Membrane Separation for the Treatment of LiBr + LiCl Brines and Their Application
Abstract
1. Introduction
2. Materials and Methods
2.1. Membrane Device Description
2.2. Experimental Setup
2.3. Experimental Operating Conditions
3. Results
3.1. Operation Temperatures
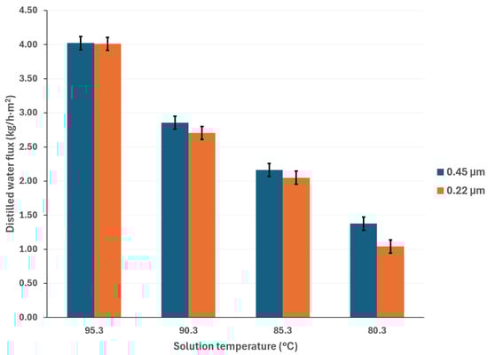
3.2. Membrane Pore Size
3.3. Salt Concentration
3.4. Comparison with Respect to the Conventional H2O/LiBr and H2O/LiCl Solutions
4. Conclusions
Author Contributions
Funding
Data Availability Statement
Acknowledgments
Conflicts of Interest
Abbreviations
| AGMD | Air Gap Membrane Distillation |
| CFCs | Chlorofluorocarbons |
| COP | Coefficient of Performance |
| HCFCs | Hydrochlorofluorocarbons |
| LEP | Liquid Entry Pressure |
| MD | Membrane Distillation |
| PHE | Plate Heat Exchanger |
| PP | Polypropylene |
| PVDF | Polyvinylidene difluoride |
| RO | Reverse Osmosis |
| RTD | Resistance Temperature Detector |
| LiBr | Lithium Bromide |
| LiCl | Lithium Chloride |
References
- Amin, M. Hybrid Thermally Driven Sorption–Ejector Systems: A Comprehensive Overview. Arab. J. Sci. Eng. 2023, 48, 11211–11235. [Google Scholar] [CrossRef]
- Izquierdo, M.; Venegas, M.; Rodríguez, P.; Lecuona, A. Crystallization as a limit to develop solar air-cooled LiBr–H2O absorption systems using low-grade heat. Sol. Energy Mater. Sol. Cells 2004, 81, 205–216. [Google Scholar] [CrossRef]
- Królikowska, M.; Nedzi, F. Experimental data on the physicochemical and thermodynamic properties of the aqueous lithium bromide modified by the addition of lithium salt. J. Chem. Thermodyn. 2021, 161, 106514. [Google Scholar] [CrossRef]
- Kim, J.-S.; Park, Y.; Lee, H.J. Solubilities and Vapor Pressures of the Water + Lithium Bromide + Ethanolamine System. Chem. Eng. Data 1996, 41, 279–281. [Google Scholar] [CrossRef]
- Donate, M.; Rodriguez, L.; De Lucas, A.; Rodríguez, J.F. Thermodynamic evaluation of new absorbent mixtures of lithium bromide and organic salts for absorption refrigeration machines. Int. J. Refrig. 2006, 29, 30–35. [Google Scholar] [CrossRef]
- Królikowska, M.; Romańska, K.; Paduszyński, K.; Skonieczny, M. The study on the influence of glycols on the vapor pressure, density and dynamic viscosity of lithium bromide aqueous solution. Fluid Phase Equilib. 2020, 519, 112640. [Google Scholar] [CrossRef]
- Królikowska, M.; Romańska, K. The experimental study on the influence of crown ethers and glycols on the mutual solubility of lithium bromide in water. Fluid Phase Equilib. 2019, 483, 175–181. [Google Scholar] [CrossRef]
- Inada, T.; Tomita, H.; Takemura, F.; Tsubouchi, O.; Hihara, E. Crystallization temperature, vapor pressure, density and viscosity of lithium bromide + lithium iodide + ethylene glycol + water system for absorption refrigerators for automotive use. Int. J. Refrig. 2019, 100, 274–283. [Google Scholar] [CrossRef]
- Rivera, W.; Cerezo, J. Experimental study of the use of additives in the performance of a single-stage heat transformer operating with water–lithium bromide. Int. J. Energy Res. 2005, 29, 121–130. [Google Scholar] [CrossRef]
