Systemic Adverse Events and Use of Antipyretics Predict the Neutralizing Antibody Positivity Early after the First Dose of ChAdOx1 Coronavirus Disease Vaccine
Abstract
:1. Introduction
2. Materials and Methods
2.1. Study Design and Data Collection
2.2. Serological Assays
2.3. Statistical Analysis
2.4. Ethics Statement
3. Results
3.1. Demographics and Vaccine Adverse Events
3.2. Association between Demographics and Scores of Adverse Events
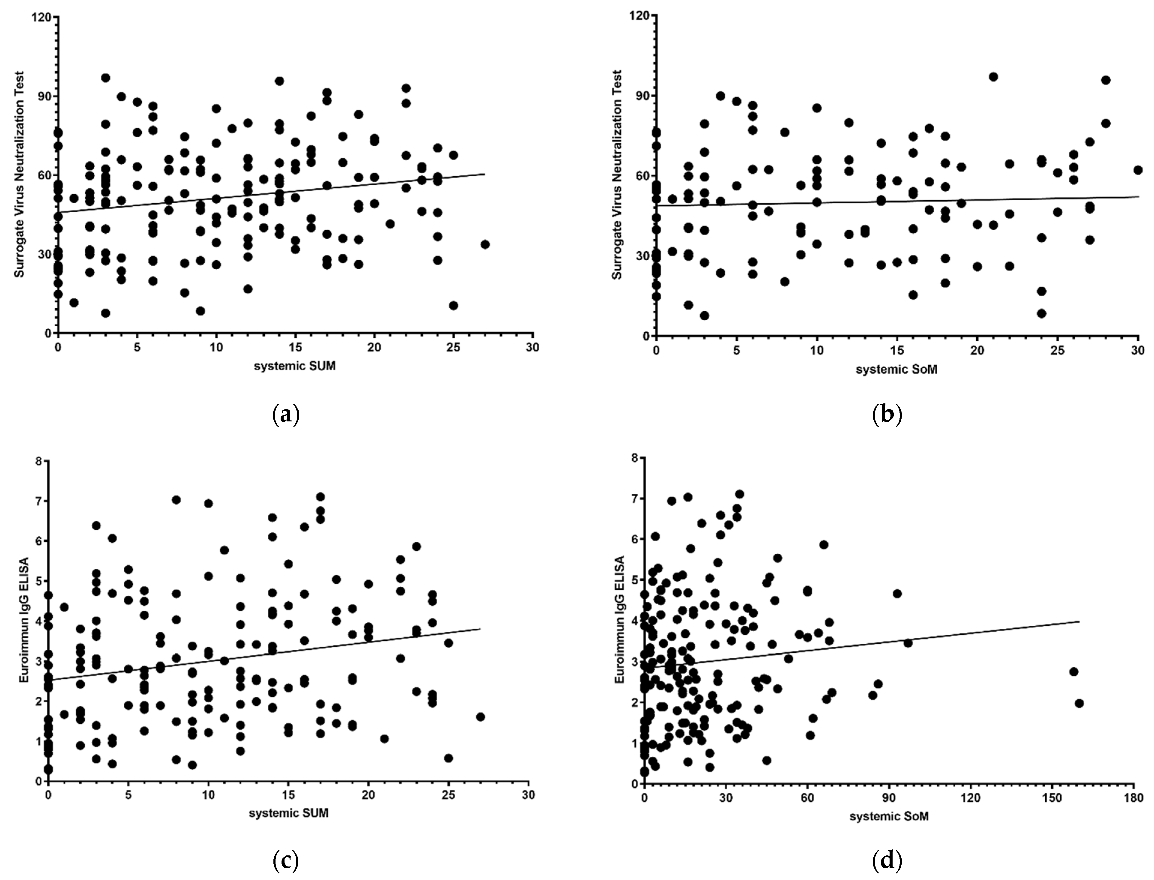
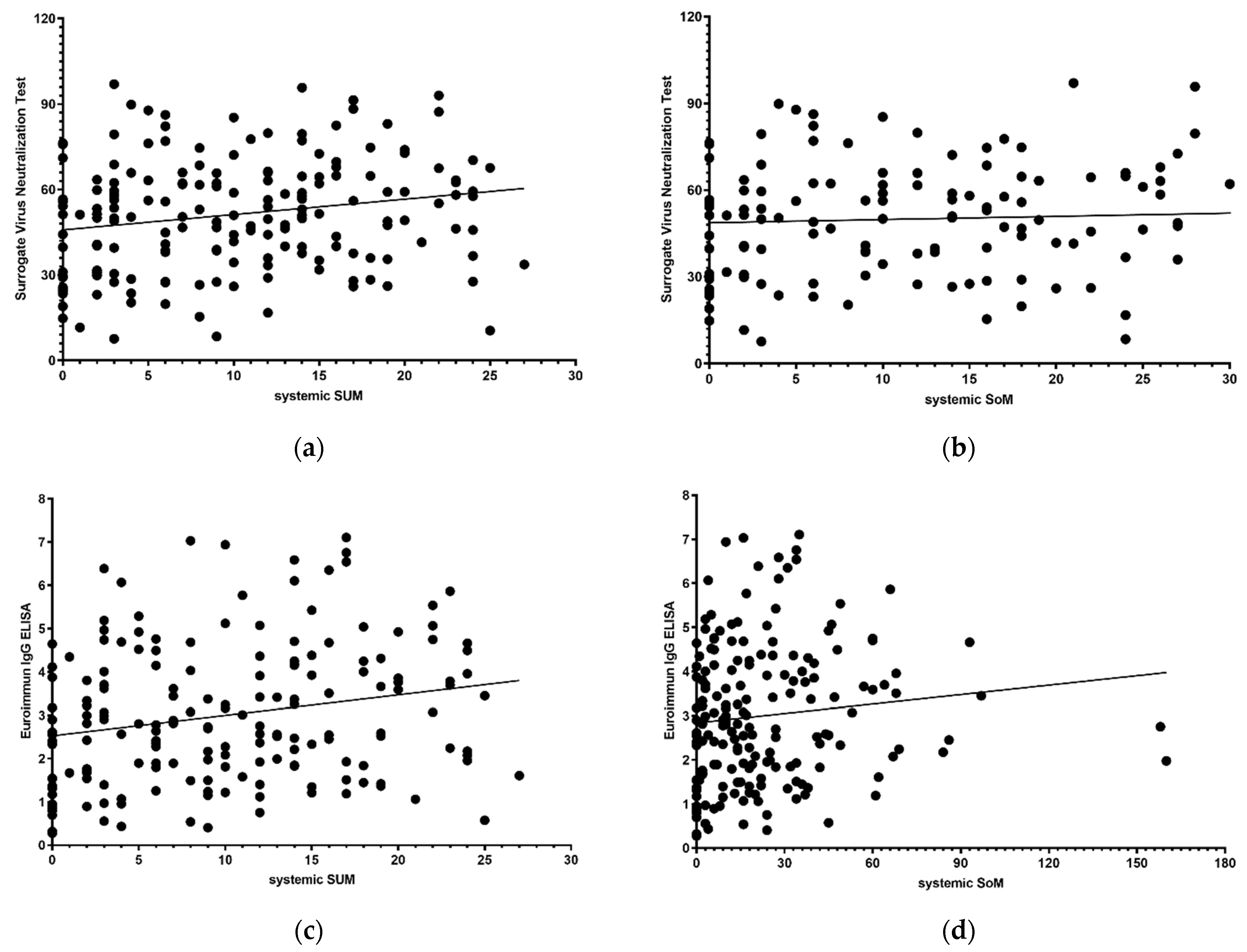
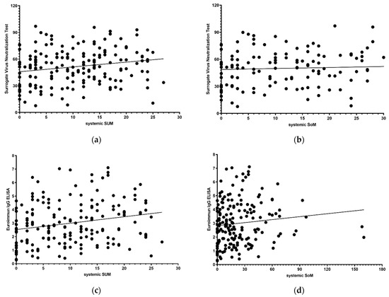
3.3. NAb Positivity and Related Factors
3.4. Antibody Values Using Two Commercial Kits
4. Discussion
5. Conclusions
Author Contributions
Funding
Institutional Review Board Statement
Informed Consent Statement
Data Availability Statement
Conflicts of Interest
References
- Bae, S.; Lee, Y.W.; Lim, S.Y.; Lee, J.H.; Lim, J.S.; Lee, S.; Park, S.; Kim, S.K.; Lim, Y.J.; Kim, E.O.; et al. Adverse reactions following the first dose of ChAdOx1 nCoV-19 vaccine and BNT162b2 vaccine for healthcare workers in South Korea. J. Korean Med. Sci. 2021, 36, e115. [Google Scholar] [CrossRef] [PubMed]
- Kim, S.H.; Wi, Y.M.; Yun, S.Y.; Ryu, J.S.; Shin, J.M.; Lee, E.H.; Seo, K.H.; Lee, S.H.; Peck, K.R. Workers after the first dose of ChAdOx1 nCoV-19 or BNT162b2 mRNA COVID-19 vaccination: A single center experience. J. Korean Med. Sci. 2021, 36, e107. [Google Scholar] [CrossRef] [PubMed]
- Song, J.Y.; Cheong, H.J.; Kim, S.R.; Lee, S.E.; Kim, S.H.; Noh, J.Y.; Yoon, Y.K.; Choi, W.S.; Park, D.W.; Sohn, J.W.; et al. Early Safety Monitoring of COVID-19 Vaccines in Healthcare Workers. J. Korean Med. Sci. 2021, 36, e110. [Google Scholar] [CrossRef] [PubMed]
- Merryn, V.; Sue, A.C.C.; Shabir, A.M.; Lily, Y.W.; Pedro, M.F.; Parvinder, K.A.; Brian, A.; Vicky, L.B.; Shaun, L.B.; Qasim, E.B.; et al. Safety and efficacy of the ChAdOx1 nCoV-19 vaccine (AZD1222) against SARS-CoV-2: An interim analysis of four randomised controlled trials in Brazil, South Africa, and the UK. Lancet 2021, 397, 99–111. [Google Scholar] [CrossRef]
