Proton-Blocking Anion-Exchange Membranes for Efficient Lithium Hydroxide Recovery by Bipolar Membrane Electrodialysis
Abstract
1. Introduction
2. Materials and Methods
2.1. Materials
2.2. Preparation of Surface Modified Membranes
2.2.1. Preparation of Pore-Filled AEM
2.2.2. Bromination of PPO
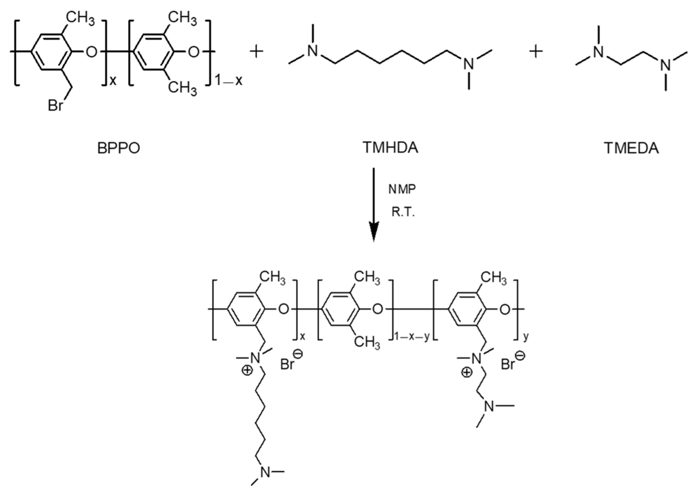
2.2.3. Reaction of BPPO and Diamines
2.2.4. Fabrication of Composite Membranes
2.3. Membrane Characterizations
2.4. Proton-Blocking Performance Evaluation Test
2.5. BPED Performance Evaluation

| Electrode | Pt@Ti plates (area = 15 cm2) |
| Electrode solution | 1.0 M LiOH (250 mL) |
| Feed solution | 0.1 M H2SO4 (acid, 200 mL) 0.1 M LiOH (base, 200 mL) 0.91 M Li2SO4 (salt, 200 mL) |
| Gasket | 1 mm-thick silicon |
| Spacer | 1 mm thick |
| Flow rate | 20 mL min−1 |
| Cell pairs | 3 cell pairs |
3. Results and Discussion


| Samples | TMHDA(C6):TMEDA(C2) | ||||
|---|---|---|---|---|---|
| 10:0 | 9:1 | 7:3 | 5:5 | 0:10 | |
| d-spacing (Å) | 4.08 | 4.05 | 4.03 | 4.02 | 3.98 |
4. Conclusions
Supplementary Materials
Author Contributions
Funding
Institutional Review Board Statement
Informed Consent Statement
Data Availability Statement
Conflicts of Interest
References
- Liu, C.; Lin, J.; Cao, H.; Zhang, Y.; Sun, Z. Recycling of spent lithium-ion batteries in view of lithium recovery: A critical review. J. Clean. Prod. 2019, 228, 801–813. [Google Scholar] [CrossRef]
- Hwang, C.W.; Jeong, M.H.; Kim, Y.J.; Son, W.K.; Kang, K.S.; Lee, C.S.; Hwang, T.S. Process design for lithium recovery using bipolar membrane electrodialysis system. Sep. Purif. Technol. 2016, 166, 34–40. [Google Scholar] [CrossRef]
- Zhao, Y.; Wang, H.; Li, Y.; Wang, M.; Xiang, X. An integrated membrane process for preparation of lithium hydroxide from high Mg/Li ratio salt lake brine. Desalination 2020, 493, 114620–114633. [Google Scholar] [CrossRef]
- Chen, X.; Ruan, X.; Kentish, S.E.; Li, G.; Xu, T.; Chen, G.Q. Production of lithium hydroxide by electrodialysis with bipolar membranes. Sep. Purif. Technol. 2021, 274, 119026–119035. [Google Scholar] [CrossRef]
- Bunani, S.; Arda, M.; Kabay, N.; Yoshizuka, K.; Nishihama, S. Effect of process conditions on recovery of lithium and boron from water using bipolar membrane electrodialysis (BMED). Desalination 2017, 416, 10–15. [Google Scholar] [CrossRef]
- İpekçi, D.; Altıok, E.; Bunani, S.; Yoshizuka, K.; Nishihama, S.; Arda, M.; Kabay, N. Effect of acid-base solutions used in acid-base compartments for simultaneous recovery of lithium and boron from aqueous solution using bipolar membrane electrodialysis (BMED). Desalination 2018, 448, 69–75. [Google Scholar] [CrossRef]
- Wei, X.; Gao, W.; Wang, Y.; Wu, K.; Xu, T. A green and economical method for preparing lithium hydroxide from lithium phosphate. Sep. Purif. Technol. 2022, 280, 119909–119917. [Google Scholar] [CrossRef]
- Jarma, Y.A.; Çermikli, E.; Ipekçi, D.; Altıok, E.; Kabay, N. Comparison of two electrodialysis stacks having different ion exchange and bipolar membranes for simultaneous separation of boron and lithium from aqueous solution. Desalination 2021, 500, 114850–114860. [Google Scholar] [CrossRef]
