Fabrication of Microphase-Separated Tröger’s Base Polymer Membranes for Oxygen Enrichment
Abstract
1. Introduction
2. Experiment
2.1. Materials
2.2. Synthesis of TB Polymer
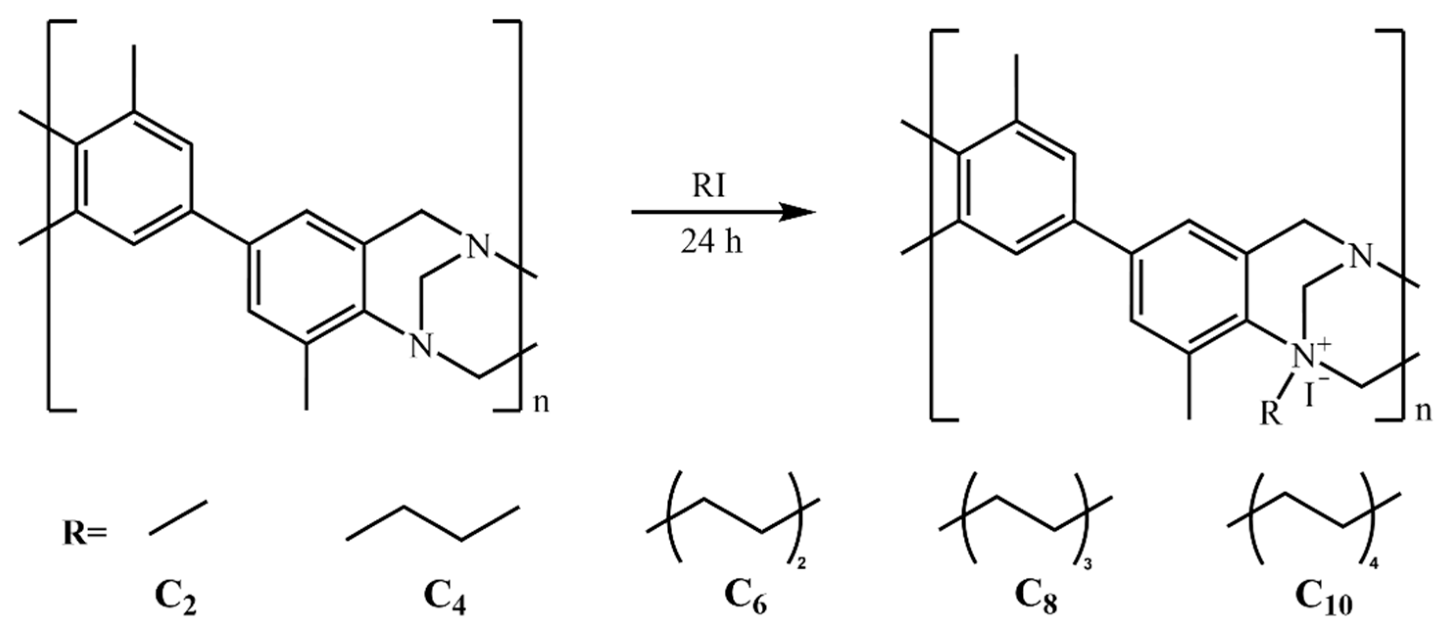
2.3. Quaternized Modification
2.4. Preparation of Membranes
2.5. Characterization
2.6. Grafting Ratio Calculation by Spectroscopic Method
2.7. Gas Permeation Test
3. Results and Discussion
3.1. Structure of TB and QTB Membranes
3.2. Thermogravimetric Analysis
3.3. Membrane Morphology
3.4. Microphase-Separated Morphology
3.4.1. AFM Analysis
3.4.2. SAXS Analysis
3.4.3. Density and Fractional Free Volume Analysis
3.5. Gas Permeation Performance of TB and QTB Membranes
3.6. Pressure Stability of QTB Membranes
3.7. Effect of Temperature on the QTB Membranes
3.8. Effect of Days on the QTB Membranes
4. Conclusions
Author Contributions
Funding
Data Availability Statement
Conflicts of Interest
References
- Wang, W.; Li, F.; Wang, H. Numerical simulation study on the effect of different oxygen-enrichment atmospheres on diesel combustion. Energy 2023, 266, 126474. [Google Scholar] [CrossRef]
- Anwar, M.N.; Fayyaz, A.; Sohail, N.F.; Khokhar, M.F.; Baqar, M.; Khan, W.D.; Rasool, K.; Rehan, M.; Nizami, A.S. CO2 capture and storage: A way forward for sustainable environment. J. Environ. Manag. 2018, 226, 131–144. [Google Scholar] [CrossRef]
- Arnaiz del Pozo, C.; Sánchez-Orgaz, S.; Navarro-Calvo, A.; Jiménez Álvaro, Á.; Cloete, S. Integration of Chemical Looping Combustion in the Graz Power Cycle. Energies 2024, 17, 2334. [Google Scholar] [CrossRef]
- Hazarika, G.; Ingole, P.G. Polymer-based hollow fiber membranes: A modern trend in gas separation technologies. Mater. Today Chem. 2024, 38, 102109. [Google Scholar] [CrossRef]
- Niu, Z.; He, N.; Yao, Y.; Ma, A.; Zhang, E.; Cheng, L.; Li, Y.; Lu, X. Mixed matrix membranes for gas separations: A review. Chem. Eng. J. 2024, 494, 152912. [Google Scholar] [CrossRef]
- Alqaheem, Y.; Alomair, A.A. Sealing perovskite membranes for long-term oxygen separation from air. Chem. Pap. 2020, 74, 4159–4168. [Google Scholar] [CrossRef]
- Han, Y.; Ho, W.S.W. Moving beyond 90% Carbon Capture by Highly Selective Membrane Processes. Membranes 2022, 12, 399. [Google Scholar] [CrossRef] [PubMed]
- Han, Y.; Ho, W.S.W. Recent advances in polymeric membranes for CO2 capture. Chin. J. Chem. Eng. 2018, 26, 2238–2254. [Google Scholar] [CrossRef]