- Pedro, M.F.; Katie, J.E.; Parvinder, K.A.; Brian, A.; Stephan, B.; Sandra, B.R.; Duncan, B.; Sagida, B.; Mustaoha, B.; Elizabeth, A.C.; et al. Safety and immunogenicity of the ChAdOx1 nCoV-19 vaccine against SARS-CoV-2: A preliminary report of a phase 1/2, single-blind, randomised controlled trial. Lancet 2020, 396, 467–478. [Google Scholar] [CrossRef]
- Zhuang, C.L.; Lin, Z.J.; Bi, Z.F.; Qui, L.X.; Hu, F.F.; Liu, X.H.; Lin, B.Z.; Su, Y.Y.; Pan, H.R.; Zhang, T.Y.; et al. Inflammation-related adverse reactions following vaccination potentially indicate a stronger immune response. Emerg. Microbes. Infect. 2021, 10, 365–375. [Google Scholar] [CrossRef] [PubMed]
- Sean, C.T.; Beth, H.; Carmen, L.C.; Ashley, B.; Jamil, N.K.; Mary, K.M.; Thomas, E.M.; Leah, H.; Kyle, A.; Melkon, G.D.; et al. A new SARS-CoV-2 dual-purpose serology test: Highly accurate infection tracing and neutralizing antibody response detection. J. Clin. Microbiol. 2021, 59, e02438-20. [Google Scholar] [CrossRef]
- Medicines & Healthcare Products Regulatory Agency. Available online: https://www.gov.uk/government/publications/coronavirus-covid-19-vaccine-adverse-reactions (accessed on 3 May 2021).
- Alexander, G.M.; Murad, G.; Andrew, U.; Shazaad, A.; Ray, B.; Lida, P.P.; Dimitrios, P.; Nawar, D.B. Self-Reported Real-World Safety and Reactogenicity of COVID-19 Vaccines: A Vaccine Recipient Survey. Life 2021, 11, 249. [Google Scholar] [CrossRef]
- Ezzeldin, S.; Anthony, M.M.; Emmanuel, B.W. Effect of antipyretic analgesics on immune responses to vaccination. Hum. Vaccin. Immunother. 2016, 12, 2391–2402. [Google Scholar] [CrossRef] [Green Version]
- Klein, S.L.; Roberts, C. Sex Hormones and Immunity to Infection, 2nd ed.; Springer: Berlin, Germany, 2014. [Google Scholar]


