Decreased Muscle-to-Fat Mass Ratio Is Associated with Low Muscular Fitness and High Alanine Aminotransferase in Children and Adolescent Boys in Organized Sports Clubs
Abstract
1. Introduction
2. Materials and Methods
2.1. Participants
2.2. Body Composition Measurements
2.3. Laboratory Measurements
2.4. Muscular Fitness Measurements
2.5. Statistical Analysis
3. Results
4. Discussion
5. Conclusions
Supplementary Materials
Author Contributions
Funding
Institutional Review Board Statement
Informed Consent Statement
Data Availability Statement
Acknowledgments
Conflicts of Interest
References
- Smith, J.J.; Eather, N.; Morgan, P.J.; Plotnikoff, R.C.; Faigenbaum, A.D.; Lubans, D.R. The health benefits of muscular fitness for children and adolescents: A systematic review and meta-analysis. Sports Med. 2014, 44, 1209–1223. [Google Scholar] [CrossRef] [PubMed]
- Garcia-Pastor, T.; Salinero, J.J.; Sanz-Frias, D.; Pertusa, G.; Del, C.J. Body fat percentage is more associated with low physical fitness than with sedentarism and diet in male and female adolescents. Physiol. Behav. 2016, 165, 166–172. [Google Scholar] [CrossRef] [PubMed]
- Glinkowska, B.; Glinkowski, W.M. Association of sports and physical activity with obesity among teenagers in Poland. Int. J. Occup. Med. Environ. Health 2018, 31, 771–782. [Google Scholar] [CrossRef] [PubMed]
- Pérez-Bey, A.; Segura-Jiménez, V.; Fernández-Santos, J.D.R.; Esteban-Cornejo, I.; Gómez-Martínez, S.; Veiga, O.L.; Marcos, A.; Castro-Piñero, J. The Role of Adiposity in the Association between Muscular Fitness and Cardiovascular Disease. J. Pediatr. 2018, 199, 178–185.e4. [Google Scholar] [CrossRef]
- Higgins, V.; Omidi, A.; Tahmasebi, H.; Asgari, S.; Gordanifar, K.; Nieuwesteeg, M.; Adeli, K. Marked Influence of Adiposity on Laboratory Biomarkers in a Healthy Cohort of Children and Adolescents. J. Clin. Endocrinol. Metab. 2020, 105, e1781–e1797. [Google Scholar] [CrossRef]
- Fraser, B.J.; Blizzard, L.; Schmidt, M.D.; Juonala, M.; Dwyer, T.; Venn, A.J.; Magnussen, C.G. Childhood cardiorespiratory fitness, muscular fitness and adult measures of glucose homeostasis. J. Sci. Med. Sport 2018, 21, 935–940. [Google Scholar] [CrossRef]
- García-Hermoso, A.; Ramírez-Campillo, R.; Izquierdo, M. Is Muscular Fitness Associated with Future Health Benefits in Children and Adolescents? A Systematic Review and Meta-Analysis of Longitudinal Studies. Sports Med. 2019, 49, 1079–1094. [Google Scholar] [CrossRef]
- Lonardo, A.; Leoni, S.; Alswat, K.A.; Fouad, Y. History of Nonalcoholic Fatty Liver Disease. Int. J. Mol. Sci. 2020, 21, 5888. [Google Scholar] [CrossRef]
- Fang, Y.L.; Chen, H.; Wang, C.L.; Liang, L. Pathogenesis of non-alcoholic fatty liver disease in children and adolescence: From “two hit theory” to “multiple hit model”. World J. Gastroenterol. 2018, 24, 2974–2983. [Google Scholar] [CrossRef] [PubMed]
- Schwimmer, J.B.; Deutsch, R.; Kahen, T.; Lavine, J.E.; Stanley, C.; Behling, C. Prevalence of Fatty Liver in Children and Adolescents. Pediatrics 2006, 118, 1388–1393. [Google Scholar] [CrossRef]