- Liu, Y.; Zhao, G.; Tong, F.; Li, Z.; Wang, L.; Fang, C.; Lei, L.; Xu, Z. Sandwich-like multilayer hollow fiber carbon membranes for gas separations. J. Membr. Sci. 2025, 724, 123972. [Google Scholar] [CrossRef]
- Zhang, Y.; Yin, B.H.; Huang, L.; Ding, L.; Lei, S.; Telfer, S.G.; Caro, J.; Wang, H. MOF membranes for gas separations. Prog. Mater. Sci. 2025, 151, 101432. [Google Scholar] [CrossRef]
- Ge, C.; Sheng, M.; Yuan, Y.; Shi, F.; Yang, Y.; Zhao, S.; Wang, J.; Wang, Z. Recent advances of the interfacial polymerization process in gas separation membranes fabrication. J. Membr. Sci. 2023, 683, 121854. [Google Scholar] [CrossRef]
- Yang, H.-C.; Hou, J.; Chen, V.; Xu, Z.-K. Surface and interface engineering for organic–inorganic composite membranes. J. Mater. Chem. A 2016, 4, 9716–9729. [Google Scholar] [CrossRef]
- Seoane, B.; Coronas, J.; Gascon, I.; Benavides, M.E.; Karvan, O.; Caro, J.; Kapteijn, F.; Gascon, J. Metal–organic framework based mixed matrix membranes: A solution for highly efficient CO2 capture? Chem. Soc. Rev. 2015, 44, 2421–2454. [Google Scholar] [CrossRef] [PubMed]
- Dai, Z.; Noble, R.D.; Gin, D.L.; Zhang, X.; Deng, L. Combination of ionic liquids with membrane technology: A new approach for CO2 separation. J. Membr. Sci. 2016, 497, 1–20. [Google Scholar] [CrossRef]
- Cheng, Y.; Ying, Y.; Japip, S.; Jiang, S.-D.; Chung, T.-S.; Zhang, S.; Zhao, D. Advanced Porous Materials in Mixed Matrix Membranes. Adv. Mater. 2018, 30, 1802401. [Google Scholar] [CrossRef]
- Zhu, J.; Yuan, S.; Wang, J.; Zhang, Y.; Tian, M.; Van der Bruggen, B. Microporous organic polymer-based membranes for ultrafast molecular separations. Prog. Polym. Sci. 2020, 110, 101308. [Google Scholar] [CrossRef]
- Melone, L.; Brunetti, A.; Giorno, L.; Barone, M.; Barbieri, G. Trichloroethylene/Nitrogen Mixture Separation via membrane operations: Comparison with traditional technologies. Sep. Purif. Technol. 2020, 251, 117344. [Google Scholar] [CrossRef]
- Liu, J.; Fulong, C.R.P.; Hu, L.; Huang, L.; Zhang, G.; Cook, T.R.; Lin, H. Interpenetrating networks of mixed matrix materials comprising metal-organic polyhedra for membrane CO2 capture. J. Membr. Sci. 2020, 606, 118122. [Google Scholar] [CrossRef]
- Wang, Y.; Ghanem, B.S.; Han, Y.; Pinnau, I. State-of-the-art polymers of intrinsic microporosity for high-performance gas separation membranes. Curr. Opin. Chem. Eng. 2022, 35, 100755. [Google Scholar] [CrossRef]
- Zhao, S.; Liao, J.; Li, D.; Wang, X.; Li, N. Blending of compatible polymer of intrinsic microporosity (PIM-1) with Tröger’s Base polymer for gas separation membranes. J. Membr. Sci. 2018, 566, 77–86. [Google Scholar] [CrossRef]
