Experimental and Simulation Study of Proton Exchange Membrane Fuel Cell with 12 µm Thick Membrane over the Temperature Range of 80 °C to 120 °C
Abstract
1. Introduction
2. Materials and Methods
2.1. Preparation of MEA
2.2. Polarization Curve
2.3. Electrochemical Impedance Spectroscopy
2.4. Cyclic Voltammetry Curve
3. Model Descriptions
3.1. Model Hypothesis
- The PEMFC system operates in a stable state;
- The PEM is considered to be a solid material that does not permeate gases;
- The flow mode of reactant gas in the flow channel is laminar flow due to the low Reynolds number;
- The reaction gases behave ideally;
- The GDL, CL, and PEM are considered to be homogeneous porous media.
3.2. Governing Equations
3.3. Water Transport in PEM
3.4. Boundary Conditions
- The anode/cathode inlet is set as the mass inlet, and the mass flux and mass fraction are set according to the working condition;
- The outlet of the anode and cathode adopts pressure boundary conditions to reflect the emission characteristics of the actual fuel cell;
- The wall is set as a constant temperature wall to simulate the thermal stability of the cell during operation;
- The simulation results use current to calculate voltage, set the anode potential to 0 V, and set the cathode according to the current density.
4. Results and Discussion
4.1. Electrochemical Performance of PEMFC
4.2. Self-Humidification of the Membrane
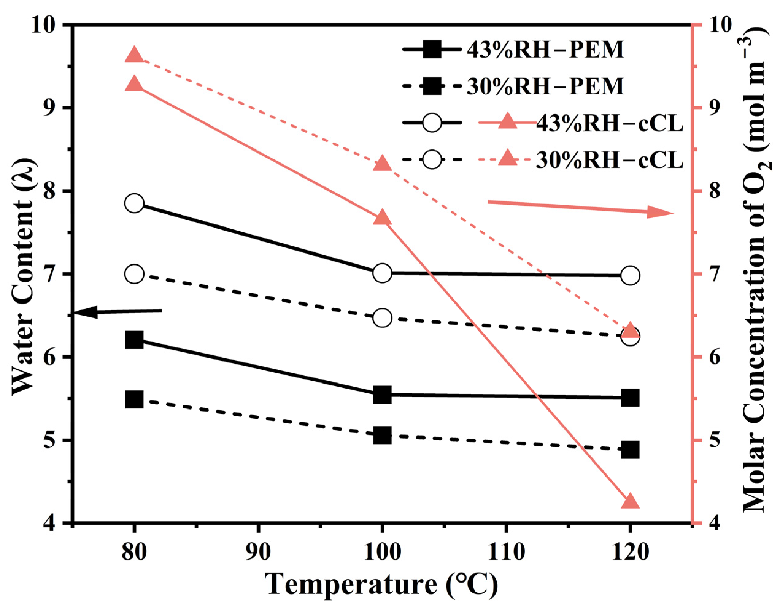
4.3. Simulation Results
5. Conclusions
Supplementary Materials
Author Contributions
Funding
Institutional Review Board Statement
Data Availability Statement
Conflicts of Interest
References
- Yuan, X.; Wang, H. PEM Fuel Cell Fundamentals. In PEM Fuel Cell Electrocatalysts and Catalyst Layers: Fundamentals and Applications; Zhang, J., Ed.; Springer: London, UK, 2008; pp. 1–87. [Google Scholar] [CrossRef]
- Zhang, J.; Zhang, H.; Wu, J.; Zhang, J. High-Temperature PEM Fuel Cells. In Pem Fuel Cell Testing and Diagnosis; Elsevier Science: Amsterdam, The Netherlands, 2013; pp. 243–282. [Google Scholar] [CrossRef]
- Xiao, T.; Wang, R.; Chang, Z.; Fang, Z.; Zhu, Z.; Xu, C. Electrolyte membranes for intermediate temperature proton exchange membrane fuel cell. Prog. Nat. Sci. Mater. Int. 2020, 30, 743–750. [Google Scholar] [CrossRef]
- Tang, Y.; Zhang, J.; Song, C.; Liu, H.; Zhang, J.; Wang, H.; Mackinnon, S.; Peckham, T.; Li, J.; McDermid, S.; et al. Temperature Dependent Performance and In Situ AC Impedance of High-Temperature PEM Fuel Cells Using the Nafion-112 Membrane. J. Electrochem. Soc. 2006, 153, A2036. [Google Scholar] [CrossRef]
- Zhang, J.; Tang, Y.; Song, C.; Cheng, X.; Zhang, J.; Wang, H. PEM fuel cells operated at 0% relative humidity in the temperature range of 23–120 °C. Electrochim. Acta 2007, 52, 5095–5101. [Google Scholar] [CrossRef]
- Passos, R.R.; Paganin, V.A.; Ticianelli, E.A. Studies of the performance of PEM fuel cell cathodes with the catalyst layer directly applied on Nafion membranes. Electrochim. Acta 2006, 51, 5239–5245. [Google Scholar] [CrossRef]
- Zeng, L.; Lu, X.; Yuan, C.; Yuan, W.; Chen, K.; Guo, J.; Zhang, X.; Wang, J.; Liao, Q.; Wei, Z. Self-Enhancement of Perfluorinated Sulfonic Acid Proton Exchange Membrane with Its Own Nanofibers. Adv. Mater. 2024, 36, 2305711. [Google Scholar] [CrossRef]