- Rivera, W.; Romero, R.J.; Best, R.; Heard, C.L. Experimental evaluation of a single-stage heat transformer operating with the water/CarrolTM mixture. Energy 1999, 24, 317–326. [Google Scholar] [CrossRef]
- Królikowska, M.; Skonieczny, M.; Paduszyński, K.; Zawadzki, M. Vapor pressure and physicochemical properties of {libr + IL-based additive + water} mixtures: Experimental data and COSMO-RS predictions. J. Solut. Chem. 2021, 50, 473–502. [Google Scholar] [CrossRef]
- Xuan, Y.; Fang, K.; Duan, B.; Gao, N.; Chen, G. Vapor pressure measurement of ternary systems LiBr + [Emim]I + H2O and LiBr + [Dmim]I + H2O. J. Chem. Eng. Data 2020, 65, 487–494. [Google Scholar] [CrossRef]
- Yang, D.; Zhu, Y.; Liu, S.; Lv, H.; Luo, C. Thermodynamic Properties of a Ternary AHP Working Pair: Lithium Bromide + 1Ethyl-3-methylimidazolium Chloride + H2O. J. Chem. Eng. Data 2019, 64, 574–583. [Google Scholar] [CrossRef]
- Bourouis, M.; Vallès, M.; Medrano, M.; Coronas, A. Performance of air-cooled absorption air-conditioning systems working with water-(LiBr + LiI + LiNO3 + LiCl). Proc. Inst. Mech. Eng. J. Process Mech. Eng. Part E 2005, 219, 205–213. [Google Scholar] [CrossRef]
- Salavera, D.; Esteve, X.; Patil, K.R.; Mainar, A.M.; Coronas, A. Solubility, heat capacity, and density of Lithium Bromide + Lithium Iodide + Lithium Nitrate + Lithium Chloride Aqueous Solutions at Several Compositions and Temperatures. J. Chem. Eng. Data 2004, 49, 613–619. [Google Scholar] [CrossRef]
- Saravanan, R.; Maiya, M.P. Thermodynamic comparison of water-based working fluid combinations for a vapour absorption refrigeration system. Appl. Therm. Eng. 1998, 18, 553–568. [Google Scholar] [CrossRef]
- Lee, H.R.; Koo, K.K.; Jeong, S.; Kim, J.S.; Lee, H.; Oh, Y.S. Thermodynamic design data and performance evaluation of the H2O + LiBr + lithium iodide + lithium nitrate + lithium chloride system for absorption chiller. Appl. Therm. Eng. 2000, 20, 707–720. [Google Scholar] [CrossRef]
- Parham, K.; Atikol, U.; Yari, M.; Agboola, O.P. Evaluation and Optimization of Single Stage Absorption Chiller Using (LiCl + H2O) as the Working Pair. Adv. Mech. Eng. 2013, 5, 683157. [Google Scholar] [CrossRef]
- Patil, K.R.; Kim, M.N.; Eisa, M.A.R.; Holland, F.A. Experimental evaluation of aqueous lithium halides as single- and double-salt systems in absorption heat-pumps. Appl. Energy 1989, 34, 99–111. [Google Scholar] [CrossRef]
- Grover, G.S.; Devotta, S.; Holland, F.A. Performance of an experimental absorption cooler using aqueous LiCl and LiCl/LiBr solutions. Ind. Eng. Chem. Res. 1989, 28, 250–253. [Google Scholar] [CrossRef]
- Pataskar, S.G.; Adyanthaya, S.D.; Devotta, S.; Holland, F.A. Performance of an experimental absorption heat transformer using aqueous LiBr, LiCl, and LiBr/LiCl solutions. Ind. Eng. Chem. Res. 1990, 29, 1658–1662. [Google Scholar] [CrossRef]
- Arabi, M.; Dehghani, M.R. Measurement of solubility and density of water + lithium bromide + lithium chloride and water + lithium bromide + sodium formate systems. Int. J. Refrig. 2015, 56, 99–104. [Google Scholar] [CrossRef]