- Yan, H.; Li, W.; Zhou, Y.; Irfan, M.; Wang, Y.; Jiang, C.; Xu, T. In-situ combination of bipolar membrane electrodialysis with monovalent selective anion-exchange membrane for the valorization of mixed salts into relatively high-purity monoprotic and diprotic acids. Membranes 2020, 10, 135. [Google Scholar] [CrossRef]
- Chen, X.; Chen, G.Q.; Wang, Q.; Xu, T.; Kentish, S.E. Transforming salty whey into cleaning chemicals using electrodialysis with bipolar membranes. Desalination 2020, 492, 114598–114608. [Google Scholar] [CrossRef]
- Li, F.-R.; Jia, Y.-X.; Guo, R.-Q.; Wang, M. Preparation of composite anion-exchange membrane with acid-blocking performance for brine reclamation by bipolar membrane electrodialysis. Sep. Purif. Technol. 2021, 254, 117587–117596. [Google Scholar] [CrossRef]
- Guo, R.-Q.; Wang, B.-B.; Jia, Y.-X.; Wang, M. Development of acid block anion exchange membrane by structure design and its possible application in waste acid recovery. Sep. Purif. Technol. 2017, 186, 188–196. [Google Scholar] [CrossRef]
- Bai, T.; Wang, M.; Zhang, B.; Jia, Y.; Chen, Y. Anion-exchange membrane with ion-nanochannels to beat trade-off between membrane conductivity and acid blocking performance for waste acid reclamation. J. Membr. Sci. 2019, 573, 657–667. [Google Scholar] [CrossRef]
- Xie, R.; Ning, P.; Qu, G.; Deng, J.; Li, Z.; Li, Z.; Li, J. Preparation of proton block and highly conductive AEM by creating PANI dominated and hydrophobicity ion channels for sulfuric acid enrichment. Polym. Adv. Technol. 2021, 32, 2131–2141. [Google Scholar] [CrossRef]
- Bai, T.-T.; Cong, M.-Y.; Jia, Y.-X.; Ma, K.-K.; Wang, M. Preparation of self-crosslinking anion exchange membrane with acid block performance from side-chain type polysulfone. J. Membr. Sci. 2020, 599, 117831–117842. [Google Scholar] [CrossRef]
- Zhang, N.; Liu, Y.; Liu, R.; She, Z.; Tan, M.; Mao, D.; Fu, R.; Zhang, Y. Polymer inclusion membrane (PIM) containing ionic liquid as a proton blocker to improve waste acid recovery efficiency in electrodialysis process. J. Membr. Sci. 2019, 581, 18–27. [Google Scholar] [CrossRef]
- Wang, L.; Lia, Z.; Xu, Z.; Zhang, F.; Efome, J.E.; Li, N. Proton blockage membrane with tertiary amine groups for concentration of sulfonic acid in electrodialysis. J. Membr. Sci. 2018, 555, 78–87. [Google Scholar] [CrossRef]
- Cong, M.-Y.; Jia, Y.-X.; Wang, H.; Wang, M. Preparation of acid block anion exchange membrane with quaternary ammonium groups by homogeneous amination for electrodialysis-based acid enrichment. Sep. Purif. Technol. 2020, 238, 116396–116406. [Google Scholar] [CrossRef]
- Liao, J.; Ruan, H.; Gao, X.; Chen, Q.; Shen, J. Exploring the acid enrichment application of piperidinium-functionalized cross-linked poly(2,6-dimethyl-1,4-phenylene oxide) anion exchange membranes in electrodialysis. J. Membr. Sci. 2021, 621, 118999–119011. [Google Scholar] [CrossRef]