- Nauman Javed, R.M.; Al-Othman, A.; Tawalbeh, M.; Olabi, A.G. Recent developments in graphene and graphene oxide materials for polymer electrolyte membrane fuel cells applications. Renew. Sustain. Energy Rev. 2022, 168, 112836. [Google Scholar] [CrossRef]
- Kienitz, B.; Kolde, J.; Priester, S.; Baczkowski, C.; Crum, M. Ultra-Thin Reinforced Ionomer Membranes to Meet Next Generation Fuel Cell Targets. ECS Trans. 2011, 41, 1521–1530. [Google Scholar] [CrossRef]
- Lou, J.; Lu, Y.; Yang, D.; Pan, X.; Li, B.; Ming, P. Experimental and model refinement of water content and membrane conductivity in reinforced composite proton exchange membranes. Int. J. Hydrogen Energy 2024, 94, 756–764. [Google Scholar] [CrossRef]
- Yin, T.; Chen, D.; Hu, T.; Hu, S.; Li, R.; Wei, T.; Li, Y.; Li, Y.; Xu, X.; Pei, P. Experimental investigation and comprehensive analysis of performance and membrane electrode assembly parameters for proton exchange membrane fuel cell at high operating temperature. Energy Convers. Manag. 2024, 315, 118740. [Google Scholar] [CrossRef]
- Breitwieser, M.; Klingele, M.; Britton, B.; Holdcroft, S.; Zengerle, R.; Thiele, S. Improved Pt-utilization efficiency of low Pt-loading PEM fuel cell electrodes using direct membrane deposition. Electrochem. Commun. 2015, 60, 168–171. [Google Scholar] [CrossRef]
- Song, J.; Zhao, W.; Zhou, L.; Meng, H.; Wang, H.; Guan, P.; Li, M.; Zou, Y.; Feng, W.; Zhang, M.; et al. Rational Materials and Structure Design for Improving the Performance and Durability of High Temperature Proton Exchange Membranes (HT-PEMs). Adv. Sci. 2023, 10, 2303969. [Google Scholar] [CrossRef] [PubMed]
- Jinnouchi, R. New insight into microscale transport phenomena in PEFC by quantum MD. Microscale Thermophys. Eng. 2003, 7, 15–31. [Google Scholar] [CrossRef]
- Rasheed, R.K.A.; Liao, Q.; Caizhi, Z.; Chan, S.H. A review on modelling of high temperature proton exchange membrane fuel cells (HT-PEMFCs). Int. J. Hydrogen Energy 2017, 42, 3142–3165. [Google Scholar] [CrossRef]
- Jiao, K.; Alaefour, I.E.; Li, X. Three-dimensional non-isothermal modeling of carbon monoxide poisoning in high temperature proton exchange membrane fuel cells with phosphoric acid doped polybenzimidazole membranes. Fuel 2011, 90, 568–582. [Google Scholar] [CrossRef]
- Yin, Y.; Wang, J.; Yang, X.; Du, Q.; Fang, J.; Jiao, K. Modeling of high temperature proton exchange membrane fuel cells with novel sulfonated polybenzimidazole membranes. Int. J. Hydrogen Energy 2014, 39, 13671–13680. [Google Scholar] [CrossRef]
- Niya, S.M.R.; Hoorfar, M. Study of proton exchange membrane fuel cells using electrochemical impedance spectroscopy technique—A review. J. Power Sources 2013, 240, 281–293. [Google Scholar] [CrossRef]
- Ramani, V.K.; Cooper, K.; Fenton, J.M.; Russel Kunz, H. Polymer Electrolyte Fuel Cells. In Springer Handbook of Electrochemical Energy; Breitkopf, C., Swider-Lyons, K., Eds.; Springer: Berlin/Heidelberg, UK, 2017; pp. 649–711. [Google Scholar] [CrossRef]
- Baudy, M.; Rondeau, O.; Jaafar, A.; Turpin, C.; Abbou, S.; Grignon, M. Voltage Readjustment Methodology According to Pressure and Temperature Applied to a High Temperature PEM Fuel Cell. Energies 2022, 15, 3031. [Google Scholar] [CrossRef]