| Variables | Surrogate Virus Neutralization Test | EUROIMMUN IgG ELISA | Total | ||||
|---|---|---|---|---|---|---|---|
| Positive, n = 148 | Negative, n = 34 | p | Positive, n = 162 | Negative, n = 18 | p | ||
| Sex | 0.054 | 0.376 | |||||
| Male | 48 (32.4) | 17 (50.0) | 55 (34.0) | 8 (44.4) | 65 (35.7) | ||
| Female | 100 (67.6) | 17 (50.0) | 107 (66.0) | 10 (55.6) | 117 (64.3) | ||
| Ages, years (mean ± SD) | 37.9 ± 10.7 | 38.4 ± 10.0 | 0.784 | 37.4 ± 10.3 | 41.3 ± 10.1 | 0.126 | 38.0 ± 10.5 |
| Occupation | 0.124 | 0.137 | |||||
| Doctor | 71 (48.0) | 14 (41.2) | 77 (47.5) | 6 (33.3) | 85 (46.7) | ||
| Nurse | 59 (39.9) | 10 (29.4) | 62 (38.3) | 7 (38.9) | 69 (37.9) | ||
| Laboratory technologist | 14 (9.5) | 8 (23.5) | 19 (11.7) | 3 (16.7) | 22 (12.1) | ||
| Researcher | 1 (0.7) | 1 (2.9) | 1 (0.6) | 1 (5.6) | 2 (1.1) | ||
| Radiologist | 2 (1.4) | 0 | 2 (1.2) | 0 | 2 (1.1) | ||
| Hospital administrative assistant | 1 (0.7) | 1 (2.9) | 1 (0.6) | 1 (5.6) | 2 (1.1) | ||
| History of COVID-19 | 0 | 0 | 0 | 0 | 0 | ||
| History of drug adverse event | 8 (5.4) | 2 (5.9) | >0.999 | 9 (5.6) | 1 (5.6) | >0.999 | 10 (5.5) |
| History of allergy | 12 (8.1) | 3 (8.8) | >0.999 | 13 (8.0) | 2 (11.1) | 0.649 | 15 (8.2) |
| Vaccine adverse events | |||||||
| Systemic | |||||||
| Fever | 82 (55.4) | 11 (32.4) | 0.015 * | 86 (53.1) | 6 (33.3) | 0.112 | 93 (51.1) |
| Headache | 69 (46.6) | 9 (26.5) | 0.032 * | 73 (45.1) | 5 (27.8) | 0.160 | 78 (42.9) |
| Chills | 102 (68.9) | 15 (44.1) | 0.006 * | 111 (68.5) | 5 (27.8) | 0.001 * | 117 (64.3) |
| Nausea | 24 (16.2) | 2 (5.9) | 0.174 | 25 (15.4) | 1 (5.6) | 0.478 | 26 (14.3) |
| Vomiting | 4 (2.7) | 0 | >0.999 | 4 (2.5) | 0 | >0.999 | 4 (2.2) |
| Diarrhea | 10 (6.8) | 0 | 0.212 | 10 (6.2) | 0 | 0.601 | 10 (5.5) |
| Muscle/joint pain | 115 (77.7) | 19 (55.9) | 0.009 * | 126 (77.8) | 7 (38.9) | <0.001 * | 134 (73.6) |
