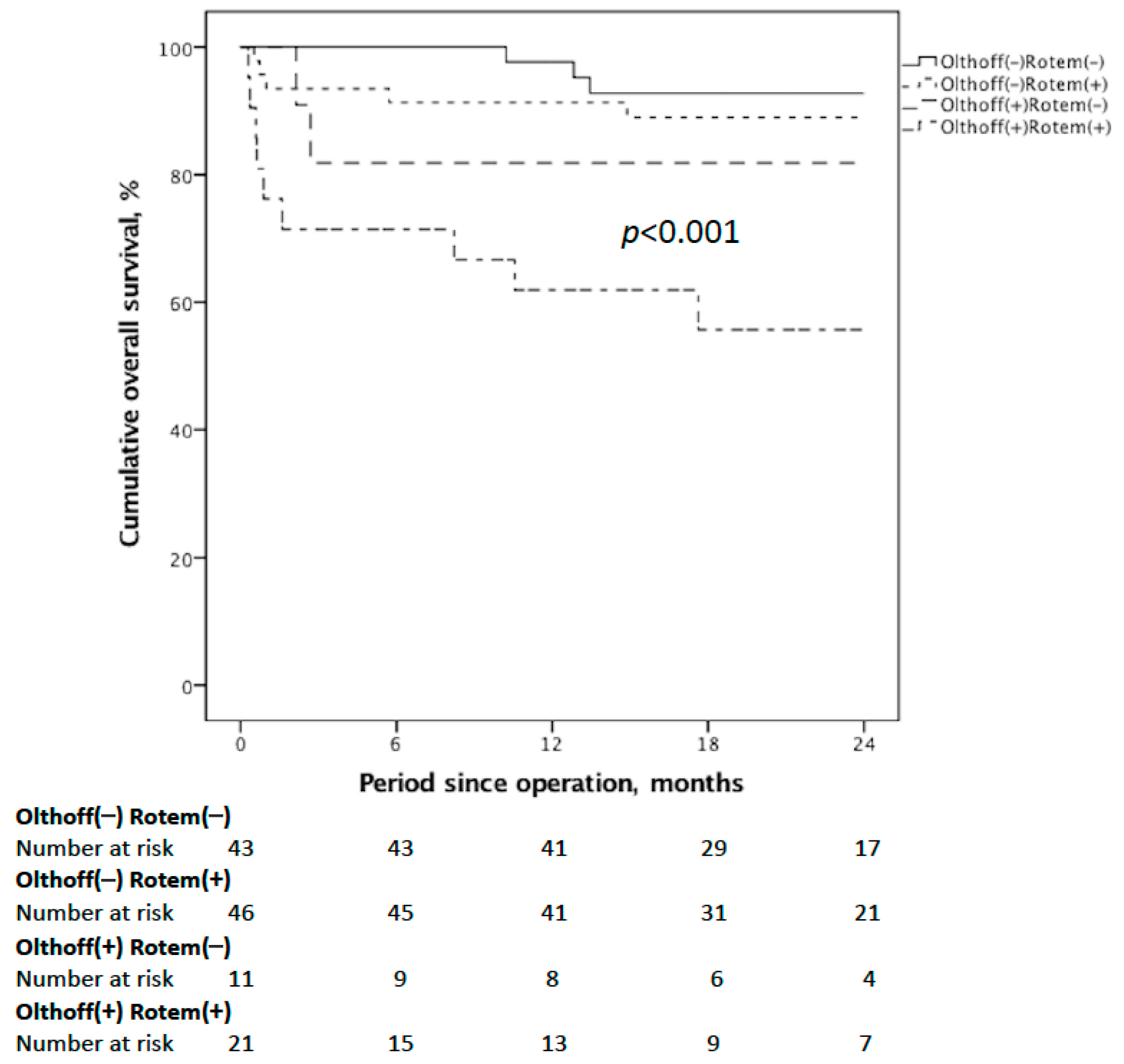
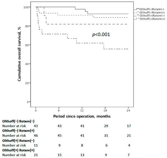
3.4. Using 24 h Post-LDLT ROTEM Increased the Effectiveness of Predicting OS
4. Discussion
Author Contributions
Funding
Institutional Review Board Statement
Informed Consent Statement
Data Availability Statement
Conflicts of Interest
Abbreviations
References
- Hoyer, D.P.; Paul, A.; Gallinat, A.; Molmenti, E.P.; Reinhardt, R.; Minor, T.; Saner, F.H.; Canbay, A.; Treckmann, J.W.; Sotiropoulos, G.C.; et al. Donor information based prediction of early allograft dysfunction and outcome in liver transplantation. Liver Int. 2015, 35, 156–163. [Google Scholar] [CrossRef] [PubMed]
- Olthoff, K.M.; Kulik, L.; Samstein, B.; Kaminski, M.; Abecassis, M.; Emond, J.; Shaked, A.; Christie, J.D. Validation of a current definition of early allograft dysfunction in liver transplant recipients and analysis of risk factors. Liver Transpl. 2010, 16, 943–949. [Google Scholar] [CrossRef]
- Agopian, V.G.; Harlander-Locke, M.P.; Markovic, D.; Dumronggittigule, W.; Xia, V.; Kaldas, F.M.; Zarrinpar, A.; Yersiz, H.; Farmer, D.G.; Hiatt, J.R.; et al. Evaluation of Early Allograft Function Using the Liver Graft Assessment Following Transplantation Risk Score Model. JAMA Surg. 2018, 153, 436–444. [Google Scholar] [CrossRef]
- Uemura, T.; Randall, H.B.; Sanchez, E.Q.; Ikegami, T.; Narasimhan, G.; McKenna, G.J.; Chinnakotla, S.; Levy, M.F.; Goldstein, R.M.; Klintmalm, G.B.; et al. Liver retransplantation for primary nonfunction: Analysis of a 20-year single-center experience. Liver Transpl. 2007, 13, 227–233. [Google Scholar] [CrossRef]
- Nanashima, A.; Pillay, P.; Verran, D.J.; Painter, D.; Nakasuji, M.; Crawford, M.; Shi, L.; Ross, A.G. Analysis of initial poor graft function after orthotopic liver transplantation: Experience of an australian single liver transplantation center. Transplant. Proc. 2002, 34, 1231–1235. [Google Scholar] [CrossRef]
- Neves, D.B.; Rusi, M.B.; Diaz, L.G.; Salvalaggio, P. Primary graft dysfunction of the liver: Definitions, diagnostic criteria and risk factors. Einstein (Sao Paulo) 2016, 14, 567–572. [Google Scholar] [CrossRef] [Green Version]
- Chen, X.B.; Xu, M.Q. Primary graft dysfunction after liver transplantation. Hepatobiliary Pancreat. Dis. Int. 2014, 13, 125–137. [Google Scholar] [CrossRef]
- Wang, S.C.; Shieh, J.F.; Chang, K.Y.; Chu, Y.; Liu, C.; Loong, C.; Chan, K.; Mandell, S.; Tsou, M.Y. Thromboelastography-guided transfusion decreases intraoperative blood transfusion during orthotopic liver transplantation: Randomized clinical trial. Transplant. Proc. 2010, 42, 2590–2593. [Google Scholar] [CrossRef] [PubMed]
