Improvements in Hearing and in Quality of Life after Sequential Bilateral Cochlear Implantation in a Consecutive Sample of Adult Patients with Severe-to-Profound Hearing Loss
Abstract
1. Introduction
2. Materials and Methods
2.1. Patients
2.2. Test Apparatus
2.3. Procedure
2.4. Statistical Analyses
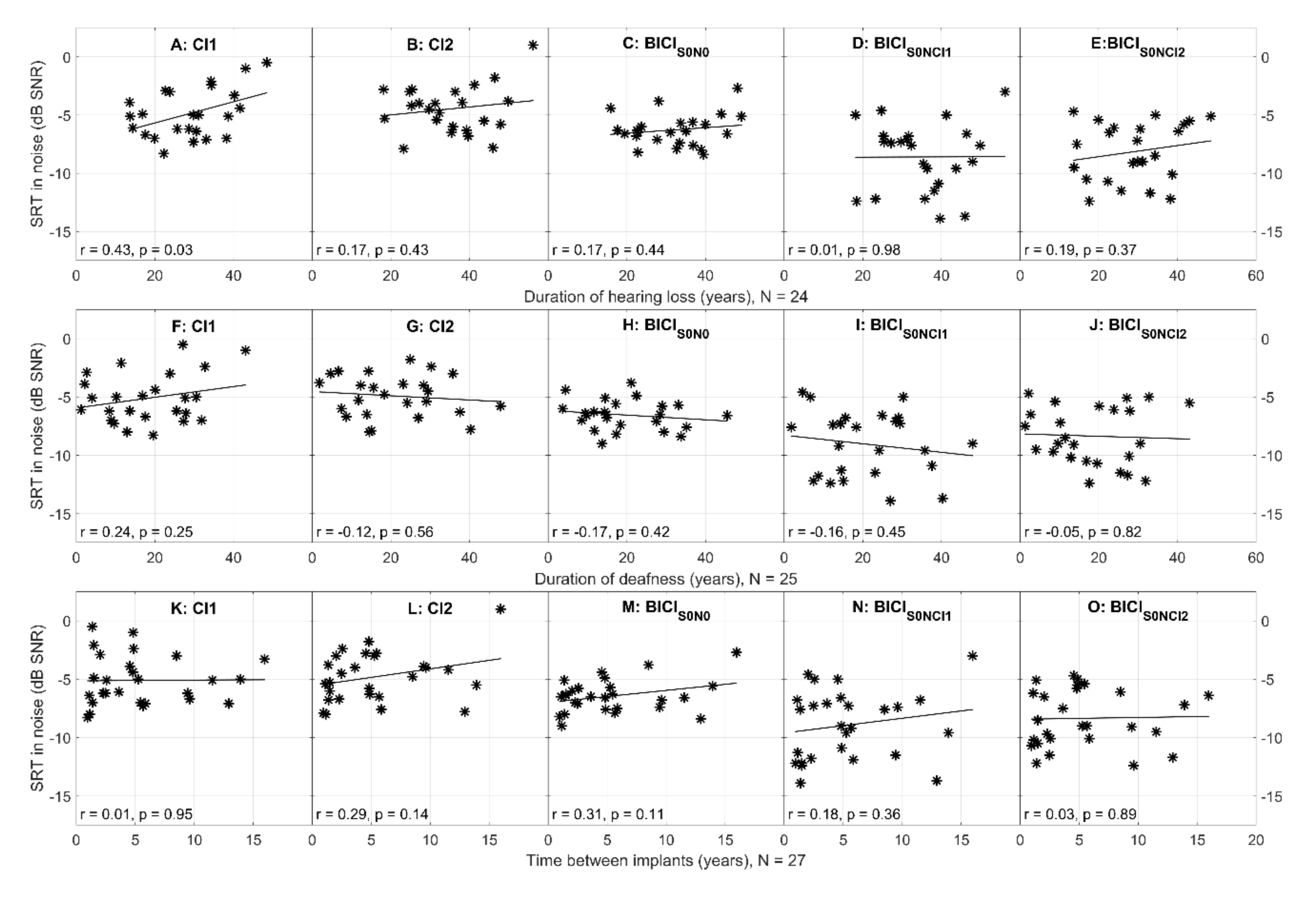
3. Results
3.1. Audiometric Outcomes
3.2. Questionnaire Data
4. Discussion
5. Conclusions
Author Contributions
Funding
Institutional Review Board Statement
Informed Consent Statement
Data Availability Statement
Acknowledgments
Conflicts of Interest
References
- Crathorne, L.; Bond, M.; Cooper, C.; Elston, J.; Weiner, G.; Taylor, R.; Stein, K. A systematic review of the effectiveness and cost-effectiveness of bilateral multichannel cochlear implants in adults with severe-to-profound hearing loss. Clin. Otolaryngol. 2012, 37, 342–354. [Google Scholar] [CrossRef]
- Van Schoonhoven, J.; Sparreboom, M.; Van Zanten, B.G.A.; Scholten, R.J.P.M.; Mylanus, E.A.M.; Dreschler, W.A.; Grolman, W.; Maat, B. The Effectiveness of Bilateral Cochlear Implants for Severe-to-Profound Deafness in Adults: A systematic review. Otol. Neurotol. 2013, 34, 190–198. [Google Scholar] [CrossRef] [PubMed]
- Health Quality Ontario. Bilateral cochlear implantation: A health technology assessment. Ont. Health Technol. Assess. Ser. 2018, 18, 1–139. [Google Scholar]
- Tyler, R.S.; Dunn, C.; Witt, S.A.; Noble, W.G. Speech Perception and Localization with Adults with Bilateral Sequential Cochlear Implants. Ear Hear. 2007, 28, 86S–90S. [Google Scholar] [CrossRef] [PubMed]
- Litovsky, R.Y.; Parkinson, A.; Arcaroli, J. Spatial Hearing and Speech Intelligibility in Bilateral Cochlear Implant Users. Ear Hear. 2009, 30, 419–431. [Google Scholar] [CrossRef]
- Smulders, Y.E.; Van Zon, A.; Stegeman, I.; Van Zanten, G.A.; Rinia, A.B.; Stokroos, R.J.; Free, R.H.; Maat, B.; Frijns, J.H.M.; Mylanus, E.A.M.; et al. Cost-Utility of Bilateral Versus Unilateral Cochlear Implantation in Adults. Otol. Neurotol. 2016, 37, 38–45. [Google Scholar] [CrossRef]
- Ibrahim, I.; Da Silva, S.D.; Segal, B.; Zeitouni, A. Effect of cochlear implant surgery on vestibular function: Meta-analysis study. J. Otolaryngol. Head Neck Surg. 2017, 46, 44. [Google Scholar] [CrossRef] [PubMed]
- Wagner, J.H.; Basta, D.; Wagner, F.; Seidl, R.O.; Ernst, A.; Todt, I. Vestibular and taste disorders after bilateral cochlear implantation: A randomized clinical trial. Eur. Arch. Oto-Rhino-Laryngol. 2010, 267, 1849–1854. [Google Scholar] [CrossRef]
- Quarez, J.; Priol, A.; Wiener-Vacher, S.R. Epidemiology of Vestibular Impairments in a Pediatric Population. Semin. Hear. 2018, 39, 229–242. [Google Scholar] [CrossRef]
