Cross-Linked Self-Standing Graphene Oxide Membranes: A Pathway to Scalable Applications in Separation Technologies
Abstract
1. Introduction
2. Materials and Methods
2.1. Materials
2.2. Pervaporation and Vapour Permeation Experiments
2.3. Gas Permeation Measurements
2.4. Characterisation Techniques
2.5. Membrane Fabrication on Porous Substrates
2.6. Membrane Fabrication with Mixed Suspensions
3. Results and Discussions
3.1. Membrane Durability and Robustness
3.2. Macroscopic and Microscopic Overview
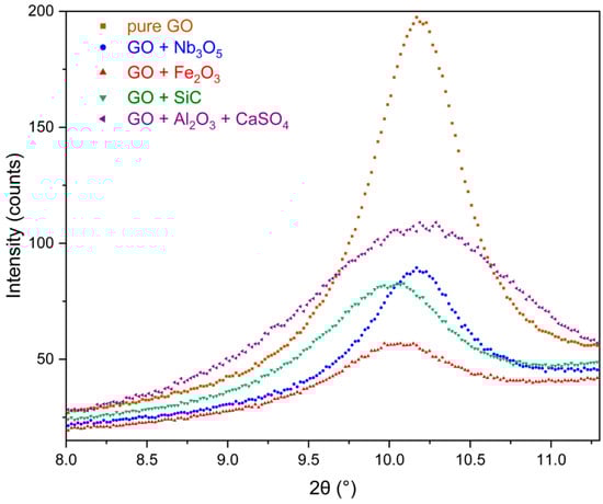
3.3. X-Ray Diffraction (XRD)
3.4. X-Ray Photoelectron Spectroscopy (XPS)
4. Testing in Pervaporation and Vapour Permeation Applications
5. Testing in Gas Separation Applications
6. Conclusions
7. Patents
Supplementary Materials
Author Contributions
Funding
Institutional Review Board Statement
Informed Consent Statement
Data Availability Statement
Acknowledgments
Conflicts of Interest
References
- O’brien, D.J.; Roth, L.H.; McAloon, A.J. Ethanol production by continuous fermentation–pervaporation: A preliminary economic analysis. J. Membr. Sci. 2000, 166, 105–111. [Google Scholar] [CrossRef]
- Liu, G.; Wei, W.; Jin, W. Pervaporation Membranes for Biobutanol Production. ACS Sustain. Chem. Eng. 2014, 2, 546–560. [Google Scholar] [CrossRef]
- Si, Z.; Shan, H.; Hu, S.; Cai, D.; Qin, P. Recovery of ethanol via vapor phase by polydimethylsiloxane membrane with excellent performance. Chem. Eng. Res. Des. 2018, 136, 324–333. [Google Scholar] [CrossRef]
- Xue, C.; Liu, F.; Xu, M.; Zhao, J.; Chen, L.; Ren, J.; Bai, F.; Yang, S. A novel in situ gas stripping-pervaporation process integrated with acetone-butanol-ethanol fermentation for hyper n-butanol production: Butanol production by an efficient recovery strategy. Biotechnol. Bioeng. 2016, 113, 120–129. [Google Scholar] [CrossRef]
- Carrio, J.A.G.; Talluri, V.P.; Toolahalli, S.T.; Echeverrigaray, S.G.; Neto, A.H.C. Gas stripping assisted vapour permeation using graphene membrane on silicon carbide for ethanol recovery. Sci. Rep. 2023, 13, 9781. [Google Scholar] [CrossRef]
- Hu, S.; Guan, Y.; Cai, D.; Li, S.; Qin, P.; Karim, M.N.; Tan, T. A novel method for furfural recovery via gas stripping assisted vapor permeation by a polydimethylsiloxane membrane. Sci. Rep. 2015, 5, 9428. [Google Scholar] [CrossRef] [PubMed]
- Yakovlev, A.V.; Shalygin, M.G.; Matson, S.M.; Khotimskiy, V.S.; Teplyakov, V.V. Separation of diluted butanol–water solutions via vapor phase by organophilic membranes based on high permeable polyacetylenes. J. Membr. Sci. 2013, 434, 99–105. [Google Scholar] [CrossRef]
- Nair, R.R.; Wu, H.A.; Jayaram, P.N.; Grigorieva, I.V.; Geim, A.K. Unimpeded Permeation of Water Through Helium-Leak–Tight Graphene-Based Membranes. Science 2012, 335, 442–444. [Google Scholar] [CrossRef]