- Gorlinger, K.; Fries, D.; Dirkmann, D.; Weber, C.F.; Hanke, A.A.; Schochl, H. Reduction of Fresh Frozen Plasma Requirements by Perioperative Point-of-Care Coagulation Management with Early Calculated Goal-Directed Therapy. Transfus. Med. Hemother. 2012, 39, 104–113. [Google Scholar] [CrossRef] [Green Version]
- Hincker, A.; Feit, J.; Sladen, R.N.; Wagener, G. Rotational thromboelastometry predicts thromboembolic complications after major non-cardiac surgery. Crit. Care 2014, 18, 549. [Google Scholar] [CrossRef] [PubMed]
- Lier, H.; Vorweg, M.; Hanke, A.; Gorlinger, K. Thromboelastometry guided therapy of severe bleeding. Essener Runde algorithm. Hamostaseologie 2013, 33, 51–61. [Google Scholar]
- Dotsch, T.M.; Dirkmann, D.; Bezinover, D.; Hartmann, M.; Treckmann, J.W.; Paul, A.; Saner, F.H. Assessment of standard laboratory tests and rotational thromboelastometry for the prediction of postoperative bleeding in liver transplantation. Br. J. Anaesth. 2017, 119, 402–410. [Google Scholar] [CrossRef] [Green Version]
- Tomescu, D.; Popescu, M.; Dima, S.O. Rotational thromboelastometry (ROTEM) 24 hours post liver transplantation predicts early allograft dysfunction. Rom. J. Anaesth. Intensive Care 2018, 25, 117–122. [Google Scholar]
- Moore, H.B.; Yaffe, H.; Pomposelli, J.J.; Wachs, M.; Bak, T.; Kennealey, P.; Conzen, K.; Adams, M.; Pshak, T.; Choudhury, R.; et al. Detection of early allograft dysfunction at 30 min of reperfusion in liver transplantation: An intraoperative diagnostic tool with real time assessment of graft function. Am. J. Surg. 2020, 220, 1518–1525. [Google Scholar] [CrossRef]
- Clavien, P.A.; Barkun, J.; de Oliveira, M.L.; Vauthey, J.N.; Dindo, D.; Schulick, R.D.; de Santibañes, E.; Pekolj, J.; Slankamenac, K.; Bassi, C.; et al. The Clavien-Dindo classification of surgical complications: Five-year experience. Ann. Surg. 2009, 250, 187–196. [Google Scholar] [CrossRef] [Green Version]
- Smith, S.A.; McMichael, M.A.; Gilor, S.; Galligan, A.J.; Hoh, C.M. Correlation of hematocrit, platelet concentration, and plasma coagulation factors with results of thromboelastometry in canine whole blood samples. Am. J. Vet. Res. 2012, 73, 789–798. [Google Scholar] [CrossRef]
- Enk, N.M.; Kutter, A.P.N.; Kuemmerle-Fraune, C.; Sigrist, N.E. Correlation of plasma coagulation tests and fibrinogenClauss with rotational thromboelastometry parameters and prediction of bleeding in dogs. J. Vet. Intern. Med. 2019, 33, 132–140. [Google Scholar] [CrossRef] [PubMed]
