New Insights on Y, La, Nd, and Sm Extraction with Bifunctional Ionic Liquid Cyphos IL 104 Incorporated in a Polymer Inclusion Membrane
Abstract
1. Introduction
2. Materials and Methods
2.1. Reagents and Solutions
2.2. Polymer Inclusion Membrane Preparation
2.3. Extraction Experiments
2.4. Back-Extraction of Rare Earths
2.5. Separation Factor
2.6. Freundlich and Langmuir Isotherm
2.7. Apparatus
3. Results and Discussion
3.1. Membrane Characterization
3.2. Extraction Experiments
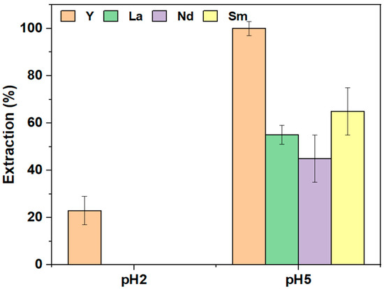
3.2.1. Individual Rare Earth Extraction Studies
3.2.2. Extraction Isotherms
3.2.3. Back-Extraction of Individual REEs from Loaded PIM
3.3. Competitive REE Extraction
4. Conclusions
Author Contributions
Funding
Data Availability Statement
Acknowledgments
Conflicts of Interest
References
- Balaram, V. Rare earth elements: A review of applications, occurrence, exploration, analysis, recycling, and environmental impact. Geosci. Front. 2019, 10, 1285. [Google Scholar] [CrossRef]
- Dutt, T.; Kim, K.H.; Uchimiya, M.; Kwon, E.E.; Jeon, B.H.; Deep, A.; Yun, S.T. Global demand for rare earth resources and strategies for green mining. Environ. Res. 2016, 50, 182. [Google Scholar] [CrossRef] [PubMed]
- Dushyantha, N.; Batapola, N.; Ilankoon, I.M.S.K.; Rohitha, S.; Premasiri, R.; Abeysinghe, B.; Ratnayake, N.; Dissanayake, K. The story of rare earth elements (REEs): Occurrences, global distribution, genesis, geology, mineralogy and global production. Ore Geol. Rev. 2020, 122, 103521. [Google Scholar] [CrossRef]
- Kanazawa, Y.; Kamitani, M. Rare earth minerals and resources in the world. J. Alloys Compd. 2006, 408, 1339. [Google Scholar] [CrossRef]
- Hammache, Z.; Bensaadi, S.; Berbar, Y.; Audebrand, N.; Szymczyk, A.; Amara, M. Recovery of rare earth elements from electronic waste by diffusion dialysis. Sep. Purif. Technol. 2021, 254, 117641. [Google Scholar] [CrossRef]
- Binnemans, K.; Jones, P.T.; Blanpain, B.; Van Gerven, T.; Yang, Y.; Walton, A.; Buchert, M. Recycling of rare earths: A critical review. J. Clean. Prod. 2013, 51, 1. [Google Scholar] [CrossRef]
- Kumari, A.; Jha, M.K.; Pathak, D.D. Review on the Processes for the Recovery of Rare Earth Metals (REMs) from Secondary Resources. In Rare Metal Technology 2018; Springer: Cham, Switzerland, 2018; pp. 53–65. [Google Scholar]
- Chen, Z. Global rare earth resources and scenarios of future rare earth industry. J. Rare Earths 2011, 29, 1. [Google Scholar] [CrossRef]
- Philip, C.K.; Anderson, C.G. The production of critical materials as by products. Asp. Min. Miner. Sci. 2018, 2, 2. [Google Scholar]
- Hammache, Z.; Berbar, Y.; Bensaadi, S.; Trari, M.; Amara, M. Recovery of light rare earth elements by leaching and extraction from phosphate mining waste (Fluorapatite and Carbonate-Fluorapatite). J. Afr. Earth Sci. 2020, 171, 103937. [Google Scholar] [CrossRef]
- Traore, M.; Gong, A.; Wang, Y.; Qiu, L.; Bai, Y.; Zhao, W.; Liu, Y.; Chena, Y.; Liu, Y.; Wu, H.; et al. Research progress of rare earth separation methods and technologies. J. Rare Earths 2023, 41, 182. [Google Scholar] [CrossRef]
- Gupta, C.K.; Krishnamurthy, N. Extractive metallurgy of rare earths. Int. Mater. Rev. 1992, 37, 197–248. [Google Scholar] [CrossRef]
- Reddy, M.L.P.; Rao, P.; Damodarm, A.D. Liquid-liquid extraction processes for the separation and purification of rare earths. Miner. Process. Extr. Metall. Rev. 1995, 12, 91. [Google Scholar] [CrossRef]
- Zhang, B.Z.; LuK, Y.; King, K.C.; Wei, W.C.; Wang, W.C. Rare earth industry in China. Hydrometallurgy 1982, 9, 205. [Google Scholar] [CrossRef]