- Aktemur, C.; öztürk, İ.T. Energetic and exergetic analysis of a solar-driven single-effect absorption refrigeration system using LiBr + LiCl/H2O solution mixture. ASME J. Sol. Energy Eng. 2022, 144, 061007. [Google Scholar] [CrossRef]
- Aktemur, C.; öztürk, İ.T. Thermodynamic optimization of utilization of LiBr + LiCl/H2O solution mixture on a single-effect absorption chiller driven by solar energy. ASME J. Sol. Energy Eng. 2023, 145, 051003. [Google Scholar] [CrossRef]
- Asfand, F.; Bourouis, M. A review of membrane contactors applied in absorption refrigeration systems. Renew. Sustain. Energy Rev. 2015, 45, 173–191. [Google Scholar] [CrossRef]
- Wu, W.; Li, X.; You, T.; Wang, B.; Shi, W. Combining ground source absorption heat pump with ground source electrical heat pump for thermal balance, higher efficiency and better economy in cold regions. Renew. Energy 2015, 84, 74–88. [Google Scholar] [CrossRef]
- Zhai, C.; Wu, W.; Coronas, A. Membrane-based absorption cooling and heating: Development and perspectives. Renew. Energy 2021, 177, 663–688. [Google Scholar] [CrossRef]
- Ibarra-Bahena, J.; Raman, S.; Galindo-Luna, Y.R.; Rodríguez-Martínez, A.; Rivera, W. Role of membrane technology in absorption heat pumps: A comprehensive review. Membranes 2020, 10, 216. [Google Scholar] [CrossRef] [PubMed]
- Sui, Z.; Wu, W. A comprehensive review of membrane-based absorbers/desorbers towards compact and efficient absorption refrigeration systems. Renew. Energy 2022, 201, 563–593. [Google Scholar] [CrossRef]
- Ibarra-Bahena, J.; Rivera, W.; Nanco-Mejía, S.D.; Romero, R.J.; Venegas-Reyes, E.; Dehesa-Carrasco, U. Experimental performance of a membrane desorber operating under simulated warm weather condensation temperatures. Membranes 2021, 11, 474. [Google Scholar] [CrossRef] [PubMed]
- Ibarra-Bahena, J.; Dehesa-Carrasco, U.; Galindo-Luna, Y.R.; Medina-Caballero, I.L.; Rivera, W. Experimental performance of a membrane desorber with a H2O/LiCl mixture for absorption chiller applications. Membranes 2022, 12, 1184. [Google Scholar] [CrossRef] [PubMed]
- He, K.; Hwang, H.J.; Moon, I.S. Air gap membrane distillation on the different types of membrane. Korean J. Chem. Eng. 2011, 28, 770–777. [Google Scholar] [CrossRef]
- Atmaca, I.; Yigit, A. Simulation of solar-powered absorption cooling system. Renew. Energy 2003, 28, 1277–1293. [Google Scholar] [CrossRef]
- Usman, H.S.; Touati, K.; Rahaman, M.S. An economic evaluation of renewable energy-powered membrane distillation for desalination of brackish water. Renew. Energy 2021, 169, 1294–1304. [Google Scholar] [CrossRef]
- Alklaibi, A.M.; Lior, N. Transport analysis of air-gap membrane distillation. J. Membr. Sci. 2005, 255, 239–253. [Google Scholar] [CrossRef]
- Liu, Z.; Gao, Q.; Lu, X.; Zhao, L.; Wu, S.; Ma, Z.; Zhang, H. Study on the performance of double-pipe air gap membrane distillation module. Desalination 2016, 396, 48–56. [Google Scholar] [CrossRef]