- Bjerkvig, C.K.; Strandenes, G.; Eliassen, H.S.; Spinella, P.C.; Fosse, T.K.; Cap, A.P.; Ward, K.R. “Blood failure” time to view blood as an organ: How oxygen debt contributes to blood failure and its implications for remote damage control resuscitation. Transfusion 2016, 56, S182–S189. [Google Scholar] [CrossRef] [PubMed] [Green Version]
- Caputo, N.D.; Kanter, M.; Fraser, R.; Simon, R. Comparing biomarkers of traumatic shock: The utility of anion gap, base excess, and serum lactate in the ED. Am. J. Emerg. Med. 2015, 33, 1134–1139. [Google Scholar] [CrossRef] [PubMed]
- Kleinegris, M.C.; Bos, M.H.; Roest, M.; Henskens, Y.; ten Cate-Hoek, A.; Van Deursen, C.; Spronk, H.M.H.; Reitsma, P.H.; De Groot, P.G.; ten Cate, H.; et al. Cirrhosis patients have a coagulopathy that is associated with decreased clot formation capacity. J. Thromb. Haemost. 2014, 12, 1647–1657. [Google Scholar] [CrossRef] [PubMed] [Green Version]
- Ploeg, R.J.; D’Alessandro, A.M.; Knechtle, S.J.; Stegall, M.D.; Pirsch, J.D.; Hoffmann, R.M.; Sasaki, T.; Sollinger, H.W.; Belzer, F.O.; Kalayoglu, M. Risk factors for primary dysfunction after liver transplantation–a multivariate analysis. Transplantation 1993, 55, 807–813. [Google Scholar] [CrossRef]
- Corradini, S.G.; Elisei, W.; De Marco, R.; Siciliano, M.; Iappelli, M.; Pugliese, F.; Ruberto, F.; Nudo, F.; Pretagostini, R.; Bussotti, A.; et al. Preharvest donor hyperoxia predicts good early graft function and longer graft survival after liver transplantation. Liver Transpl. 2005, 11, 140–151. [Google Scholar] [CrossRef] [PubMed]
- Croome, K.P.; Marotta, P.; Wall, W.J.; Dale, C.; Levstik, M.A.; Chandok, N.; Hernandez-Alejandro, R. Should a lower quality organ go to the least sick patient? Model for end-stage liver disease score and donor risk index as predictors of early allograft dysfunction. Transplant. Proc. 2012, 44, 1303–1306. [Google Scholar] [CrossRef]
- Wagener, G.; Raffel, B.; Young, A.T.; Minhaz, M.; Emond, J. Predicting early allograft failure and mortality after liver transplantation: The role of the postoperative model for end-stage liver disease score. Liver Transpl. 2013, 19, 534–542. [Google Scholar] [CrossRef]
- Deschenes, M.; Belle, S.H.; Krom, R.A.; Zetterman, R.K.; Lake, J.R. Early allograft dysfunction after liver transplantation: A definition and predictors of outcome. National Institute of Diabetes and Digestive and Kidney Diseases Liver Transplantation Database. Transplantation 1998, 66, 302–310. [Google Scholar] [CrossRef]