- Feng, X.; Zhu, J.; Jin, J.; Wang, Y.; Zhang, Y.; Van der Bruggen, B. Polymers of intrinsic microporosity for membrane-based precise separations. Prog. Mater. Sci. 2024, 144, 101285. [Google Scholar] [CrossRef]
- Wang, A.; Zhao, M.; Weng, Y.; Zhang, C. Nonlinear learning-enhanced MLP-driven design of PIMs gas separation membranes beyond Robeson upper bounds. J. Membr. Sci. 2025, 730, 124172. [Google Scholar] [CrossRef]
- Xiao, Y.; Zhang, L.; Xu, L.; Chung, T.-S. Molecular design of Tröger’s base-based polymers with intrinsic microporosity for gas separation. J. Membr. Sci. 2017, 521, 65–72. [Google Scholar] [CrossRef]
- Carta, M.; Malpass-Evans, R.; Croad, M.; Rogan, Y.; Lee, M.; Rose, I.; McKeown, N.B. The synthesis of microporous polymers using Tröger’s base formation. Polym. Chem. 2014, 5, 5267–5272. [Google Scholar] [CrossRef]
- Wang, X.; Wu, L.; Li, N.; Fan, Y. Sealing Tröger base/ZIF-8 mixed matrix membranes defects for improved gas separation performance. J. Membr. Sci. 2021, 636, 119582. [Google Scholar] [CrossRef]
- Lei, X.; Zhang, Z.; Xiao, Y.; Yu, Q.; Liu, Y.; Ma, X.; Zhang, Q. Tröger’s Base Polyimide Membranes with Enhanced Mechanical Robustness for Gas Separation. Polymers 2025, 17, 524. [Google Scholar] [CrossRef]
- Sun, Y.; Bi, X.; Bai, L.; Li, T.; Fan, F.; Gao, Z.; Liu, Y.; Guan, J.; Sun, F.; Li, H.; et al. Mixed matrix membranes incorporating bromine functionalized UiO-66 in the Tröger’s base polymer for enhanced CO2 capture. Chem. Eng. Sci. 2025, 306, 121230. [Google Scholar] [CrossRef]
- Hu, X.; Lee, W.H.; Bae, J.Y.; Zhao, J.; Kim, J.S.; Wang, Z.; Yan, J.; Lee, Y.M. Highly permeable polyimides incorporating Tröger’s base (TB) units for gas separation membranes. J. Membr. Sci. 2020, 615, 118533. [Google Scholar] [CrossRef]
- Hu, X.; Lee, W.H.; Zhao, J.; Bae, J.Y.; Kim, J.S.; Wang, Z.; Yan, J.; Zhuang, Y.; Lee, Y.M. Tröger’s Base (TB)-containing polyimide membranes derived from bio-based dianhydrides for gas separations. J. Membr. Sci. 2020, 610, 118255. [Google Scholar] [CrossRef]
- Chen, Z.; Meng, X.; Fan, Y.; Li, N.; Wu, L.; Luo, S.; Xie, W.; Wang, C. Two morphology distinct fillers with chemical similarity incorporated into Tröger’ base polymers towards enhanced gas separation. J. Membr. Sci. 2023, 685, 121964. [Google Scholar] [CrossRef]
- Yue, J.; Hou, J.; Li, Y.; Yang, Y.; Han, L.; Sun, S.; Li, J. Branched Tröger’s base polymer membranes for gas separation. Polymer 2022, 262, 125437. [Google Scholar] [CrossRef]