- Gnanasegaram, J.J.; Parkes, W.J.; Cushing, S.L.; McKnight, C.L.; Papsin, B.C.; Gordon, K.A. Stimulation from Cochlear Implant Electrodes Assists with Recovery from Asymmetric Perceptual Tilt: Evidence from the Subjective Visual Vertical Test. Front. Integr. Neurosci. 2016, 10, 32. [Google Scholar] [CrossRef][Green Version]
- Gordon, K.A.; Wong, D.D.; Papsin, B.C. Bilateral input protects the cortex from unilaterally-driven reorganization in children who are deaf. Brain 2013, 136, 1609–1625. [Google Scholar] [CrossRef]
- Kraaijenga, V.J.C.; Ramakers, G.G.J.; Smulders, Y.E.; Van Zon, A.; Stegeman, I.; Smit, A.L.; Stokroos, R.J.; Hendrice, N.; Free, R.H.; Maat, B.; et al. Objective and Subjective Measures of Simultaneous vs Sequential Bilateral Cochlear Implants in Adults. JAMA Otolaryngol. Neck Surg. 2017, 143, 881–890. [Google Scholar] [CrossRef]
- Laske, R.D.; Veraguth, D.; Dillier, N.; Binkert, A.; Holzmann, D.; Huber, A.M. Subjective and Objective Results After Bilateral Cochlear Implantation in Adults. Otol. Neurotol. 2009, 30, 313–318. [Google Scholar] [CrossRef] [PubMed]
- Reeder, R.M.; Firszt, J.B.; Holden, L.K.; Strube, M.J. A Longitudinal Study in Adults with Sequential Bilateral Cochlear Implants: Time Course for Individual Ear and Bilateral Performance. J. Speech Lang. Hear. Res. 2014, 57, 1108–1126. [Google Scholar] [CrossRef] [PubMed]
- Boisvert, I.; McMahon, C.M.; Dowell, R.C. Speech recognition outcomes following bilateral cochlear implantation in adults aged over 50 years old. Int. J. Audiol. 2016, 55, S39–S44. [Google Scholar] [CrossRef] [PubMed]
- Härkönen, K.; Kivekäs, I.; Rautiainen, M.; Kotti, V.; Sivonen, V.; Vasama, J.-P. Sequential bilateral cochlear implantation improves working performance, quality of life, and quality of hearing. Acta Oto-Laryngol. 2015, 135, 440–446. [Google Scholar] [CrossRef] [PubMed]
- Dietz, A.; Buschermöhle, M.; Aarnisalo, A.A.; Vanhanen, A.; Hyyrynen, T.; Aaltonen, O.; Löppönen, H.; Zokoll, M.A.; Kollmeier, B. The development and evaluation of the Finnish Matrix Sentence Test for speech intelligibility assessment. Acta Oto-Laryngol. 2014, 134, 728–737. [Google Scholar] [CrossRef] [PubMed]
- Dietz, A.; Buschermöhle, M.; Sivonen, V.; Willberg, T.; Aarnisalo, A.A.; Lenarz, T.; Kollmeier, B. Characteristics and international comparability of the Finnish matrix sentence test in cochlear implant recipients. Int. J. Audiol. 2015, 54, 80–87. [Google Scholar] [CrossRef] [PubMed]
- Sivonen, V.; Willberg, T.; Aarnisalo, A.A.; Dietz, A. The efficacy of microphone directionality in improving speech recognition in noise for three commercial cochlear-implant systems. Cochlea Implant. Int. 2020, 21, 153–159. [Google Scholar] [CrossRef] [PubMed]