- Li, L.; Wang, H.; Yang, J.; Jiang, L.; Yang, J.; Wang, W.; Yan, L.; Wen, T.; Li, B.; Xu, M. Immediate Postoperative Low Platelet Counts After Living Donor Liver Transplantation Predict Early Allograft Dysfunction. Medicine (Baltimore) 2015, 94, e1373. [Google Scholar] [CrossRef] [PubMed]
- Cywinski, J.B.; You, J.; Argalious, M.; Irefin, S.; Parker, B.M.; Fung, J.J.; Koch, C.G. Transfusion of older red blood cells is associated with decreased graft survival after orthotopic liver transplantation. Liver Transpl. 2013, 19, 1181–1188. [Google Scholar] [CrossRef] [PubMed]
- Burke, A.; Lucey, M.R. Non-alcoholic fatty liver disease, non-alcoholic steatohepatitis and orthotopic liver transplantation. Am. J. Transplant. 2004, 4, 686–693. [Google Scholar] [CrossRef]
- Adam, R.; Reynes, M.; Johann, M.; Morino, M.; Astarcioglu, I.; Kafetzis, I.; Castaing, D.; Bismuth, H. The outcome of steatotic grafts in liver transplantation. Transplant. Proc. 1991, 23, 1538–1540. [Google Scholar]
- Brokelman, W.; Stel, A.L.; Ploeg, R.J. Risk factors for primary dysfunction after liver transplantation in the University of Wisconsin solution era. Transplant. Proc. 1999, 31, 2087–2090. [Google Scholar] [CrossRef]
- Freeman, R.B. Overview of the MELD/PELD system of liver allocation indications for liver transplantation in the MELD era: Evidence-based patient selection. Liver Transpl. 2004, 10, S2–S3. [Google Scholar] [CrossRef]
- Adam, R.; Cailliez, V.; Majno, P.; Karam, V.; McMaster, P.; Caine, R.Y.; O’Grady, J.; Pichlmayr, R.; Neuhaus, P.; Otte, J.B.; et al. Normalised intrinsic mortality risk in liver transplantation: European Liver Transplant Registry study. Lancet 2000, 356, 621–627. [Google Scholar] [CrossRef]
- Machlus, K.R.; Colby, E.A.; Wu, J.R.; Koch, G.G.; Key, N.S.; Wolberg, A.S. Effects of tissue factor, thrombomodulin and elevated clotting factor levels on thrombin generation in the calibrated automated thrombogram. Thromb. Haemost. 2009, 102, 936–944. [Google Scholar] [CrossRef] [Green Version]
- Brummel, K.E.; Paradis, S.G.; Butenas, S.; Mann, K.G. Thrombin functions during tissue factor-induced blood coagulation. Blood 2002, 100, 148–152. [Google Scholar] [CrossRef] [PubMed] [Green Version]
- Gorlinger, K.; Perez-Ferrer, A.; Dirkmann, D.; Saner, F.; Maegele, M.; Calatayud, Á.A.P.; Kim, T. The role of evidence-based algorithms for rotational thromboelastometry-guided bleeding management. Korean J. Anesthesiol. 2019, 72, 297–322. [Google Scholar] [CrossRef] [PubMed] [Green Version]