- Anderson, E.L.; Howe, L.D.; Jones, H.E.; Higgins, J.P.; Lawlor, D.A.; Fraser, A. The Prevalence of Non-Alcoholic Fatty Liver Disease in Children and Adolescents: A Systematic Review and Meta-Analysis. PLoS ONE 2015, 10, e0140908. [Google Scholar] [CrossRef] [PubMed]
- Feldstein, A.E.; Charatcharoenwitthaya, P.; Treeprasertsuk, S.; Benson, J.T.; Enders, F.B.; Angulo, P. The natural history of nonalcoholic fatty liver disease in children: A follow-up study for up to 20-years. Gut 2009, 58, 153844. [Google Scholar] [CrossRef] [PubMed]
- Kotronen, A.; Yki-Järvinen, H. Fatty liver: A novel component of the metabolic syndrome. Arterioscler. Thromb. Vasc. Biol. 2008, 28, 27–38. [Google Scholar] [CrossRef] [PubMed]
- Vos, M.B.; Abrams, S.H.; Barlow, S.E.; Caprio, S.; Daniels, S.R.; Kohli, R.; Mouzaki, M.; Sathya, P.; Schwimmer, J.B.; Sundaram, S.S.; et al. NASPGHAN Clinical Practice Guideline for the Diagnosis and Treatment of Nonalcoholic Fatty Liver Disease in Children: Recommendations from the Expert Committee on NAFLD (ECON) and the North American Society of Pediatric Gastroenterology, Hepatology and Nutrition (NASPGHAN). J. Pediatr. Gastroenterol. Nutr. 2017, 64, 319–334. [Google Scholar] [PubMed]
- Moon, J.S.; Yoon, J.S.; Won, K.C.; Lee, H.W. The role of skeletal muscle in development of nonalcoholic Fatty liver disease. Diabetes Metab. J. 2013, 37, 278–285. [Google Scholar] [CrossRef]
- Lee, M.J.; Kim, E.H.; Bae, S.J.; Kim, G.A.; Park, S.W.; Choe, J.; Jung, C.H.; Lee, W.J.; Kim, H.K. Age-Related Decrease in Skeletal Muscle Mass Is an Independent Risk Factor for Incident Nonalcoholic Fatty Liver Disease: A 10-Year Retrospective Cohort Study. Gut Liver 2019, 13, 67–76. [Google Scholar] [CrossRef]
- Pacifico, L.; Perla, F.M.; Andreoli, G.; Grieco, R.; Pierimarchi, P.; Chiesa, C. Nonalcoholic Fatty Liver Disease Is Associated With Low Skeletal Muscle Mass in Overweight/Obese Youths. Front. Pediatr. 2020, 8, 158. [Google Scholar] [CrossRef]
- Kwon, Y.; Jeong, S.J. Relative Skeletal Muscle Mass Is an Important Factor in Non-Alcoholic Fatty Liver Disease in Non-Obese Children and Adolescents. J. Clin. Med. 2020, 9, 3355. [Google Scholar] [CrossRef]
- Medrano, M.; Cadenas-Sanchez, C.; Álvarez-Bueno, C.; Cavero-Redondo, I.; Ruiz, J.R.; Ortega, F.B.; Labayen, I. Evidence-Based Exercise Recommendations to Reduce Hepatic Fat Content in Youth—A Systematic Review and Meta-Analysis. Prog. Cardiovasc. Dis. 2018, 61, 222–231. [Google Scholar] [CrossRef]
- Seo, Y.G.; Lim, H.; Kim, Y.; Ju, Y.S.; Lee, H.J.; Jang, H.B.; Park, S.I.; Park, K.H. The Effect of a Multidisciplinary Lifestyle Intervention on Obesity Status, Body Composition, Physical Fitness, and Cardiometabolic Risk Markers in Children and Adolescents with Obesity. Nutrients 2019, 11, 137. [Google Scholar] [CrossRef]