- Hong, S.; Constans, C.; Martins, M.V.S.; Seow, Y.C.; Carrió, J.A.G.; Garaj, S. Scalable Graphene-Based Membranes for Ionic Sieving with Ultrahigh Charge Selectivity. Nano Lett. 2017, 17, 728–732. [Google Scholar] [CrossRef]
- Shin, Y.; Taufique, M.F.N.; Devanathan, R.; Cutsforth, E.C.; Lee, J.; Liu, W.; Fifield, L.S.; Gotthold, D.W. Highly Selective Supported Graphene Oxide Membranes for Water-Ethanol Separation. Sci. Rep. 2019, 9, 2251. [Google Scholar] [CrossRef] [PubMed]
- Talyzin, A.V.; Hausmaninger, T.; You, S.; Szabó, T. The structure of graphene oxide membranes in liquid water, ethanol and water–ethanol mixtures. Nanoscale 2014, 6, 272–281. [Google Scholar] [CrossRef] [PubMed]
- Park, S.; Lee, K.-S.; Bozoklu, G.; Cai, W.; Nguyen, S.T.; Ruoff, R.S. Graphene Oxide Papers Modified by Divalent Ions—Enhancing Mechanical Properties via Chemical Cross-Linking. ACS Nano 2008, 2, 572–578. [Google Scholar] [CrossRef]
- Liu, T.; Yang, B.; Graham, N.; Yu, W.; Sun, K. Trivalent metal cation cross-linked graphene oxide membranes for NOM removal in water treatment. J. Membr. Sci. 2017, 542, 31–40. [Google Scholar] [CrossRef]
- Huang, L.; Zhang, M.; Li, C.; Shi, G. Graphene-Based Membranes for Molecular Separation. J. Phys. Chem. Lett. 2015, 6, 2806–2815. [Google Scholar] [CrossRef]
- Yeh, C.-N.; Raidongia, K.; Shao, J.; Yang, Q.-H.; Huang, J. On the origin of the stability of graphene oxide membranes in water. Nat. Chem. 2014, 7, 166–170. [Google Scholar] [CrossRef] [PubMed]
- Moharana, S.; Satpathy, S.K.; Nguyen, T.A.; Maharana, T. (Eds.) Graphene–Metal Oxide Composites: Synthesis, Properties, and Applications; Royal Society of Chemistry: London, UK, 2025. [Google Scholar] [CrossRef]
- Akram, M.Y.; Ashraf, T.; Jagirani, M.S.; Nazir, A.; Saqib, M.; Imran, M. Recent Advances in Graphene-Based Single-Atom Photocatalysts for CO2 Reduction and H2 Production. Catalysts 2024, 14, 343. [Google Scholar] [CrossRef]
- Kumar, S.P.; Sharafudeen, P.C.; Elumalai, P. High entropy metal oxide@graphene oxide composite as electrocatalyst for green hydrogen generation using anion exchange membrane seawater electrolyzer. Int. J. Hydrogen Energy 2023, 48, 38156–38171. [Google Scholar] [CrossRef]
- Carrio, J.A.; Echeverrigaray, S.G.; Talluri, V.; Sudhakaran, D.P.; Gan, H.T.; Gardenö, D.; Friess, K.; Neto, A.H.C. Performance of GO laminated membranes in H2/CO2 separation as a function of the membrane thickness. Int. J. Hydrogen Energy 2024, 90, 646–654. [Google Scholar] [CrossRef]
- Kim, H.W.; Yoon, H.W.; Yoon, S.-M.; Yoo, B.M.; Ahn, B.K.; Cho, Y.H.; Shin, H.J.; Yang, H.; Paik, U.; Kwon, S.; et al. Selective Gas Transport Through Few-Layered Graphene and Graphene Oxide Membranes. Science 2013, 342, 91–95. [Google Scholar] [CrossRef] [PubMed]