| Fatigue | 107 (72.3) | 15 (44.1) | 0.002 * | 115 (71.0) | 6 (33.3) | 0.001 * | 122 (67.0) |
| Localized | |||||||
| Pain at injection site | 102 (68.9) | 24 (70.6) | 0.849 | 114 (70.4) | 10 (55.6) | 0.198 | 126 (69.2) |
| Redness | 38 (25.7) | 6 (17.6) | 0.324 | 40 (24.7) | 2 (11.1) | 0.251 | 44 (24.2) |
| Swelling | 41 (27.7) | 5 (14.7) | 0.116 | 43 (26.5) | 1 (5.6) | 0.078 | 46 (25.3) |
| Administration of acetaminophen | 126 (85.1) | 23 (67.6) | 0.017 * | 136 (84.0) | 11 (61.1) | 0.018 * | 149 (81.9) |
| Duration of acetaminophen consumption, days (mean ± SD) | 2.05 ± 2.54 | 1.21 ± 1.04 | 0.007 * | 2.00 ± 2.45 | 1.00 ± 1.03 | 0.011 * | 1.89 ± 2.35 |
| Scores of AE severity (mean ± SD) | |||||||
| Systemic SUM | 10.8 ± 7.2 | 6.7 ± 7.4 | 0.004 * | 10.6 ± 7.2 | 5.3 ± 7.4 | 0.006 * | 10.1 ± 7.4 |
| Systemic SoM | 25.6 ± 26.6 | 13.2 ± 15.7 | 0.010 * | 24.7 ± 25.8 | 9.4 ± 12.5 | 0.013 * | 23.3 ± 25.4 |
| Localized SUM | 3.2 ± 3.4 | 2.4 ± 4.5 | 0.199 | 3.2 ± 3.3 | 1.6 ± 1.9 | 0.054 | 3.1 ± 3.2 |
| Localized SoM | 15.2 ± 24.0 | 8.5 ± 10.7 | 0.122 | 14.7 ± 23.0 | 4.3 ± 5.9 | 0.067 | 14.0 ± 22.2 |
| Demographics | Systemic SUM | Systemic SoM | Localized SUM | Localized SoM |
|---|---|---|---|---|
| Sex, mean ± SD | ||||
| p | 0.001 * | <0.001 * | 0.004 * | 0.006 * |
| Male | 7.6 ± 7.0 | 15.4 ± 17.2 | 2.2 ± 2.5 | 8.7 ± 14.3 |
| Female | 11.4 ± 7.2 | 27.6 ± 28.0 | 3.6 ± 3.5 | 16.9 ± 25.2 |
| Occupation, mean ± SD | ||||
| p | 0.159 | 0.028 * | 0.763 | 0.626 |
| Doctor | 9.6 ± 7.0 | 20.5 ± 19.0 | 2.9 ± 3.1 | 13.3 ± 21.2 |
| Nurse | 11.7 ± 7.5 | 31.0 ± 32.3 a | 3.5 ± 3.6 | 17.0 ± 26.3 |
| Laboratory technologist | 8.1 ± 8.0 | 13.5 ± 17.6 a | 2.7 ± 2.5 | 8.7 ± 10.5 |
| Researcher | 4.0 ± 5.7 | 8.0 ± 11.3 | 3.5 ± 5.0 | 17.5 ± 24.7 |
| Radiologist | 6.0 ± 5.7 | 11.0 ± 12.7 | 0.5 ± 0.7 | 2.0 ± 2.8 |
| Hospital administrative assistant | 5.5 ± 7.8 | 11.0 ± 15.6 | 3.0 ± 2.8 | 5.5 ± 6.4 |
| Euroimmun IgG ELISA | |||||||
|---|---|---|---|---|---|---|---|