- Yang, Z.; Guo, R.; Malpass-Evans, R.; Carta, M.; McKeown, N.B.; Guiver, M.D.; Wu, L.; Xu, T. Highly Conductive Anion-Exchange Membranes from Microporous Tröger’s Base Polymers. Angew. Chem. Int. Ed. 2016, 55, 11499–11502. [Google Scholar] [CrossRef]
- Swaidan, R.; Ghanem, B.; Pinnau, I. Fine-Tuned Intrinsically Ultramicroporous Polymers Redefine the Permeability/Selectivity Upper Bounds of Membrane-Based Air and Hydrogen Separations. ACS Macro Lett. 2015, 4, 947–951. [Google Scholar] [CrossRef]
- Wang, Z.; Wang, D.; Jin, J. Microporous Polyimides with Rationally Designed Chain Structure Achieving High Performance for Gas Separation. Macromolecules 2014, 47, 7477–7483. [Google Scholar] [CrossRef]
- Swaidan, R.; Al-Saeedi, M.; Ghanem, B.; Litwiller, E.; Pinnau, I. Rational Design of Intrinsically Ultramicroporous Polyimides Containing Bridgehead-Substituted Triptycene for Highly Selective and Permeable Gas Separation Membranes. Macromolecules 2014, 47, 5104–5114. [Google Scholar] [CrossRef]
- Rogan, Y.; Malpass-Evans, R.; Carta, M.; Lee, M.; Jansen, J.C.; Bernardo, P.; Clarizia, G.; Tocci, E.; Friess, K.; Lanč, M.; et al. A highly permeable polyimide with enhanced selectivity for membrane gas separations. J. Mater. Chem. A 2014, 2, 4874–4877. [Google Scholar] [CrossRef]
- Ghanem, B.S.; Swaidan, R.; Ma, X.; Litwiller, E.; Pinnau, I. Energy-Efficient Hydrogen Separation by AB-Type Ladder-Polymer Molecular Sieves. Adv. Mater. 2014, 26, 6696–6700. [Google Scholar] [CrossRef] [PubMed]
- Carta, M.; Croad, M.; Malpass-Evans, R.; Jansen, J.C.; Bernardo, P.; Clarizia, G.; Friess, K.; Lanč, M.; McKeown, N.B. Triptycene Induced Enhancement of Membrane Gas Selectivity for Microporous Tröger’s Base Polymers. Adv. Mater. 2014, 26, 3526–3531. [Google Scholar] [CrossRef]
- Carta, M.; Croad, M.; Jansen, J.C.; Bernardo, P.; Clarizia, G.; McKeown, N.B. Synthesis of cardo-polymers using Tröger’s base formation. Polym. Chem. 2014, 5, 5255–5261. [Google Scholar] [CrossRef]
- Wu, W.; Niu, H.; Lai, S.; Liu, C.; Zhou, L.; Huang, X. Synthesis, characterization, and gas separation properties of novel fluorinated co-polyimides with bulky side groups. Polymer 2022, 257, 125273. [Google Scholar] [CrossRef]
- Comesaña-Gándara, B.; Chen, J.; Bezzu, C.G.; Carta, M.; Rose, I.; Ferrari, M.-C.; Esposito, E.; Fuoco, A.; Jansen, J.C.; McKeown, N.B. Redefining the Robeson upper bounds for CO2/CH4 and CO2/N2 separations using a series of ultrapermeable benzotriptycene-based polymers of intrinsic microporosity. Energy Environ. Sci. 2019, 12, 2733–2740. [Google Scholar] [CrossRef]