- Uchytil, P.; Schauer, J.; Petrychkovych, R.; Setnickova, K.; Suen, S.Y. Ionic liquid membranes for carbon dioxide–methane separation. J. Membr. Sci. 2011, 383, 262–271. [Google Scholar] [CrossRef]
- Friess, K.; Lanč, M.; Pilnáček, K.; Fíla, V.; Vopička, O.; Sedláková, Z.; Cowan, M.G.; McDanel, W.M.; Noble, R.D.; Gin, D.L.; et al. CO2/CH4 separation performance of ionic-liquid-based epoxy-amine ion gel membranes under mixed feed conditions relevant to biogas processing. J. Membr. Sci. 2017, 528, 64–71. [Google Scholar] [CrossRef]
- Bouša, D.; Friess, K.; Pilnáček, K.; Vopička, O.; Lanč, M.; Fónod, K.; Pumera, M.; Sedmidubský, D.; Luxa, J.; Sofer, Z. Thin, High-Flux, Self-Standing, Graphene Oxide Membranes for Efficient Hydrogen Separation from Gas Mixtures. Chem.—Eur. J. 2017, 23, 11416–11422. [Google Scholar] [CrossRef]
- Al-Marri, A.H.; Janene, F.; Moulahi, A.; Mogharbel, A.T.; Al-Farraj, E.S.; Al-Mohaimeed, A.M.; Mjejri, I. Enhanced photocatalytic properties of the Nb2O5/rGO for the degradation of methylene blue. Ionics 2023, 29, 5505–5515. [Google Scholar] [CrossRef]
- Soomro, F.; Memon, F.H.; Khan, M.A.; Iqbal, M.; Ibrar, A.; Memon, A.A.; Lim, J.H.; Choi, K.H.; Thebo, K.H. Ultrathin Graphene Oxide-Based Nanocomposite Membranes for Water Purification. Membranes 2023, 13, 64. [Google Scholar] [CrossRef] [PubMed]
- Zhang, W.; Xu, H.; Xie, F.; Ma, X.; Niu, B.; Chen, M.; Zhang, H.; Zhang, Y.; Long, D. General synthesis of ultrafine metal oxide/reduced graphene oxide nanocomposites for ultrahigh-flux nanofiltration membrane. Nat. Commun. 2022, 13, 471. [Google Scholar] [CrossRef]
- Chen, X.; Wang, X.; Fang, D. A review on C1s XPS-spectra for some kinds of carbon materials. Fuller. Nanotub. Carbon Nanostruct. 2020, 28, 1048–1058. [Google Scholar] [CrossRef]
- Kovtun, A.; Jones, D.; Dell’Elce, S.; Treossi, E.; Liscio, A.; Palermo, V. Accurate chemical analysis of oxygenated graphene-based materials using X-ray photoelectron spectroscopy. Carbon 2019, 143, 268–275. [Google Scholar] [CrossRef]
- Shiraz, H.G.; Tavakoli, O. Investigation of graphene-based systems for hydrogen storage. Renew. Sustain. Energy Rev. 2017, 74, 104–109. [Google Scholar] [CrossRef]
- Bajestani, Z.G.; Yürüm, A.; Yürüm, Y. Significant improvement in the hydrogen storage capacity of a reduced graphene oxide/TiO2 nanocomposite by chemical bonding of Ti–O–C. RSC Adv. 2016, 6, 32831–32838. [Google Scholar] [CrossRef]
- Hong, W.G.; Kim, B.H.; Lee, S.M.; Yu, H.Y.; Yun, Y.J.; Jun, Y.; Lee, J.B.; Kim, H.J. Agent-free synthesis of graphene oxide/transition metal oxide composites and its application for hydrogen storage. Int. J. Hydrogen Energy 2012, 37, 7594–7599. [Google Scholar] [CrossRef]