| Diagnostic Methods | Categorization of Borderline into Negative | Categorization of Borderline into Positive | |||||
| Positive | Negative | κ | Positive | Negative | κ | ||
| sVNT | Positive | 145 | 1 | 0.602 | 146 | 0 | 0.403 |
| Negative | 17 | 17 | 24 | 10 | |||
Publisher’s Note: MDPI stays neutral with regard to jurisdictional claims in published maps and institutional affiliations. |
© 2021 by the authors. Licensee MDPI, Basel, Switzerland. This article is an open access article distributed under the terms and conditions of the Creative Commons Attribution (CC BY) license (https://creativecommons.org/licenses/by/4.0/).
Share and Cite
Park, J.Y.; Choi, S.-H.; Chung, J.-W.; Hwang, M.-H.; Kim, M.-C. Systemic Adverse Events and Use of Antipyretics Predict the Neutralizing Antibody Positivity Early after the First Dose of ChAdOx1 Coronavirus Disease Vaccine. J. Clin. Med. 2021, 10, 2844. https://doi.org/10.3390/jcm10132844
Park JY, Choi S-H, Chung J-W, Hwang M-H, Kim M-C. Systemic Adverse Events and Use of Antipyretics Predict the Neutralizing Antibody Positivity Early after the First Dose of ChAdOx1 Coronavirus Disease Vaccine. Journal of Clinical Medicine. 2021; 10(13):2844. https://doi.org/10.3390/jcm10132844
Chicago/Turabian StylePark, Ji Young, Seong-Ho Choi, Jin-Won Chung, Min-Hyung Hwang, and Min-Chul Kim. 2021. "Systemic Adverse Events and Use of Antipyretics Predict the Neutralizing Antibody Positivity Early after the First Dose of ChAdOx1 Coronavirus Disease Vaccine" Journal of Clinical Medicine 10, no. 13: 2844. https://doi.org/10.3390/jcm10132844
APA StylePark, J. Y., Choi, S.-H., Chung, J.-W., Hwang, M.-H., & Kim, M.-C. (2021). Systemic Adverse Events and Use of Antipyretics Predict the Neutralizing Antibody Positivity Early after the First Dose of ChAdOx1 Coronavirus Disease Vaccine. Journal of Clinical Medicine, 10(13), 2844. https://doi.org/10.3390/jcm10132844