- Kreuer, K.D.; Paddison, S.J.; Spohr, E.; Schuster, M. Transport in Proton Conductors for Fuel-Cell Applications: Simulations, Elementary Reactions, and Phenomenology. Chem. Rev. 2004, 104, 4637–4678. [Google Scholar] [CrossRef]
- Kreuer, K.D. Proton Conductivity: Materials and Applications. Chem. Mater. 1996, 8, 610–641. [Google Scholar] [CrossRef]
- Rao, Y.; Cai, C.; Tan, J.; Pan, M. Oxygen Reduction Activity Indicator for Fuel Cell Catalysts at Rated Voltage. J. Electrochem. Soc. 2019, 166, F351–F356. [Google Scholar] [CrossRef]
- Al-Baghdadi, M.A.R.S.; Al-Janabi, H.A.K.S. Numerical analysis of a proton exchange membrane fuel cell. Part 1: Model development. Proc. Inst. Mech. Eng. A. 2007, 221, 917–929. [Google Scholar] [CrossRef]
- Springer, T.E.; Zawodzinski, T.A.; Gottesfeld, S. Polymer Electrolyte Fuel Cell Model. J. Electrochem. Soc. 1991, 138, 2334–2342. [Google Scholar] [CrossRef]
- Ji, M.; Wei, Z. A Review of Water Management in Polymer Electrolyte Membrane Fuel Cells. Energies 2009, 2, 1057–1106. [Google Scholar] [CrossRef]
- Choi, P.; Jalani, N.H.; Datta, R. Thermodynamics and Proton Transport in Nafion: II. Proton Diffusion Mechanisms and Conductivity. J. Electrochem. Soc. 2005, 152, E123. [Google Scholar] [CrossRef]
- Luo, Z.; Chang, Z.; Zhang, Y.; Liu, Z.; Li, J. Electro-osmotic drag coefficient and proton conductivity in Nafion® membrane for PEMFC. Int. J. Hydrogen Energy 2010, 35, 3120–3124. [Google Scholar] [CrossRef]
- Sridhar, P.; Perumal, R.; Rajalakshmi, N.; Raja, M.; Dhathathreyan, K.S. Humidification studies on polymer electrolyte membrane fuel cell. J. Power Sources 2001, 101, 72–78. [Google Scholar] [CrossRef]
- Ke, C.; Li, X.; Qu, S.; Shao, Z.; Yi, B. Preparation and properties of Nafion/SiO2 composite membrane derived via in situ sol-gel reaction: Size controlling and size effects of SiO2 nano-particles. Polym. Adv. Technol. 2011, 23, 92–98. [Google Scholar] [CrossRef]
- Qu, E.; Hao, X.; Xiao, M.; Han, D.; Huang, S.; Huang, Z.; Wang, S.; Meng, Y. Proton exchange membranes for high temperature proton exchange membrane fuel cells: Challenges and perspectives. J. Power Sources 2022, 533, 231386. [Google Scholar] [CrossRef]
- Nonoyama, N.; Okazaki, S.; Weber, A.Z.; Ikogi, Y.; Yoshida, T. Analysis of Oxygen-Transport Diffusion Resistance in Proton-Exchange-Membrane Fuel Cells. J. Electrochem. Soc. 2011, 158, B416. [Google Scholar] [CrossRef]
- Zhang, J.; Tang, Y.; Song, C.; Zhang, J. Polybenzimidazole-membrane-based PEM fuel cell in the temperature range of 120–200 °C. J. Power Sources 2007, 172, 163–171. [Google Scholar] [CrossRef]
- Akitomo, F.; Sasabe, T.; Yoshida, T.; Naito, H.; Kawamura, K.; Hirai, S. Investigation of effects of high temperature and pressure on a polymer electrolyte fuel cell with polarization analysis and X-ray imaging of liquid water. J. Power Sources 2019, 431, 205–209. [Google Scholar] [CrossRef]
- Zhao, X.; Xu, L.; Fang, C.; Jiang, H.; Li, J.; Ouyang, M. Study on voltage clamping and self-humidification effects of pem fuel cell system with dual recirculation based on orthogonal test method. Int. J. Hydrogen Energy 2018, 43, 16268–16278. [Google Scholar] [CrossRef]