- He, H.; Chen, Q.; Fu, R.; Liu, Z.; Ge, L.; Xu, T. Side chain crosslinked anion exchange membrane for acid concentration by electrodialysis. Chem Bio Eng. 2024, 1, 647–657. [Google Scholar] [CrossRef]
- Jang, S.; Woo, J.-J.; Cha, J.-E.; Choi, Y.-W.; Kim, J. A polymeric structural approach to improving proton-blocking performance in anion exchange membranes for electrochemical systems. Desalination 2024, 586, 117888–117897. [Google Scholar] [CrossRef]
- Liu, Q.; Li, J.; He, H.; Yuan, C.; Lu, X.; Ma, X.; Si, J.; Li, X.; Wang, J.; Luo, T.; et al. Hierarchically crosslinked anion exchange membranes for acid recovery by electrodialysis. Sep. Purif. Technol. 2025, 364, 132524–132533. [Google Scholar] [CrossRef]
- Ruan, H.; Lin, Z.; Gao, S.; Liao, J.; Sotto, A.; Yao, Y.; Xu, Z.; Shen, J.; Ang, E.H. Grafting bis-siloxane anion-exchange membranes: Investigating sulfuric acid concentration and solvent resistance. J. Membr. Sci. 2025, 718, 123684–123694. [Google Scholar] [CrossRef]
- Lee, J.-H.; Kim, D.-H.; Kang, M.-S. Surface-modified pore-filled anion-exchange membranes for efficient energy harvesting via reverse electrodialysis. Membranes 2023, 13, 894. [Google Scholar] [CrossRef] [PubMed]
- Feng, J.; Chen, J.; Wei, B.; Liao, S.; Yu, Y.; Li, X. Series-connected hexacations cross-linked anion exchange membranes for diffusion dialysis in acid recovery. J. Membr. Sci. 2019, 570–571, 120–129. [Google Scholar] [CrossRef]
- McNair, R.; Cseri, L.; Szekely, G.; Dryfe, R. Asymmetric membrane capacitive deionization using anion-exchange mem-branes based on quaternized polymer blends. ACS Appl. Polym. Mater. 2020, 2, 2946–2956. [Google Scholar] [CrossRef] [PubMed]
- Kang, M.-S.; Choi, Y.-J.; Moon, S.-H. Water-swollen cation-exchange membranes pre-pared using poly (vinyl alcohol)(PVA)/poly (styrene sulfonic acid-co-maleic acid)(PSSA-MA). J. Membr. Sci. 2002, 207, 157–170. [Google Scholar] [CrossRef]
- Choi, J.-H.; Moon, S.-H. Pore size characterization of cation-exchange membranes by chronopotentiometry using homologous amine ions. J. Membr. Sci. 2001, 191, 225–236. [Google Scholar] [CrossRef]
- Miao, Y.; Jia, Y.; Guo, R.; Wang, M. Heterogeneous anion-exchange membrane: Influences of charged binders with cross-linking structure on electrodialytic performance. J. Membr. Sci. 2018, 557, 67–75. [Google Scholar] [CrossRef]
- Kim, D.-H.; Kang, M.-S. Improvement of capacitive deionization performance by coating quaternized poly(phenylene oxide). Membr. J. 2014, 24, 332–339. [Google Scholar]
- Kim, D.-H.; Park, H.-S.; Seo, S.-J.; Park, J.-S.; Moon, S.-H.; Choi, Y.-W.; Jiong, Y.S.; Kim, D.H.; Kang, M.-S. Facile surface modification of anion-exchange membranes for improvement of diffusion dialysis performance. J. Colloid Interface Sci. 2014, 416, 19–24. [Google Scholar] [CrossRef]
- Zhao, Y.; Xiang, X.; Wang, M.; Wang, H.; Li, Y.; Li, J.; Yang, H. Preparation of LiOH through BMED process from lithium-containing solutions: Effects of coexisting ions and competition between Na+ and Li+. Desalination 2021, 512, 115126. [Google Scholar] [CrossRef]