- Willberg, T.; Sivonen, V.; Hurme, S.; Aarnisalo, A.A.; Löppönen, H.; Dietz, A. The long-term learning effect related to the repeated use of the Finnish matrix sentence test and the Finnish digit triplet test. Int. J. Audiol. 2020, 59, 753–762. [Google Scholar] [CrossRef]
- Kollmeier, B.; Wesselkamp, M. Development and evaluation of a German sentence test for objective and subjective speech intelligibility assessment. J. Acoust. Soc. Am. 1997, 102, 2412–2421. [Google Scholar] [CrossRef]
- Kollmeier, B.; Warzybok, A.; Hochmuth, S.; Zokoll, M.A.; Uslar, V.; Brand, T.; Wagener, K.C. The multilingual matrix test: Principles, applications, and comparison across languages: A review. Int. J. Audiol. 2015, 54, 3–16. [Google Scholar] [CrossRef] [PubMed]
- Schleich, P.; Nopp, P.; D’Haese, P. Head Shadow, Squelch, and Summation Effects in Bilateral Users of the MED-EL COMBI 40/40+ Cochlear Implant. Ear Hear. 2004, 25, 197–204. [Google Scholar] [CrossRef] [PubMed]
- Dillon, H. Hearing Aids, 2nd ed.; Boomerang Press: Sydney, NSW, Australia, 2012; pp. 430–468. [Google Scholar]
- Wanna, G.B.; Gifford, R.H.; McRackan, T.R.; Rivas, A.; Haynes, D.S. Bilateral Cochlear Implantation. Otolaryngol. Clin. North. Am. 2012, 45, 81–89. [Google Scholar] [CrossRef]
- Phillips, D.; Vigneault-MacLean, B.; Boehnke, S.; Hall, S. Acoustic Hemifields in the Spatial Release from Masking of Speech by Noise. J. Am. Acad. Audiol. 2003, 14, 518–524. [Google Scholar] [CrossRef]
- Friedland, D.R.; Runge-Samuelson, C. Soft Cochlear Implantation: Rationale for the Surgical Approach. Trends Amplif. 2009, 13, 124–138. [Google Scholar] [CrossRef]
- ISO. ISO 8253-2: Acoustics—Audiometric Test. Methods—Part. 2: Sound Field Audiometry with Pure-Tone and Narrow-Band Test, Signals; International Organization for Standardization: Geneva, Switzerland, 2009. [Google Scholar]
- ISO. ISO 389-7: Acoustics—Reference Zero for the Calibration of Audiometric Equipment—Part. 7: Reference Threshold of Hearing under Free-Field and Diffuse-Field Listening Conditions; International Organization for Standardization: Geneva, Switzerland, 2019. [Google Scholar]
- Robinson, K.; Gatehouse, S.; Browning, G.G. Measuring Patient Benefit from Otorhinolaryngological Surgery and Therapy. Ann. Otol. Rhinol. Laryngol. 1996, 105, 415–422. [Google Scholar] [CrossRef]
- Plomp, R.; Mimpen, A.M. Effect of the orientation of the speaker’s head and the azimuth of a noise source on the speech-reception threshold for Sentences. Acta Acust. United Acust. 1981, 48, 325–328. [Google Scholar]
- Wagner, L.; Geiling, L.; Hauth, C.; Hocke, T.; Plontke, S.; Rahne, T. Improved binaural speech reception thresholds through small symmetrical separation of speech and noise. PLoS ONE 2020, 15, e0236469. [Google Scholar] [CrossRef] [PubMed]