- Bernardo, P.; Bazzarelli, F.; Tasselli, F.; Clarizia, G.; Mason, C.R.; Maynard-Atem, L.; Budd, P.M.; Lanč, M.; Pilnáček, K.; Vopička, O.; et al. Effect of physical aging on the gas transport and sorption in PIM-1 membranes. Polymer 2017, 113, 283–294. [Google Scholar] [CrossRef]
- Zheng, J.; Wang, C.; Jing, C.; Wu, Y.; Zhang, K.; Luo, S. Pentiptycene-based ladder polymers for membrane gas separation. React. Funct. Polym. 2025, 213, 106267. [Google Scholar] [CrossRef]
- Wang, Z.G.; Liu, X.; Wang, D.; Jin, J. Tröger’s base-based copolymers with intrinsic microporosity for CO2 separation and effect of Tröger’s base on separation performance. Polym. Chem. 2014, 5, 2793–2800. [Google Scholar] [CrossRef]
- Yuan, L.; Zhu, P.; Wang, Y.; Li, X.; Yang, Y.; Du, H.; Dong, X.; Wang, D. Gas transport properties of poly(ether-b-amide) segmented copolymers: The role of the degree of microphase separation in amorphous regions. J. Membr. Sci. 2024, 693, 122339. [Google Scholar] [CrossRef]
- Kim, K.J.; Chae, Y.; An, S.J.; Jo, J.H.; Park, S.; Chi, W.S. Microphase-separated morphology controlled polyimide graft copolymer membranes for CO2 separation. Sep. Purif. Technol. 2023, 304, 122315. [Google Scholar] [CrossRef]
- Sun, L.; Xu, W.; Zhang, H.; Chu, J.; Wang, M.; Song, K.; Wu, W.; Li, J.; Wang, Y.; Pinnau, I.; et al. In-Situ Formation of Three-Dimensional Network Intrinsic Microporous Ladder Polymer Membranes with Ultra-High Gas Separation Performance and Anti-Trade-Off Effect. Angew. Chem. Int. Ed. 2025, 64, e202420742. [Google Scholar] [CrossRef]
- Wu, C.; Wang, Z.; Liu, S.; Xie, Z.; Chen, H.; Lu, X. Simultaneous permeability, selectivity and antibacterial property improvement of PVC ultrafiltration membranes via in-situ quaternization. J. Membr. Sci. 2018, 548, 50–58. [Google Scholar] [CrossRef]
- Xu, Z.; Liao, J.; Tang, H.; Efome, J.E.; Li, N. Preparation and antifouling property improvement of Tröger’s base polymer ultrafiltration membrane. J. Membr. Sci. 2018, 561, 59–68. [Google Scholar] [CrossRef]
- Wang, A.; Liao, J.; Wu, X.; Meng, X.; Ma, J.; Peng, S.; Shen, Y.; Gao, C. PI@TB blend membranes containing amorphous carbon for gas separation. Sep. Purif. Technol. 2024, 329, 125105. [Google Scholar] [CrossRef]