- Morelli, C.; Avolio, E.; Galluccio, A.; Caparello, G.; Manes, E.; Ferraro, S.; De Rose, D.; Santoro, M.; Barone, I.; Catalano, S.; et al. Impact of Vigorous-Intensity Physical Activity on Body Composition Parameters, Lipid Profile Markers, and Irisin Levels in Adolescents: A Cross-Sectional Study. Nutrients 2020, 12, 742. [Google Scholar] [CrossRef] [PubMed]
- Marques, A.; Ekelund, U.; Sardinha, L.B. Associations between organized sports participation and objectively measured physical activity, sedentary time and weight status in youth. J. Sci. Med. Sport 2016, 19, 154–157. [Google Scholar] [CrossRef] [PubMed]
- Lee, J.E.; Pope, Z.; Gao, Z. The Role of Youth Sports in Promoting Children’s Physical Activity and Preventing Pediatric Obesity: A Systematic Review. Behav. Med. 2018, 44, 62–76. [Google Scholar] [CrossRef]
- Vella, S.A.; Cliff, D.P. Organised sports participation and adiposity among a cohort of adolescents over a two year period. PLoS ONE 2018, 13, e0206500. [Google Scholar] [CrossRef]
- Sekkarie, A.; Welsh, J.A.; Northstone, K.; Cioffi, C.E.; Stein, A.D.; Figueroa, J.; Ramakrishnan, U.; Vos, M.B. ALT Trends through Childhood and Adolescence Associated with Hepatic Steatosis at 24 Years: A Population-Based UK Cohort Study. Children 2020, 7, 117. [Google Scholar] [CrossRef] [PubMed]
- Liu, J.; Yan, Y.; Xi, B.; Huang, G.; Mi, J. Skeletal muscle reference for Chinese children and adolescents. China Child and Adolescent Cardiovascular Health (CCACH) Study Group. J. Cachexia Sarcopenia Muscle 2019, 10, 155–164. [Google Scholar] [CrossRef]
- Kim, K.; Hong, S.; Kim, E.Y. Reference Values of Skeletal Muscle Mass for Korean Children and Adolescents Using Data from the Korean National Health and Nutrition Examination Survey 2009–2011. PLoS ONE 2016, 11, e0153383. [Google Scholar] [CrossRef]
- Osaka, T.; Hashimoto, Y.; Okamura, T.; Fukuda, T.; Yamazaki, M.; Hamaguchi, M.; Fukui, M. Reduction of Fat to Muscle Mass Ratio Is Associated with Improvement of Liver Stiffness in Diabetic Patients with Non-Alcoholic Fatty Liver Disease. J. Clin. Med. 2019, 8, 2175. [Google Scholar] [CrossRef]
- Deforche, B.; Lefevre, J.; De Bourdeaudhuij, I.; Hills, A.P.; Duquet, W.; Bouckaert, J. Physical fitness and physical activity in obese and nonobese Flemish youth. Obes. Res. 2003, 11, 434–441. [Google Scholar] [CrossRef]
- Moliner-Urdiales, D.; Ruiz, J.R.; Vicente-Rodriguez, G.; Ortega, F.B.; Rey-Lopez, J.P.; España-Romero, V.; Casajús, J.A.; Molnar, D.; Widhalm, K.; Dallongeville, J.; et al. Associations of muscular and cardiorespiratory fitness with total and central body fat in adolescents: The HELENA Study. Br. J. Sports Med. 2011, 45, 101–108. [Google Scholar] [CrossRef]
- Tsiros, M.D.; Coates, A.M.; Howe, P.R.; Grimshaw, P.N.; Walkley, J.; Shield, A.; Mallows, R.; Hills, A.P.; Kagawa, M.; Shultz, S.; et al. Knee extensor strength differences in obese and healthy-weight 10-to 13-year-olds. Eur. J. Appl. Physiol. 2013, 113, 1415–1422. [Google Scholar] [CrossRef] [PubMed]
- WHO Guidelines on Physical Activity and Sedentary Behaviour. Available online: https://apps.who.int/iris/rest/bitstreams/1315866/retrieve (accessed on 23 March 2021).