- Song, H.-B.; Kang, M.-S. Bipolar membranes containing iron-based catalysts for efficient water-splitting electrodialysis. Membranes 2022, 12, 1201. [Google Scholar] [CrossRef]
- Wang, X.; Zhang, X.; Wu, C.; Han, X.; Xu, C. Anion exchange membranes with excellent monovalent anion perm-selectivity for electrodialysis applications. Chem. Eng. Res. Des. 2020, 158, 24–32. [Google Scholar] [CrossRef]
- Long, C.; Zhao, T.; Tian, L.; Liu, Q.; Wang, F.; Wang, Z.; Zhu, H. Highly stable and conductive multicationic poly(biphenyl indole) with extender side chains for anion exchange membrane fuel cells. ACS Appl. Energy Mater. 2021, 4, 6154–6165. [Google Scholar] [CrossRef]
- Gopi, K.H.; Peera, S.G.; Bhat, S.D.; Sridhar, P.; Pitchumani, S. Preparation and characterization of quaternary ammonium functionalized poly(2,6-dimethyl-1,4-phenylene oxide) as anion exchange membrane for alkaline polymer electrolyte fuel cells. Int. J. Hydrogen Energy 2014, 39, 2659–2668. [Google Scholar] [CrossRef]
- Liang, X.; Ge, X.; He, Y.; Xu, M.; Shehzad, M.A.; Sheng, F.; Bance-Soualhi, R.; Zhang, J.; Yu, W.; Ge, Z.; et al. 3D-zipped interface: In situ covalent-locking for high performance of anion exchange membrane fuel cells. Adv. Sci. 2021, 8, 2102637–2102647. [Google Scholar] [CrossRef]
- Khan, M.I.; Khraisheh, M.; AlMomani, F. Inovative BPPO anion exchange membranes formulation using diffusion dialysis-enhanced acid regeneration system. Membranes 2021, 11, 311. [Google Scholar] [CrossRef] [PubMed]
- Upadhyay, P.; Mishra, S.; Suhag, S.; Kulshrestha, V. Influence of quaternary ammonium moieties on poly(phenylene oxide) based anion exchange membranes for acid reclamation by diffusion dialysis. Next Mater. 2025, 9, 100937–100945. [Google Scholar] [CrossRef]
- Artyushkova, K. Misconceptions in interpretation of nitrogen chemistry from x-ray photoelectron spectra. J. Vac. Sci. Technol. A 2020, 38, 31002–31010. [Google Scholar] [CrossRef]
- Huang, C.-J.; Chang, Y.-C. In situ surface tailoring with zwitterionic carboxybetaine moieties on self-assembled thin film for antifouling biointerfaces. Materials 2014, 7, 130–142. [Google Scholar] [CrossRef]
- Quan, W.; Wang, X.; Song, C. Selective removal of H2S from bio-gas using solid amine-based “Molecular Basket” sorbent. Energy Fuels 2017, 31, 9517–9528. [Google Scholar] [CrossRef]
- Ariza, M.J.; Rodríguez-Castellón, E.; Rico, R.; Benavente, J.; Muñoz, M.; Oleinikova, M. X-ray photoelectron spectroscopy analysis of di-(2-ethylhexyl) phosphoric acid activated membranes. J. Colloid Interface Sci. 2000, 226, 151–158. [Google Scholar] [CrossRef]
- Komkova, E.N.; Stamatialis, D.F.; Strathmann, H.; Wessling, M. Anion-exchange membranes containing diamines: Preparation and stability in alkaline solution. J. Membr. Sci. 2004, 244, 25–34. [Google Scholar] [CrossRef]
- Zhang, S.; Li, C.; Xie, X.; Zhang, F. Novel cross-linked anion exchange membranes with diamines as ionic exchange functional groups and crosslinking groups. Int. J. Hydrogen Energy 2014, 39, 13718–13724. [Google Scholar] [CrossRef]