- da Costa, T.B.; da Silva, M.G.C.; Vieira, M.G.A. Recovery of rare-earth metals from aqueous solutions by bio/adsorption using non-conventional materials: A review with recent studies and promising approaches in column applications. J. Rare Earths 2020, 38, 339. [Google Scholar] [CrossRef]
- El Ouardi, Y.; Virolainen, S.; Mouele, S.E.M.; Laatikainen, M.; Repo, E.; Laatikainen, K. The recent progress of ion exchange of rare earths from secondary resources—A review. Hydrometallurgy 2023, 218, 106047. [Google Scholar] [CrossRef]
- Zou, D.; Li, H.; Deng, Y.; Chen, J.; Bai, Y. Recovery of lanthanum and cerium from rare earth polishing powder wastes utilising acid baking-water leaching-precipitation process. Sep. Purif. Technol. 2021, 261, 118244. [Google Scholar] [CrossRef]
- Wang, J.; Wang, Y.; Li, D.; Fan, Z.; Ding, W. Recovery of trace lanthanum from phosphoric acid using liquid membrane extraction. Zhongguo Ditu Xuebao J. Chi. Rare Earth Soc. 2012, 30, 13. [Google Scholar]
- Tang, J.; Wai, C.M. Transport of trivalent lanthanides through a surfactant membrane containing an ionizable macrocyclic polyether. J. Membr. Sci. 1989, 46, 349. [Google Scholar] [CrossRef]
- Karmakar, R.; Singh, P.; Datta, A.; Sen, K. Emulsion liquid membrane in the selective extraction of Dy. Chem. Eng. Res. Des. 2022, 187, 497. [Google Scholar] [CrossRef]
- Liu, Y.; Xu, Q.; Li, F.; Yu, F.; Yu, Z.; Hu, K.; Chen, H.; Li, X.; Wang, C.; Han Seo, D.; et al. Effective separation of neodymium and lanthanum by single-module hollow fibre supported liquid membrane with P507 as extractant. Sep. Purif. Technol. 2024, 340, 126759. [Google Scholar] [CrossRef]
- Pei, L.; Wang, L.; Yu, G. Separation of Eu(III) with supported dispersion liquid membrane system containing D2EHPA as carrier and HNO3 solution as stripping solution. J. Rare Earth 2011, 29, 7. [Google Scholar] [CrossRef]
- Alemrajabi, M.; Ricknell, J.; Samak, S.; Varela, R.R.; Martinez, J.; Hedman, F.; Forsberg, K.; Rasmuson, A.C. Separation of Rare-Earth Elements Using Supported Liquid Membrane Extraction in Pilot Scale. Ind. Eng. Chem. Res. 2022, 61, 18475. [Google Scholar] [CrossRef]
- Sugiura, M.; Masayoshi, K.; Shoji, U. Carrier mediated transport of rare earth ions through cellulose triacetate membranes. J. Membr. Sci. 1989, 42, 47. [Google Scholar] [CrossRef]
- Croft, C.F.; Almeida, M.I.; Cattrall, R.W.; Kolev, S.D. Separation of lanthanum(III), gadolinium(III) and ytterbium(III) from sulfuric acid solutions by using a polymer inclusion membrane. J. Membr. Sci. 2018, 545, 259. [Google Scholar] [CrossRef]
- Kaczorowska, M.A. The Use of Polymer Inclusion Membranes for the Removal of Metal Ions from Aqueous Solutions—The Latest Achievements and Potential Industrial Applications: A Review. Membranes 2022, 12, 1135. [Google Scholar] [CrossRef]
- Chen, L.; Wu, Y.; Dong, H.; Meng, M.; Li, C.; Yan, Y.; Chen, J. An overview on membrane strategies for rare earths extraction and separation. Sep. Purif. Technol. 2018, 197, 70. [Google Scholar] [CrossRef]
- Elbashier, E.; Mussa, A.; Hafiz, M.; Hawari, A.H. Recovery of rare earth elements from waste streams using membrane processes: An overview. Hydrometallurgy 2021, 204, 105706. [Google Scholar] [CrossRef]
- Huang, S.; Chen, J.; Zou, D. A preliminary study of polymer inclusion membrane for lutetium(III) separation and membrane regeneration. J. Rare Earths 2021, 39, 1256. [Google Scholar] [CrossRef]
- Kujawa, J.; Al Gharabli, S.; Szymczyk, A.; Terzyk, P.; Boncel, S.; Knozowska, K.; Li, G.; Kujawski, W. On membrane-based approaches for rare earths separation and extraction- Recent developments. Coord. Chem. Rev. 2023, 493, 215340. [Google Scholar]
- Dashti, S.; Sadri, F.; Shakibania, S.; Rashchi, F.; Ghahreman, A. Separation and solvent extraction of rare earth elements (Pr, Nd, Sm, Eu, Tb, and Er) using TBP and Cyanex 572 from a chloride medium. Miner. Eng. 2021, 161, 106694. [Google Scholar] [CrossRef]