- McRackan, T.R.; Hand, B.N.; Velozo, C.A.; Dubno, J.R. Cochlear Implant Quality of Life Development Consortium Cochlear Implant Quality of Life (CIQOL): Development of a Profile Instrument (CIQOL-35 Profile) and a Global Measure (CIQOL-10 Global). J. Speech Lang. Hear. Res. 2019, 62, 3554–3563. [Google Scholar] [CrossRef]
- Ramakers, G.G.J.; Smulders, Y.E.; Van Zon, A.; Van Zanten, G.A.; Grolman, W.; Stegeman, I. Correlation between subjective and objective hearing tests after unilateral and bilateral cochlear implantation. BMC Ear Nose Throat Disord. 2017, 17, 10. [Google Scholar] [CrossRef] [PubMed]





| Time betweenImplants | Duration of Hearing Loss | Duration of Deafness | ||||||
|---|---|---|---|---|---|---|---|---|
| Age | ||||||||
| Patient | (Years) | Brand | Etiology | CI1 | CI2 | (Years) | CI1/CI2 (Years) | CI1/CI2 (Years) |
| 1 | 58.6 | Med-El | unknown | C40 + Standard | Concerto FLEX28 | 13.9 | 29.8/43.7 | 10.2/24.2 |
| 2 | 39.3 | Cochlear | unknown | CI512 | CI512 | 4.9 | 34.4/39.3 | 32.7/37.6 |
| 3 | 41.1 | Cochlear | unknown | CI24RE | CI512 | 5.3 | 31.1/36.4 | 30.5/35.8 |
| 4 | 52.5 | Med-El | unknown | C40 + Standard | Concerto FLEX28 | 12.9 | 33.1/46.0 | 27.3/40.3 |
| 5 | 35.2 | Med-El | Usher | Concerto FLEX28 | Concerto FLEX28 | 1.1 | 30.5/31.7 | 27.9/29.4 |
| 6 | 35.3 | Med-El | Usher | Concerto FLEX28 | Synchrony FLEX24 | 1.2 | unknown | 12.9/14.6 |
| 7 | 55.8 | Med-El | meningitis | Pulsar ci100 Standard | Synchrony FLEX28 | 8.5 | 23.9/32.4 | 23.9/18.4 |
| 8 | 47.9 | Med-El | rubella | Sonata ti100 Standard | Synchrony FLEX28 | 4.8 | 43.1/47.9 | 43.1/47.9 |
| 9 | 34.5 | Cochlear | genetic | CI422 | CI422 | 2.0 | 22.7/24.7 | 2.7/4.7 |
| 10 | 48.9 | Med-El | unknown | Sonata ti100 Standard | Concerto FLEX28 | 4.8 | 41.6/46.4 | 20.1/24.9 |
| 11 | 35.2 | Med-El | unknown | Concerto Standard | Synchrony FLEX24 | 3.6 | 14.3/31.2 | 1.3/28.3 |
| 12 | 39.0 | Med-El | Usher | Concerto FLEX28 | Synchrony FLEX24 | 2.3 | unknown | 8.4/8.7 |
| 13 | 56.2 | Med-El | unknown | C40 + Standard | Synchrony FLEX24 | 16.0 | 40.2/56.2 | unknown |
| 14 | 55.4 | Med-El | unknown | Sonata ti100 FLEX28 | Concerto FLEX28 | 4.5 | 13.6/18.2 | 2.1/6.7 |
| 15 | 27.3 | Med-El | genetic | Sonata ti100 Standard | Synchrony FLEX24 | 5.5 | 19.9/25.4 | 8.9/14.4 |
| 16 | 56.3 | Med-El | unknown | C40 + Standard | Synchrony FLEX28 | 11.5 | 13.7/25.2 | 4.0/15.6 |
| 17 | 19.6 | Cochlear | unknown | CI24RE(CA) | CI522 | 5.9 | unknown | unknown |
| 18 | 23.3 | Med-El | genetic | Concerto FLEX24 | Synchrony FLEX28 | 1.0 | 22.3/23.3 | 19.6/15.1 |