- Draijer, L.G.; van Oosterhout, J.P.M.; Vali, Y.; Zwetsloot, S.; van der Lee, J.H.; van Etten-Jamaludin, F.S.; Chegary, M.; Benninga, M.A.; Koot, B.G.P. Diagnostic accuracy of fibrosis tests in children with non-alcoholic fatty liver disease: A systematic review. Liver Int. 2021. online ahead of print. [Google Scholar] [CrossRef]
- Anderson, L.J.; Erceg, D.N.; Schroeder, E.T. Utility of multifrequency bioelectrical impedance compared with dual-energy x-ray absorptiometry for assessment of total and regional body composition varies between men and women. Nutr. Res. 2012, 32, 479–485. [Google Scholar] [CrossRef] [PubMed]
- Kim, M.; Shinkai, S.; Murayama, H.; Mori, S. Comparison of segmental multifrequency bioelectrical impedance analysis with dual-energy X-ray absorptiometry for the assessment of body composition in a community-dwelling older population. Geriatr. Gerontol. Int. 2015, 15, 1013–1022. [Google Scholar] [CrossRef] [PubMed]
- Tanaka, J.; Mizui, M.; Nagakami, H.; Katayama, K.; Tabuchi, A.; Komiya, Y.; Miyakawa, Y.; Yoshizawa, H. Incidence rates of hepatitis B and C virus infections among blood donors in Hiroshima, Japan, during 10 years from 1994 to 2004. Intervirology 2008, 51, 33–41. [Google Scholar] [CrossRef]




| ALL (n = 113) | Low MFR (n = 28) | Medium MFR (n = 57) | High MFR (n = 28) | p-Value | |
|---|---|---|---|---|---|
| Age, year | 14.0 (13.0–15.0) | 14.0 (12.3–15.8) | 14.0 (13.0–15.0) | 14.0 (13.0–15.0) | 0.77 |
| Height, cm | 165.7 (158.4–171.8) | 166.9 (157.6–170.3) | 166.5 (157.9–173.2) | 165.0 (158.9–170.0) | 0.9 |
| Weight, kg | 55.7 (44.9–65.0) | 68.7 (51.7–80.8) | 56.8 (48.4–63.0) | 48.1 (44.2–57.8) | 0.0023 |
| Body mass index, kg/m2 | 19.7 (17.9–22.4) | 24.9 (19.5–28.0) | 20.2 (18.0–22.0) | 18.1 (16.6–19.3) | <0.0001 |
| Skeletal muscle mass, kg | 26.6 ± 7.0 | 27.3 ± 8.2 | 26.7 ± 7.4 | 25.6 ± 4.4 | 0.44 |
| Fat mass, kg | 7.2 (4.9–11.0) | 14.3 (10.2–23.4) | 7.4 (5.8–9.4) | 4.0 (3.1–5.1) | <0.0001 |
| Skeletal muscle mass/weight | 0.48 (0.45–0.49) | 0.43 (0.40–0.44) | 0.48 (0.46–0.49) | 0.51 (0.49–0.10) | <0.0001 |