- Ibarra-Bahena, J.; Dehesa-Carrasco, U.; Romero, R.; Rivas-Herrera, B.; Rivera, W. Experimental assessment of a hydrophobic membrane-based desorber/condenser with H2O/LiBr mixture for absorption systems. Exp. Therm. Fluid Sci. 2017, 88, 145–159. [Google Scholar] [CrossRef]
- Eykens, L.; Reyns, T.; De Sitter, K.; Dotremont, C.; Pinoy, L.; Van der Bruggen, B. How to select a membrane distillation configuration? Process conditions and membrane influence unraveled. Desalination 2016, 399, 105–115. [Google Scholar] [CrossRef]
- Geng, H.; He, Q.; Wu, H.; Li, P.; Zhang, C.; Chang, H. Experimental study of hollow fiber AGMD modules with energy recovery for high saline water desalination. Desalination 2014, 344, 55–63. [Google Scholar] [CrossRef]
- Khalifa, A.; Lawal, D.; Antar, M.; Khayet, M. Experimental and theoretical investigation on water desalination using air gap membrane distillation. Desalination 2015, 376, 94–108. [Google Scholar] [CrossRef]
- Alkhudhiri, A.; Darwish, N.; Hilal, N. Treatment of high salinity solutions: Application of air gap membrane distillation. Desalination 2012, 287, 55–60. [Google Scholar] [CrossRef]
- Alkhudhiri, A.; Hilal, N. Air gap membrane distillation: A detailed study of high saline solution. Desalination 2017, 403, 179–186. [Google Scholar] [CrossRef]
- Ibarra-Bahena, J.; Dehesa-Carrasco, U.; Montiel-González, M.; Romero, R.J.; Basurto-Pensado, M.A.; Hernández-Cristóbal, O. Experimental evaluation of a membrane contactor unit used as a desorber/condenser with water/Carrol mixture for absorption heat transformer cycles. Exp. Therm. Fluid Sci. 2016, 76, 193–204. [Google Scholar] [CrossRef]
- Shahu, V.T.; Thombre, S.B. Air gap membrane distillation: A review. J. Renew. Sustain. Energy 2019, 11, 045901. [Google Scholar] [CrossRef]
- Al-Zoubi, H.; Al-Amri, F.; Khalifa, A.E.; Al-Zoubi, A.; Abid, M.; Younis, E.; Mallick, T.K. A comprehensive review of air gap membrane distillation process. Desalin. Water Treat. 2018, 110, 27–64. [Google Scholar] [CrossRef]
- Chen, Y.; Xu, X. Molecular dynamics study on the influence of working pairs on membrane distillation process applied in absorption refrigeration systems. J. Mol. Liq. 2025, 433, 127796. [Google Scholar] [CrossRef]
- Altamirano, A.; Le Pierrès, N.; Stutz, B. Review of small-capacity single-stage continuous absorption systems operating on binary working fluids for cooling: Theoretical, experimental and commercial cycles. Int. J. Refrig. 2019, 106, 350–373. [Google Scholar] [CrossRef]
- Tijing, L.D.; Woo, Y.C.; Choi, J.-S.; Lee, S.; Kim, S.-H.; Shon, H.K. Fouling and its control in membrane distillation—A review. J. Membr. Sci. 2015, 475, 215–244. [Google Scholar] [CrossRef]










| Variable | Sensor/Instrument | Operation Range | Uncertainty |
|---|---|---|---|
| Temperature | RTD PT100 | −30 to 350 °C | ±0.1 °C |
| Cooling water volumetric flow | Volumetric flowmeter | 0 to 8 L/min | ±5.0% f.s. * |
| Heating fluid volumetric flow | Volumetric flowmeter | 0 to 1.2 L/min | ±4.0% f.s. * |
| Solution mass flow | Coriolis mass flowmeter | 0 to 4.0 × 10−2 kg/s | ±0.1% |
| Distillate water weight | Electronic balance | 0 to 600 g | ±0.01 g |