- Lang, T.; Bauters, A.; Braun, S.L.; Pötzsch, B.; von Pape, K.-W.; Kolde, H.-J.; Lakner, M. Multi-centre investigation on reference ranges for ROTEM thromboelastometry. Blood Coagul. Fibrinolysis 2005, 16, 301–310. [Google Scholar] [CrossRef] [PubMed]
- Schenk, B.; Gorlinger, K.; Treml, B.; Tauber, H.; Fries, D.; Niederwanger, C.; Oswald, E.; Bachler, M. A comparison of the new ROTEM((R)) sigma with its predecessor, the ROTEMdelta. Anaesthesia 2019, 74, 348–356. [Google Scholar] [CrossRef] [PubMed]
- Sokou, R.; Foudoulaki-Paparizos, L.; Lytras, T.; Konstantinidi, A.; Theodoraki, M.; Lambadaridis, I.; Gounaris, A.; Valsami, S.; Politou, M.; Gialeraki, A.; et al. Reference ranges of thromboelastometry in healthy full-term and pre-term neonates. Clin. Chem. Lab. Med. 2017, 55, 1592–1597. [Google Scholar] [CrossRef]
- Oudghiri, M.; Keita, H.; Kouamou, E.; Boutonnet, M.; Orsini, M.; Desconclois, C.; Mandelbrot, L.; Daures, J.-P.; Stépanian, A.; Peynaud-Debayle, E.; et al. Reference values for rotation thromboelastometry (ROTEM(R)) parameters following non-haemorrhagic deliveries. Correlations with standard haemostasis parameters. Thromb. Haemost. 2011, 106, 176–178. [Google Scholar] [CrossRef]
- Tripodi, A.; Primignani, M.; Chantarangkul, V.; Viscardi, Y.; Dell’Era, A.; Fabris, F.M.; Mannucci, P.M. The coagulopathy of cirrhosis assessed by thromboelastometry and its correlation with conventional coagulation parameters. Thromb. Res. 2009, 124, 132–136. [Google Scholar] [CrossRef] [PubMed]
- Lentschener, C.; Flaujac, C.; Ibrahim, F.; Gouin-Thibault, I.; Bazin, M.; Sogni, P.; Samama, C. Assessment of haemostasis in patients with cirrhosis: Relevance of the ROTEM tests?: A prospective, cross-sectional study. Eur. J. Anaesthesiol. 2016, 33, 126–133. [Google Scholar] [CrossRef] [PubMed]
- Davis, J.P.E.; Northup, P.G.; Caldwell, S.H.; Intagliata, N.M. Viscoelastic Testing in Liver Disease. Ann. Hepatol. 2018, 17, 205–213. [Google Scholar] [CrossRef] [PubMed]



| KERRYPNX | EAD, N = 32 | Non-EAD, N = 89 | p-Value |
|---|---|---|---|
| Basic conditions | |||
| Recipient age, years old | 51.6 ± 9.9 | 53.6 ± 8.3 | 0.321 |
| Donor age, years old | 34.0 ± 8.7 | 31.3 ± 9.3 | 0.157 |
| Male gender, N (%) | 21 (65.6%) | 73 (82.0%) | 0.056 |
| Child-Pugh class C, N (%) | 12 (37.5%) | 38 (42.7%) | 0.595 |
| MELD | 21.2 ± 10.4 | 16.3 ± 7.6 | 0.019 |
| HCC, N (%) | 8 (25.0%) | 39 (43.8%) | 0.061 |
| HBV infection, N (%) | 12 (37.5%) | 45 (50.6%) | 0.204 |
| HCV infection, N (%) | 8 (25.0%) | 15 (16.9%) | 0.314 |
| Recipient BMI kg/m2 | 25.4 ± 4.4 | 25.8 ± 4.4 | 0.683 |