| Fat mass/weight | 0.14 (0.11–0.18) | 0.22 (0.20–0.28) | 0.14 (0.12–0.16) | 0.08 (0.07–7.8) | <0.0001 |
| Skeletal muscle to fat mass ratio | 3.39 (2.57–4.64) | 1.94 (1.43–2.28) | 3.39 (2.87–4.07) | 6.38 (5.11–7.42) | <0.0001 |
| Hand grip, kg | 32.8 ± 9.5 | 33.4 ± 10.8 | 32.8 ± 10.0 | 32.0 ± 7.1 | 0.68 |
| Knee extension force, Nm/kg | 2.26 ± 0.45 | 2.00 ± 0.38 | 2.32 ± 0.43 | 2.40 ± 0.47 | 0.0029 |
| Knee flexion force, Nm/kg | 1.07 (0.94–1.26) | 1.00 (0.84–1.08) | 1.13 (0.99–1.33) | 1.10 (0.95–1.31) | 0.0068 |
| Squat jump, cm | 27.0 ± 6.1 | 22.5 ± 5.1 | 28.2 ± 5.7 | 29.0 ± 5.4 | <0.0001 |
| Counter movement jump, cm | 30.0 ± 6.0 | 25.6 ± 4.9 | 31.2 ± 5.7 | 32.3 ± 5.6 | <0.0001 |
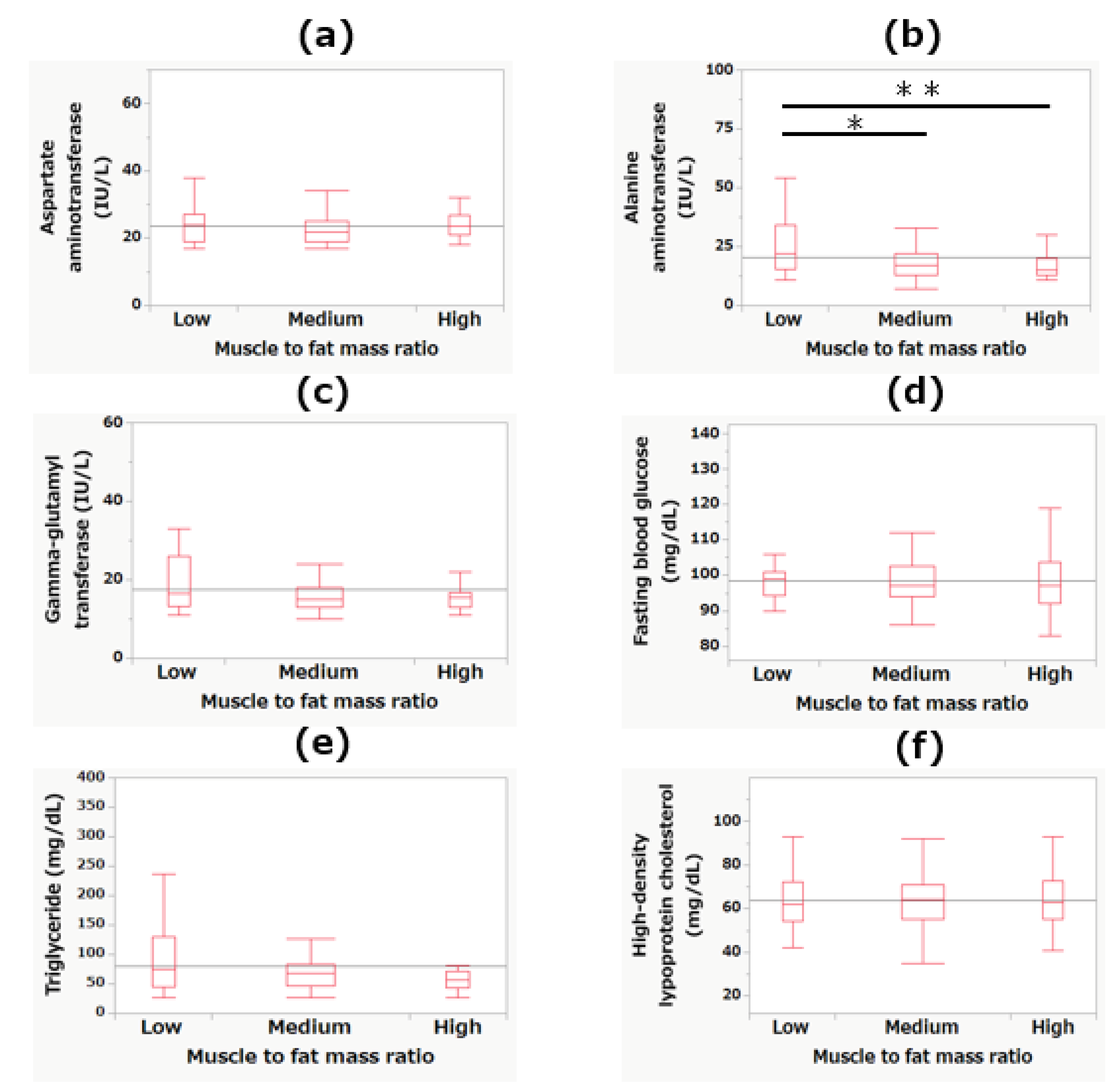
| Aspartate aminotransferase, IU/L | 23.0 (19.5–25.5) | 24.0 (19.0–27.0) | 22.0 (19.0–25.0) | 23.5 (21.0–26.8) | 0.34 |
| Alanine aminotransferase, IU/L | 17.0 (14.0–23.0) | 22.0 (15.3–34.0) | 17.0 (13.0–22.0) | 15.0 (13.0–20.0) | 0.0028 |
| Gamma-glutamyl transferase, IU/L | 15.0 (13.0–19.5) | 16.5 (15.3–34.0) | 15.0 (13.3–26.0) | 15.5 (13.0–16.8) | 0.16 |
| Fasting blood glucose, mg/dL | 98.0 (94.0–102.5) | 99.0 (94.3–101.0) | 97.0 (94.0–102.5) | 97.0 (92.3–103.8) | 0.85 |
| Triglycerides, mg/dL | 68.0 (45.0–82.5) | 74.5 (45.3–130.0) | 68.0 (46.0–82.5) | 57.0 (43.8–71.3) | 0.048 |
| High-density lipoprotein cholesterol, mg/dL | 63.9 ± 12.2 | 63.7 ± 13.1 | 63.8 ±12.1 | 63.9 ± 12.2 | 0.96 |
| Obesity (body mass index > 25 kg/m2) | 18 (15.9%) | 13 (46.4%) | 5 (8.8%) | 0 (0.0%) | <0.0001 |
| Alanine aminotransferase (>26 IU/L) | 16 (15.0%) | 11 (39.3%) | 4 (7.0%) | 1 (3.6%) | <0.0001 |
| Decreased MFR Tertiles | p-Value | |
|---|---|---|
| Model 1 | 7.10 (2.37–21.3) | <0.001 |
| Model 2 | 5.69 (1.67–19.3) | 0.005 |
| Model 3 | 4.62 (1.19–18.0) | 0.027 |
| Model 4 | 9.32 (1.95–44.7) | 0.005 |
| Model 5 | 8.53 (1.60–45.6) | 0.012 |
| China † | Korea § | ALL Participants (Present Study) | Lowest MFR Tertile (Present Study) | |
|---|---|---|---|---|
| Skeletal muscle mass, kg | 22.1 ± 3.6 | 22.4 ± 0.4 | 26.6 ± 7.0 | 27.3 ± 8.2 |