- Chen, J.; Shen, C.; Gao, S. Polyepichlorohydrin grafted poly(phenylene oxide) to construct hydrophilic and hydrophobic microphase separation anion exchange membrane. React. Funct. Polym. 2024, 195, 105808. [Google Scholar] [CrossRef]
- Park, C.H.; Lee, J.H.; Jung, J.P.; Lee, W.; Ryu, D.Y.; Kim, J.H. Orientation of an Amphiphilic Copolymer to a Lamellar Structure on a Hydrophobic Surface and Implications for CO2 Capture Membranes. Angew. Chem. Int. Ed. 2018, 58, 1143–1147. [Google Scholar] [CrossRef]
- Sun, Y.; Gao, Z.; Bai, L.; Li, T.; Fan, F.; Sun, F.; Liu, Y.; Guan, J.; He, G.; Ma, C. Hydrogen-bond crosslinking of Tröger’s base polymer membranes for enhanced gas selectivity and plasticization resistance. J. Membr. Sci. 2025, 720, 123781. [Google Scholar] [CrossRef]
- Zhou, J.; Zhu, X.; Hu, J.; Liu, H.; Hu, Y.; Jiang, J. Mechanistic insight into highly efficient gas permeation and separation in a shape-persistent ladder polymer membrane. Phys. Chem. Chem. Phys. 2014, 16, 6075–6083. [Google Scholar] [CrossRef]
- Ghanem, B.; Alaslai, N.; Miao, X.; Pinnau, I. Novel 6FDA-based polyimides derived from sterically hindered Tröger’s base diamines: Synthesis and gas permeation properties. Polymer 2016, 96, 13–19. [Google Scholar] [CrossRef]
- Chen, X.; Zhang, Z.; Wu, L.; Fan, Y.; Tang, H.; Li, N. Hydrogen bonding-induced 6FDA-DABA/TB polymer blends for high performance gas separation membranes. J. Membr. Sci. 2022, 655, 120575. [Google Scholar] [CrossRef]
- Song, Y.-x.; Tang, A.; Zhang, J.-l.; Dong, J.; Zhao, X.; Zhang, Q.-h. Preparation of Thermally Rearranged Poly(benzoxazole-co-imide) Membranes Containing Tröger’s Base Structure and Their Gas Separation Performances. Acta Polym. Sin. 2025, 56, 1358–1368. [Google Scholar] [CrossRef]
- Hu, X.; Miao, J.; Pang, Y.; Zhao, J.; Lu, Y.; Guo, H.; Wang, Z.; Yan, J. Synthesis, microstructures, and gas separation performance of norbornyl bis-benzocyclobutene-Troger’s base polymers derived from pure regioisomers. Polym. Chem. 2022, 13, 2842–2849. [Google Scholar] [CrossRef]
- Tsegay Tikue, E.; Kyung Kang, S.; Ha Kim, M.; Chul Kwak, W.; An, I.; Yang, S.; Kim, J.-H.; Soo Lee, P. Mixed matrix membrane based on DOCDA polyimide with twisted kink structure and zeolite 4A for energy-efficient oxygen purification. J. Ind. Eng. Chem. 2024, 130, 612–622. [Google Scholar] [CrossRef]
- Liu, L.; Qiu, W.; Sanders, E.S.; Ma, C.; Koros, W.J. Post-combustion carbon dioxide capture via 6FDA/BPDA-DAM hollow fiber membranes at sub-ambient temperatures. J. Membr. Sci. 2016, 510, 447–454. [Google Scholar] [CrossRef]















| Membrane | ρ0 (g/cm3) | ρ (g/cm3) | FFV |