| Donor BMI, kg/m−2 | 23.5 ± 3.0 | 23.0 ± 3.3 | 0.493 |
| Alcohol use history, N (%) | 11 (42.3%) | 35 (45.5%) | 0.780 |
| PT, s | 21.1 ± 5.7 | 18.3 ± 6.1 | 0.012 |
| aPTT, s | 41.2 ± 12.0 | 39.1 ± 12.5 | 0.234 |
| Fibrinogen concentration, mg/dL‒1 | 166.0 ± 93.7 | 159.3 ± 58.6 | 0.173 |
| Platelet count, nL‒1 | 56.0 ± 20.0 | 60.2 ± 22.1 | 0.699 |
| Operation associated parameters | |||
| Anhepatic time, mins Cold ischemia time, mins | 59.4 ± 46.6 67.1 ± 87.5 | 61.3 ± 39.0 56.3 ± 55.6 | 0.830 0.439 |
| Warm ischemia time, mins | 42.3 ± 42.7 | 40.2 ± 24.7 | 0.741 |
| GRWR, % Blood loss, mL | 0.96 ± 0.29 3270.3.8 ± 3421.4 | 0.97 ± 0.23 2081.8 ± 2321.7 | 0.825 0.076 |
| RBCs, units | 14.9 ± 15.0 | 7.3 ± 6.4 | 0.009 |
| FFP, units | 18.3 ± 14.3 | 13.6 ± 11.3 | 0.102 |
| Platelet, units Cryoprecipitate, units | 14.6 ± 12.5 4.1 ± 8.4 | 8.9 ± 10.2 2.3 ± 6.9 | 0.011 0.049 |
| EAD, N = 32 | Non-EAD, N = 89 | p-Value | |
|---|---|---|---|
| ICU stay, days | 31.0 ± 24.4 | 20.9 ± 15.9 | 0.036 |
| Hospitalization, days | 56.5 ± 58.9 | 43.9 ± 48.6 | 0.238 |
| Major complication, N (%) | 16 (50.0%) | 14 (15.7%) | <0.001 |
| Surgical/Hospital mortality, N (%) | 9 (28.1%) | 3 (3.4%) | <0.001 |
| Graft failure, N (%) | 7 (21.9%) | 2 (2.2%) | <0.001 |
| 12-month OS rate, % | 68.8 | 94.4 | 0.001 |
| EAD, N = 32 | Non-EAD, N = 89 | p-Value | |
|---|---|---|---|
| Pre-op Parameters | |||
| EXTEM CT, sec | 84.7 ± 41.7 | 74.7 ± 25.3 | 0.165 |
| EXTEM CFT, sec | 325.9 ± 311.4 | 266.2 ± 133.4 | 0.353 |
| EXTEM MCF, mm | 42.9 ± 10.4 | 41.8 ± 7.8 | 0.571 |
| EXTEM MCF-t | 2096.0 ± 426.3 | 1894.6 ± 318.2 | 0.036 |
| EXTEM alpha angle | 56.8 ± 18.1 | 55.1 ± 14.0 | 0.633 |
| EXTEM LI30 | 99.9 ± 0.4 | 99.8 ± 0.3 | 0.822 |
| EXTEM CFR | 64.5 ± 13.4 | 63.0 ± 11.6 | 0.600 |
| EXTEM MCE | 80.7 ± 32.6 | 75.0 ± 23.9 | 0.359 |
| FIBTEM CT, sec | 119.6 ± 168.0 | 72.6 ± 20.3 | 0.185 |
| FIBTEM MCF, mm | 10.4 ± 4.6 | 10.1 ± 4.7 | 0.728 |
| FIBTEM MCF-t | 940.5 ± 526.9 | 824.0 ± 369.4 | 0.327 |
| FIBTEM alpha angle | 67.4 ± 8.1 | 68.9 ± 9.7 | 0.565 |
| FIBTEM LI30 | 99.3 ± 2.0 | 98.3 ± 4.3 | 0.208 |
| FIBTEM CFR | 70.7 ± 5.4 | 71.0 ± 6.0 | 0.825 |
| FIBTEM, MCE | 11.5 ± 6.3 | 10.9 ± 5.4 | 0.625 |
| Post-op parameters | |||
| EXTEM CT, sec | 98.7 ± 44.2 | 81.0 ± 28.5 | 0.041 |
| EXTEM A10, mm | 35.3 ± 10.7 | 35.8 ± 9.6 | 0.784 |
| EXTEM MCF, mm | 38.3 ± 8.6 | 40.0 ± 8.4 | 0.327 |
| EXTEM MCF-t, sec | 1891.0 ± 398.5 | 1681.1 ± 334.6 | 0.005 |
| EXTEM alpha angle, ° | 47.9 ± 12.8 | 49.9 ± 11.7 | 0.407 |
| EXTEM LI30, % | 99.8 ± 0.5 | 99.9 ± 0.4 | 0.413 |