- Pandey, R.P.; Kallem, P.; Hegab, H.M.; Rasheed, P.A.; Banat, F.; Hasan, S.W. Cross-linked laminar graphene oxide membranes for wastewater treatment and desalination: A review. J. Environ. Manag. 2022, 317, 115367. [Google Scholar] [CrossRef] [PubMed]
- Tiwary, S.K.; Singh, M.; Chavan, S.V.; Karim, A. Graphene oxide-based membranes for water desalination and purification. Npj 2D Mater. Appl. 2024, 8, 27. [Google Scholar] [CrossRef]
- Li, Z.; Huang, Z.; Xie, N.; Gao, X.; Fang, Y.; Zhang, Z. Preparation of Al2O3-coated expanded graphite with enhanced hydrophilicity and oxidation resistance. Ceram. Int. 2018, 44, 16256–16264. [Google Scholar] [CrossRef]
- Liu, R.; Arabale, G.; Kim, J.; Sun, K.; Lee, Y.; Ryu, C.; Lee, C. Graphene oxide membrane for liquid phase organic molecular separation. Carbon 2014, 77, 933–938. [Google Scholar] [CrossRef]
- Iakunkov, A.; Talyzin, A.V. Swelling properties of graphite oxides and graphene oxide multilayered materials. Nanoscale 2020, 12, 21060–21093. [Google Scholar] [CrossRef] [PubMed]
- Dahanayaka, M.; Chew, J.W. Organic Solvent Permeation through Negatively Charged Graphene Oxide Membranes. ACS Sustain. Chem. Eng. 2022, 10, 1499–1508. [Google Scholar] [CrossRef]
- Robeson, L.M. Correlation of separation factor versus permeability for polymeric membranes. J. Membr. Sci. 1991, 62, 165–185. [Google Scholar] [CrossRef]
- Robeson, L.M. The upper bound revisited. J. Membr. Sci. 2008, 320, 390–400. [Google Scholar] [CrossRef]
- Ao, Z.; Dou, S.; Xu, Z.; Jiang, Q.; Wang, G. Hydrogen storage in porous graphene with Al decoration. Int. J. Hydrogen Energy 2014, 39, 16244–16251. [Google Scholar] [CrossRef]
















| Membrane | Angular Position 2θ (°) | d (Å) |
|---|---|---|
| Pure GO | 10.175 | 8.69 |
| GO + Nb2O5 | 10.170 | 8.69 |
| GO + Fe2O3 | 10.074 | 8.77 |
| GO + SiC | 10.190 | 8.67 |
| CaSO4 + Al2O3 | 10.348 | 8.54 |
| Cross-Link Agent (Form) | Carbides Formed | Peaks and Binding Energies |
|---|---|---|
| Al2O3 + CaSO4 | Al2C2O3 | Al2p3/2 at 74.95 eV C1s at 283.70eV |
| Al2O3 + CaSO4 | CaCO3 | Ca2p at 25.30 eV Ca2p3/2 at 347.40 eV Ca2p1/2 at 351.10 eV |
| Nb2O5 (powder in liquid) | NbC | C1s at 281.90 eV |
| Nb2O5 (powder in liquid) | NbCO | Nb3d5/2 at 205.80 eV |
| Parameter | Self-Standing Membranes with Cross-Linking | Coated Membranes | |
|---|---|---|---|
| Al2O3 | CaSO4 + Al2O3 | GO on SiC | |
| α | 33 | 45 | 16 |
| Flux (kg/m2·h) | 0.51 | 0.41 | 0.27 |
| Parameter | Self-Standing Membranes with Cross-Linking | Coated Membranes | |||||
|---|---|---|---|---|---|---|---|
| Nb2O5 | CaSO4 | Fe2O3 | Al2O3 | SiC | CaSO4 + Al2O3 | GO on SiC | |