|---|---|---|---|
| QTB-C2-70% | 1.25 | 1.05 | 0.16 |
| QTB-C4-70% | 1.19 | 0.99 | 0.17 |
| QTB-C6-70% | 1.23 | 1.06 | 0.14 |
| QTB-C8-70% | 1.20 | 1.07 | 0.11 |
| QTB-C10-70% | 1.17 | 1.09 | 0.07 |
| QTB-C4-30% | 1.18 | 1.09 | 0.08 |
| QTB-C4-50% | 1.16 | 1.01 | 0.13 |
| QTB-C4-70% | 1.19 | 0.99 | 0.17 |
| QTB-C4-90% | 1.20 | 1.08 | 0.10 |
| Membrane | Permeability | Selectivity | Refer. | |
|---|---|---|---|---|
| N2 | O2 | O2/N2 | ||
| QTB-C4-70% | 16.2 | 70.6 | 4.4 | This work |
| TB (10.0 wt%) | 2.8 | 27.9 | 10.0 | [53] |
| PI/TB | 4.4 | 21.3 | 4.8 | [54] |
| PIM-PI-TB-2 | 34.0 | 123.0 | 3.6 | [55] |
| PI@Trip-TB (1:10) | 5.6 | 36.2 | 6.5 | [56] |
| 6FTB3-TR450 | 15.0 | 52.0 | 3.5 | [57] |
| PI-TB-5 | 1.9 | 4.9 | 2.6 | [58] |
| CoPI-TB-6 | 16.0 | 73.0 | 4.6 | [58] |
| Matrimid® 5218 | 2.1 | 13.0 | 6.2 | [59] |
| DOCDA | 1.3 | 8.7 | 6.7 | [59] |
Disclaimer/Publisher’s Note: The statements, opinions and data contained in all publications are solely those of the individual author(s) and contributor(s) and not of MDPI and/or the editor(s). MDPI and/or the editor(s) disclaim responsibility for any injury to people or property resulting from any ideas, methods, instructions or products referred to in the content. |
© 2025 by the authors. Licensee MDPI, Basel, Switzerland. This article is an open access article distributed under the terms and conditions of the Creative Commons Attribution (CC BY) license.
Share and Cite
Yang, C.; Zhou, L.; Zhang, Q.; Huang, Y.; Zhang, P.; Xue, J.; Li, Q.; Sun, W.; Liao, J. Fabrication of Microphase-Separated Tröger’s Base Polymer Membranes for Oxygen Enrichment. Membranes 2026, 16, 9. https://doi.org/10.3390/membranes16010009
Yang C, Zhou L, Zhang Q, Huang Y, Zhang P, Xue J, Li Q, Sun W, Liao J. Fabrication of Microphase-Separated Tröger’s Base Polymer Membranes for Oxygen Enrichment. Membranes. 2026; 16(1):9. https://doi.org/10.3390/membranes16010009
Chicago/Turabian StyleYang, Chaoyue, Li Zhou, Qian Zhang, Ya Huang, Peixiao Zhang, Jingwen Xue, Qing Li, Weijie Sun, and Jiayou Liao. 2026. "Fabrication of Microphase-Separated Tröger’s Base Polymer Membranes for Oxygen Enrichment" Membranes 16, no. 1: 9. https://doi.org/10.3390/membranes16010009
APA StyleYang, C., Zhou, L., Zhang, Q., Huang, Y., Zhang, P., Xue, J., Li, Q., Sun, W., & Liao, J. (2026). Fabrication of Microphase-Separated Tröger’s Base Polymer Membranes for Oxygen Enrichment. Membranes, 16(1), 9. https://doi.org/10.3390/membranes16010009