| EXTEM CFR, ° | 57.5 ± 11.0 | 59.6 ± 10.0 | 0.312 |
| EXTEM MCE | 64.9 ± 24.0 | 70.2 ± 27.3 | 0.339 |
| FIBTEM CT, sec | 136.5 ± 169.3 | 86.5 ± 81.1 | 0.185 |
| FIBTEM A10, mm | 9.3 ± 4.4 | 9.9 ± 4.3 | 0.506 |
| FIBTEM MCF, mm | 7.4 ± 3.6 | 9.4 ± 10.4 | 0.292 |
| FIBTEM MCF-t, sec | 943.3 ± 494.3 | 878.1 ± 426.0 | 0.488 |
| FIBTEM alpha angle, ° | 62.5 ± 7.9 | 58.8 ± 14.2 | 0.507 |
| FIBTEM LI30, % | 99.5 ± 1.7 | 98.6 ± 3.3 | 0.182 |
| FIBTEM CFR, ° | 64.9 ± 14.1 | 69.3 ± 7.5 | 0.201 |
| FIBTEM, MCE | 8.0 ± 4.3 | 9.3 ± 4.5 | 0.177 |
| Univariate | Multivariate | |||||
|---|---|---|---|---|---|---|
| HR | 95%CI | p-Value | HR | 95%CI | p-Value | |
| EXTEM MCF-t, sec (pre-op) EXTEM CT, sec (post-op) | 1.001 1.014 | 1.000–1.002 1.002–1.025 | 0.035 0.017 | 1.014 | 1.002–1.026 | 0.026 |
| EXTEM MCF-t, sec (post-op) | 1.002 | 1.000–1.003 | 0.007 | 1.002 | 1.000–1.003 | 0.009 |
| Parameter | AUC (95% CI); p-Value | Optimal Cut-Off Point | Sensitivity | Specificity | PPV | NPV |
|---|---|---|---|---|---|---|
| EXTEM MCF-t, sec EXTEM CT, sec | 0.690 (0.584–0.797); p = 0.001 0.654 (0.536–0.772); p = 0.010 | >1870.0 >87.5 | 53.1% 53.1% | 76.4% 82.0% | 44.7% 51.5% | 81.9% 83.0% |
Publisher’s Note: MDPI stays neutral with regard to jurisdictional claims in published maps and institutional affiliations. |
© 2021 by the authors. Licensee MDPI, Basel, Switzerland. This article is an open access article distributed under the terms and conditions of the Creative Commons Attribution (CC BY) license (https://creativecommons.org/licenses/by/4.0/).
Share and Cite
Hung, H.-C.; Lee, C.-F.; Lee, W.-C. Using Rotational Thromboelastometry to Identify Early Allograft Dysfunction after Living Donor Liver Transplantation. J. Clin. Med. 2021, 10, 3401. https://doi.org/10.3390/jcm10153401
Hung H-C, Lee C-F, Lee W-C. Using Rotational Thromboelastometry to Identify Early Allograft Dysfunction after Living Donor Liver Transplantation. Journal of Clinical Medicine. 2021; 10(15):3401. https://doi.org/10.3390/jcm10153401
Chicago/Turabian StyleHung, Hao-Chien, Chen-Fang Lee, and Wei-Chen Lee. 2021. "Using Rotational Thromboelastometry to Identify Early Allograft Dysfunction after Living Donor Liver Transplantation" Journal of Clinical Medicine 10, no. 15: 3401. https://doi.org/10.3390/jcm10153401
APA StyleHung, H.-C., Lee, C.-F., & Lee, W.-C. (2021). Using Rotational Thromboelastometry to Identify Early Allograft Dysfunction after Living Donor Liver Transplantation. Journal of Clinical Medicine, 10(15), 3401. https://doi.org/10.3390/jcm10153401