- Koronka, D.; Mahmoud, A.M.A.; Miyatake, K. Effect of crosslinking on the properties of partially fluorinated anion exchange membranes. J. Polym. Sci. Part A Polym. Chem. 2019, 57, 1059–1069. [Google Scholar] [CrossRef]
- Hu, C.; Zhang, Q.; Wu, H.; Deng, X.; Yang, Q.; Liu, P.; Hong, Y.; Zhu, A.; Liu, Q. Dual hydrophobic modifications toward anion exchange membranes with both high ion conductivity and excellent dimensional stability. J. Membr. Sci. 2020, 595, 117521. [Google Scholar] [CrossRef]
- Lee, H.R.; Lee, J.M.; Nam, S.Y. Gas transport properties of crosslinked polyimide membranes induced by aliphatic diamines with different chain length. Membr. J. 2013, 23, 450–459. [Google Scholar] [CrossRef]
- Dang, H.-S.; Weiber, E.A.; Jannasch, P. Poly(phenylene oxide) functionalized with quaternary ammonium groups via flexible alkyl spacers for high-performance anion exchange membranes. J. Mater. Chem. A 2015, 3, 5280–5284. [Google Scholar] [CrossRef]








| Membrane | ER (Ω·cm2) | t− (−) | IEC (meq. g−1) | WU (%) | |
|---|---|---|---|---|---|
| 0.5 M NaCl | 0.5 M HCl | ||||
| ACM (Astom) | 53.1 ± 3.85 | 1.87 ± 0.008 | 0.963 | 0.61 ± 0.04 | 8.91 ± 0.06 |
| PFAEM | 0.720 ± 0.01 | 0.39 ± 0.003 | 0.979 | 1.80 ± 0.08 | 16.5 ± 0.93 |
| PPO-TMEDA(C2) | 4.56 ± 0.62 | 1.30 ± 0.22 | 0.974 | 2.03 ± 0.14 | 18.0 ± 1.98 |
| PPO-TMPDA(C3) | 3.10 ± 0.53 | 1.10 ± 0.28 | 0.969 | 1.99 ± 0.13 | 12.2 ± 0.92 |
| PPO-TMHDA(C6) | 2.15 ± 0.11 | 0.93 ± 0.09 | 0.967 | 1.92 ± 0.05 | 12.0 ± 1.10 |
| Membrane | Energy Consumption (kWh kgLiOH−1) | Production Rate (kg m−2h−1) | Recovered Quantity (mmol) |
|---|---|---|---|
| ACM (Astom) | 7.06 | 0.314 | 29.4 |
| TMHDA:TMEDA = 9:1 | 5.85 | 0.425 | 39.7 |
Disclaimer/Publisher’s Note: The statements, opinions and data contained in all publications are solely those of the individual author(s) and contributor(s) and not of MDPI and/or the editor(s). MDPI and/or the editor(s) disclaim responsibility for any injury to people or property resulting from any ideas, methods, instructions or products referred to in the content. |
© 2025 by the authors. Licensee MDPI, Basel, Switzerland. This article is an open access article distributed under the terms and conditions of the Creative Commons Attribution (CC BY) license.
Share and Cite
Lee, J.-H.; Kang, M.-S. Proton-Blocking Anion-Exchange Membranes for Efficient Lithium Hydroxide Recovery by Bipolar Membrane Electrodialysis. Membranes 2026, 16, 8. https://doi.org/10.3390/membranes16010008
Lee J-H, Kang M-S. Proton-Blocking Anion-Exchange Membranes for Efficient Lithium Hydroxide Recovery by Bipolar Membrane Electrodialysis. Membranes. 2026; 16(1):8. https://doi.org/10.3390/membranes16010008
Chicago/Turabian StyleLee, Ji-Hyeon, and Moon-Sung Kang. 2026. "Proton-Blocking Anion-Exchange Membranes for Efficient Lithium Hydroxide Recovery by Bipolar Membrane Electrodialysis" Membranes 16, no. 1: 8. https://doi.org/10.3390/membranes16010008
APA StyleLee, J.-H., & Kang, M.-S. (2026). Proton-Blocking Anion-Exchange Membranes for Efficient Lithium Hydroxide Recovery by Bipolar Membrane Electrodialysis. Membranes, 16(1), 8. https://doi.org/10.3390/membranes16010008