| 19 | 39.1 | Med-El | sudden | Concerto FLEX28 | Synchrony FLEX28 | 2.5 | 25.7/29.7 | 25.5/29.5 |
| 20 | 49.2 | Med-El | unknown | Concerto FLEX28 | Synchrony FLEX28 | 2.6 | 38.7/41.2 | 27.7/30.3 |
| 21 | 51.9 | Cochlear | Cogan | CI24RE(CA) | CI422 | 9.6 | 17.6/27.2 | 17.6/12.4 |
| 22 | 35.5 | Med-El | meningitis | Concerto FLEX28 | Synchrony FLEX28 | 1.5 | 16.9/18.4 | 16.9/11.8 |
| 23 | 49.8 | Med-El | CMV | Concerto FLEX28 | Synchrony FLEX28 | 1.4 | 48.5/49.8 | 27.1/1.84 |
| 24 | 44.7 | Cochlear | unknown | CI422 | CI522 | 1.4 | 38.3/39.6 | 31.9/27.0 |
| 25 | 64.8 | Med-El | otosclerosis | Concerto FLEX24 | Concerto FLEX24 | 1.5 | 34.3/35.8 | 11.5/7.5 |
| 26 | 45.6 | Cochlear | unknown | CI24RE(CA) | CI522 | 9.5 | 28.7/38.2 | 13.7/23.1 |
| 27 | 52.6 | Cochlear | unknown | CI512 | CI522 | 5.7 | 29.8/35.5 | 9.6/13.9 |
| Mean | 44.2 | 5.4 | 28.9/35.1 | 18.3/21.0 |
Publisher’s Note: MDPI stays neutral with regard to jurisdictional claims in published maps and institutional affiliations. |
© 2021 by the authors. Licensee MDPI, Basel, Switzerland. This article is an open access article distributed under the terms and conditions of the Creative Commons Attribution (CC BY) license (https://creativecommons.org/licenses/by/4.0/).
Share and Cite
Sivonen, V.; Sinkkonen, S.T.; Willberg, T.; Lamminmäki, S.; Jääskelä-Saari, H.; Aarnisalo, A.A.; Dietz, A. Improvements in Hearing and in Quality of Life after Sequential Bilateral Cochlear Implantation in a Consecutive Sample of Adult Patients with Severe-to-Profound Hearing Loss. J. Clin. Med. 2021, 10, 2394. https://doi.org/10.3390/jcm10112394
Sivonen V, Sinkkonen ST, Willberg T, Lamminmäki S, Jääskelä-Saari H, Aarnisalo AA, Dietz A. Improvements in Hearing and in Quality of Life after Sequential Bilateral Cochlear Implantation in a Consecutive Sample of Adult Patients with Severe-to-Profound Hearing Loss. Journal of Clinical Medicine. 2021; 10(11):2394. https://doi.org/10.3390/jcm10112394
Chicago/Turabian StyleSivonen, Ville, Saku T. Sinkkonen, Tytti Willberg, Satu Lamminmäki, Hilkka Jääskelä-Saari, Antti A. Aarnisalo, and Aarno Dietz. 2021. "Improvements in Hearing and in Quality of Life after Sequential Bilateral Cochlear Implantation in a Consecutive Sample of Adult Patients with Severe-to-Profound Hearing Loss" Journal of Clinical Medicine 10, no. 11: 2394. https://doi.org/10.3390/jcm10112394
APA StyleSivonen, V., Sinkkonen, S. T., Willberg, T., Lamminmäki, S., Jääskelä-Saari, H., Aarnisalo, A. A., & Dietz, A. (2021). Improvements in Hearing and in Quality of Life after Sequential Bilateral Cochlear Implantation in a Consecutive Sample of Adult Patients with Severe-to-Profound Hearing Loss. Journal of Clinical Medicine, 10(11), 2394. https://doi.org/10.3390/jcm10112394