| Solution density | Coriolis mass flowmeter | 0 to 5000 kg/m3 | ±0.5 kg/m3 |
| Parameter | Value |
|---|---|
| Membrane pore size (μm) | 0.22 |
| 0.45 | |
| Salt concentration (% w/w) | 50.05 ± 0.05 |
| 44.99 ± 0.03 | |
| Cooling water volumetric flow (L/min) | 2.4 ± 0.40 |
| Saline solution mass flow (kg/s) | 4.00 × 10−2 ± 2.84 × 10−5 |
| Saline solution temperature (°C) | 95.3 ± 0.1 |
| 90.3 ± 0.1 | |
| 85.3 ± 0.1 | |
| 80.3 ± 0.1 | |
| Cooling water temperature (°C) | 40.1 ± 0.1 |
| 35.1 ± 0.1 | |
| 30.1 ± 0.1 | |
| 25.1 ± 0.1 |
| Parameter | Value |
|---|---|
| Membrane pore size (μm) | 0.22 |
| Salt concentration (% w/w) | 49.61 ± 0.07 |
| Cooling water volumetric flow (L/min) | 2.0 ± 0.35 |
| Saline solution mass flow (kg/s) | 4.00 × 10−2 ± 2.44 × 10−5 |
| Saline solution temperature (°C) | 95.2 ± 0.1 |
| 90.2 ± 0.1 | |
| 85.3 ± 0.1 | |
| 80.2 ± 0.1 | |
| Cooling water temperature (°C) | 40.1± 0.1 |
| 35.1 ± 0.1 | |
| 30.1 ± 0.1 |
| Parameter | Value |
|---|---|
| Membrane pore size (μm) | 0.22 |
| Salt concentration (% w/w) | 41.05 ± 0.03 |
| Cooling water volumetric flow (L/min) | 2.0 ± 0.35 |
| Saline solution mass flow (kg/s) | 3.50 × 10−2 ± 1.83 × 10−5 |
| Saline solution temperature (°C) | 90.2 ± 0.1 |
| 85.3 ± 0.1 | |
| 80.2 ± 0.1 | |
| Cooling water temperature (°C) | 40.1± 0.1 |
| 35.1 ± 0.1 | |
| 30.1 ± 0.1 | |
| 25.1± 0.1 |
Disclaimer/Publisher’s Note: The statements, opinions and data contained in all publications are solely those of the individual author(s) and contributor(s) and not of MDPI and/or the editor(s). MDPI and/or the editor(s) disclaim responsibility for any injury to people or property resulting from any ideas, methods, instructions or products referred to in the content. |
© 2025 by the authors. Licensee MDPI, Basel, Switzerland. This article is an open access article distributed under the terms and conditions of the Creative Commons Attribution (CC BY) license (https://creativecommons.org/licenses/by/4.0/).
Share and Cite
Ibarra-Bahena, J.; Dehesa-Carrasco, U.; Galindo-Luna, Y.R.; Medina-Caballero, I.L.; Rivera, W. Membrane Separation for the Treatment of LiBr + LiCl Brines and Their Application. Membranes 2025, 15, 219. https://doi.org/10.3390/membranes15080219
Ibarra-Bahena J, Dehesa-Carrasco U, Galindo-Luna YR, Medina-Caballero IL, Rivera W. Membrane Separation for the Treatment of LiBr + LiCl Brines and Their Application. Membranes. 2025; 15(8):219. https://doi.org/10.3390/membranes15080219
Chicago/Turabian StyleIbarra-Bahena, Jonathan, Ulises Dehesa-Carrasco, Yuridiana Rocio Galindo-Luna, Iván Leonardo Medina-Caballero, and Wilfrido Rivera. 2025. "Membrane Separation for the Treatment of LiBr + LiCl Brines and Their Application" Membranes 15, no. 8: 219. https://doi.org/10.3390/membranes15080219
APA StyleIbarra-Bahena, J., Dehesa-Carrasco, U., Galindo-Luna, Y. R., Medina-Caballero, I. L., & Rivera, W. (2025). Membrane Separation for the Treatment of LiBr + LiCl Brines and Their Application. Membranes, 15(8), 219. https://doi.org/10.3390/membranes15080219