| Fat mass, kg | 16.3 ± 8.1 | 13.9 ± 0.9 | 7.2 (4.9–11.0) | 14.3 (10.2–23.4) |
| Muscle-to-fat mass ratio | – | 2.1 ± 0.1 | 3.39 (2.57–4.64) | 1.94 (1.43–2.28) |
Publisher’s Note: MDPI stays neutral with regard to jurisdictional claims in published maps and institutional affiliations. |
© 2021 by the authors. Licensee MDPI, Basel, Switzerland. This article is an open access article distributed under the terms and conditions of the Creative Commons Attribution (CC BY) license (https://creativecommons.org/licenses/by/4.0/).
Share and Cite
Ushio, K.; Mikami, Y.; Obayashi, H.; Fujishita, H.; Fukuhara, K.; Sakamitsu, T.; Hirata, K.; Ikuta, Y.; Kimura, H.; Adachi, N. Decreased Muscle-to-Fat Mass Ratio Is Associated with Low Muscular Fitness and High Alanine Aminotransferase in Children and Adolescent Boys in Organized Sports Clubs. J. Clin. Med. 2021, 10, 2272. https://doi.org/10.3390/jcm10112272
Ushio K, Mikami Y, Obayashi H, Fujishita H, Fukuhara K, Sakamitsu T, Hirata K, Ikuta Y, Kimura H, Adachi N. Decreased Muscle-to-Fat Mass Ratio Is Associated with Low Muscular Fitness and High Alanine Aminotransferase in Children and Adolescent Boys in Organized Sports Clubs. Journal of Clinical Medicine. 2021; 10(11):2272. https://doi.org/10.3390/jcm10112272
Chicago/Turabian StyleUshio, Kai, Yukio Mikami, Hiromune Obayashi, Hironori Fujishita, Kouki Fukuhara, Tetsuhiko Sakamitsu, Kazuhiko Hirata, Yasunari Ikuta, Hiroaki Kimura, and Nobuo Adachi. 2021. "Decreased Muscle-to-Fat Mass Ratio Is Associated with Low Muscular Fitness and High Alanine Aminotransferase in Children and Adolescent Boys in Organized Sports Clubs" Journal of Clinical Medicine 10, no. 11: 2272. https://doi.org/10.3390/jcm10112272
APA StyleUshio, K., Mikami, Y., Obayashi, H., Fujishita, H., Fukuhara, K., Sakamitsu, T., Hirata, K., Ikuta, Y., Kimura, H., & Adachi, N. (2021). Decreased Muscle-to-Fat Mass Ratio Is Associated with Low Muscular Fitness and High Alanine Aminotransferase in Children and Adolescent Boys in Organized Sports Clubs. Journal of Clinical Medicine, 10(11), 2272. https://doi.org/10.3390/jcm10112272