- Makharia, R.; Mathias, M.F.; Baker, D.R. Measurement of Catalyst Layer Electrolyte Resistance in PEFCs Using Electrochemical Impedance Spectroscopy. J. Electrochem. Soc. 2005, 152, A970. [Google Scholar] [CrossRef]
- Wang, C.; Chen, X.; Xiang, X.; Zhang, H.; Huang, Z.; Huang, X.; Zhan, Z. Study on Self-Humidification in PEMFC with Crossed Flow Channels and an Ultra-Thin Membrane. Polymers 2023, 15, 4589. [Google Scholar] [CrossRef]
- Hao, D.; Shen, J.; Hou, Y.; Zhou, Y.; Wang, H. An Improved Empirical Fuel Cell Polarization Curve Model Based on Review Analysis. Int. J. Chem. Eng. 2016, 2016, 4109204. [Google Scholar] [CrossRef]
- Zhang, J.; Tang, Y.; Song, C.; Xia, Z.; Li, H.; Wang, H.; Zhang, J. PEM fuel cell relative humidity (RH) and its effect on performance at high temperatures. Electrochim. Acta 2008, 53, 5315–5321. [Google Scholar] [CrossRef]
- Butori, M.; Eriksson, B.; Nikolić, N.; Lagergren, C.; Lindbergh, G.; Lindström, R.W. The effect of oxygen partial pressure and humidification in proton exchange membrane fuel cells at intermediate temperature (80–120 °C). J. Power Sources 2023, 563, 232803. [Google Scholar] [CrossRef]
- Kim, J.; Lee, S.M.; Srinivasan, S.; Chamberlin, C.E. Modeling of Proton Exchange Membrane Fuel Cell Performance with an Empirical Equation. J. Electrochem. Soc. 1995, 142, 2670. [Google Scholar] [CrossRef]










Disclaimer/Publisher’s Note: The statements, opinions and data contained in all publications are solely those of the individual author(s) and contributor(s) and not of MDPI and/or the editor(s). MDPI and/or the editor(s) disclaim responsibility for any injury to people or property resulting from any ideas, methods, instructions or products referred to in the content. |
© 2025 by the authors. Licensee MDPI, Basel, Switzerland. This article is an open access article distributed under the terms and conditions of the Creative Commons Attribution (CC BY) license (https://creativecommons.org/licenses/by/4.0/).
Share and Cite
Zhang, Y.; Xiao, Z.; Zhao, X.; Wang, J.; Wang, Y.; Yu, J. Experimental and Simulation Study of Proton Exchange Membrane Fuel Cell with 12 µm Thick Membrane over the Temperature Range of 80 °C to 120 °C. Membranes 2025, 15, 72. https://doi.org/10.3390/membranes15030072
Zhang Y, Xiao Z, Zhao X, Wang J, Wang Y, Yu J. Experimental and Simulation Study of Proton Exchange Membrane Fuel Cell with 12 µm Thick Membrane over the Temperature Range of 80 °C to 120 °C. Membranes. 2025; 15(3):72. https://doi.org/10.3390/membranes15030072
Chicago/Turabian StyleZhang, Yunfei, Zhengrui Xiao, Xiaoyang Zhao, Jian Wang, Yadong Wang, and Jun Yu. 2025. "Experimental and Simulation Study of Proton Exchange Membrane Fuel Cell with 12 µm Thick Membrane over the Temperature Range of 80 °C to 120 °C" Membranes 15, no. 3: 72. https://doi.org/10.3390/membranes15030072
APA StyleZhang, Y., Xiao, Z., Zhao, X., Wang, J., Wang, Y., & Yu, J. (2025). Experimental and Simulation Study of Proton Exchange Membrane Fuel Cell with 12 µm Thick Membrane over the Temperature Range of 80 °C to 120 °C. Membranes, 15(3), 72. https://doi.org/10.3390/membranes15030072