| α | 17 | 8 | 20 | 68 | 36 | 40 | 39 |
| Flux (kg/m2·h) | 0.06 | 0.23 | 0.13 | 0.11 | 0.15 | 0.14 | 0.24 |
| Parameter | Self-Standing Membranes with Cross-Linking | Coated Membranes | ||
|---|---|---|---|---|
| Nb2O5 | Fe2O3 | Al2O3 | GO on SiC | |
| α | 13 | 22 | 52 | 11 |
| Flux (kg/m2·h) | 0.15 | 0.16 | 0.20 | 0.07 |
| Membrane | α | Flux (kg/m2·h) | PSI (kg/m2·h) |
|---|---|---|---|
| Pure GO | 24 ± 3 | 0.117 ± 0.004 | 2.7 ± 0.4 |
| GO + Fe2O3 | 25 ± 2 | 0.140 ± 0.005 | 3.3 ± 0.5 |
| GO + SiC | 29 ± 4 | 0.145 ± 0.003 | 4.1 ± 0.7 |
| GO + Al2O3 + CaSO4 | 40 ± 3 | 0.140 ± 0.008 | 5.4 ± 0.7 |
| GO + Al2O3 | 68 ± 4 | 0.113 ± 0.002 | 7.5 ± 0.6 |
| Membrane | H2 Permeability (Barrer) | CO2 Permeability (Barrer) | N2 Permeability (Barrer) | H2/CO2 Selectivity | H2/N2 Selectivity |
|---|---|---|---|---|---|
| GO + Al2O3 + CaSO4 | 90,947 | 32,839 | 33,667 | 2.8 | 2.7 |
| GO + Nb2O5 | 23,398 | 6443 | 7779 | 3.6 | 3.0 |
Disclaimer/Publisher’s Note: The statements, opinions and data contained in all publications are solely those of the individual author(s) and contributor(s) and not of MDPI and/or the editor(s). MDPI and/or the editor(s) disclaim responsibility for any injury to people or property resulting from any ideas, methods, instructions or products referred to in the content. |
© 2025 by the authors. Licensee MDPI, Basel, Switzerland. This article is an open access article distributed under the terms and conditions of the Creative Commons Attribution (CC BY) license (https://creativecommons.org/licenses/by/4.0/).
Share and Cite
Carrio, J.A.G.; Talluri, V.P.; Toolahalli, S.T.; Echeverrigaray, S.G.; Castro Neto, A.H. Cross-Linked Self-Standing Graphene Oxide Membranes: A Pathway to Scalable Applications in Separation Technologies. Membranes 2025, 15, 31. https://doi.org/10.3390/membranes15010031
Carrio JAG, Talluri VP, Toolahalli ST, Echeverrigaray SG, Castro Neto AH. Cross-Linked Self-Standing Graphene Oxide Membranes: A Pathway to Scalable Applications in Separation Technologies. Membranes. 2025; 15(1):31. https://doi.org/10.3390/membranes15010031
Chicago/Turabian StyleCarrio, Juan A. G., Vssl Prasad Talluri, Swamy T. Toolahalli, Sergio G. Echeverrigaray, and Antonio H. Castro Neto. 2025. "Cross-Linked Self-Standing Graphene Oxide Membranes: A Pathway to Scalable Applications in Separation Technologies" Membranes 15, no. 1: 31. https://doi.org/10.3390/membranes15010031
APA StyleCarrio, J. A. G., Talluri, V. P., Toolahalli, S. T., Echeverrigaray, S. G., & Castro Neto, A. H. (2025). Cross-Linked Self-Standing Graphene Oxide Membranes: A Pathway to Scalable Applications in Separation Technologies. Membranes, 15(1), 31. https://doi.org/10.3390/membranes15010031