- K Abbass, M.; G Jalhoom, M.; M Kadhim, A. Extraction of Rare Earth Elements from Iraqi Phosphate Ore by Using of Tributyl Phosphate. Eng. Technol. J. 2020, 38, 240–245. [Google Scholar] [CrossRef]
- Zeng, Z.; Gao, Y.; Ni, S.; Fu, X.; Sun, X. Efficient separation for yttrium and heavy rare earth elements using functionalized quaternary ammonium ionic liquids. J. Ind. Eng. Chem. 2024, 136, 577–588. [Google Scholar] [CrossRef]
- Kubota, F.; Baba, Y.; Goto, M. Application of Ionic Liquids for the Separation of Rare Earth Metals. Solvent Extr. Res. Dev. Jpn. 2012, 19, 17. [Google Scholar] [CrossRef]
- Zhao, S.; Samadi, A.; Wang, Z.; Pringle, J.M.; Zhang, Y.; Kolev, S.D. Ionic liquid-based polymer inclusion membranes for metal ions extraction and recovery: Fundamentals, considerations, and prospects. Chem. Eng. J. 2024, 481, 148792. [Google Scholar] [CrossRef]
- Imdad, S.; Dohare, R.K. A critical review on heavy metals removal using ionic liquid membranes from the industrial wastewater. Chem. Eng. Process.-Process Intensif. 2022, 173, 108812. [Google Scholar] [CrossRef]
- Zante, G.; Boltoeva, M.; Masmoudi, A.; Barillon, R.; Trébouet, D. Supported ionic liquid and polymer inclusion membranes for metal separation. Sep. Purif. Rev. 2022, 51, 100. [Google Scholar] [CrossRef]
- Mishra, B.B.; Devi, N. Solvent extraction and separation of europium (III) using a phosphonium ionic liquid and an organophosphorus extractant—A comparative study. J. Mol. Liq. 2018, 271, 389–396. [Google Scholar] [CrossRef]
- Makowka, A.; Pospiech, B. Studies on extraction and permeation of lanthanum(III) and cerium(III) using Cyphos IL 104 as extractant and ion carrier. Sep. Sci. Technol. 2020, 55, 2193. [Google Scholar] [CrossRef]
- Wang, Y.; Chen, L.; Yan, Y.; Chen, J.; Dai, J.; Dai, X. Separation of adjacent heavy rare earth Lutetium (III) and Ytterbium (III) by task specific ionic liquid Cyphos IL 104 embedded polymer inclusion membrane. J. Membr. Sci. 2020, 610, 118263. [Google Scholar] [CrossRef]
- Dhiman, S.; Agrawal, S.; Gupta, H. Application of phosphonium ionic liquids to separate Ga, Ge and In utilizing solvent extraction: A review. J. Ion. Liq. 2024, 4, 100080. [Google Scholar] [CrossRef]
- Chen, W.-S.; Jian, G.-C.; Lee, C.-H. Recovery and separation of dysprosium from waste neodymium magnets through Cyphos IL 104 extraction. Materials 2022, 15, 5281. [Google Scholar] [CrossRef] [PubMed]
- Kumari, A.; Sinha, M.K.; Sahu, S.K.; Pandey, B.D. Solvent extraction and separation of trivalent lanthanides using Cyphos IL 104, a novel phosphonium ionic liquid as extractant. Solvent Extr. Ion Exch. 2016, 34, 469. [Google Scholar] [CrossRef]
- Devi, N.; Sukla, L.B. Studies on Liquid-Liquid Extraction of Yttrium and Separation from Other Rare Earth Elements Using Bifunctional Ionic Liquids. Miner. Process. Extr. Metall. Rev. 2019, 40, 46. [Google Scholar] [CrossRef]
- Obón Estrada, E. Towards the Recovery of Rare Earth Elements from End-of-Life Products: Hydrometallurgical Routes and Mathematical Modelling of Extraction Systems. Ph.D. Thesis, UPC, Departament d’Enginyeria Química, Barcelona, Spain, 2019. [Google Scholar] [CrossRef]
- Pospiech, B. Studies on extraction and permeation of cadmium (II) using Cyphos IL 104 as selective extractant and ion carrier. Hydrometallurgy 2015, 154, 88–94. [Google Scholar] [CrossRef]
- Baczyńska, M.; Słomka, Ż.; Rzelewska, M.; Waszak, M.; Nowicki, M.; Regel-Rosocka, M. Characterization of polymer inclusion membranes (PIM) containing phosphonium ionic Journal Pre-proof Journal Pre-proof 15 liquids and their application for separation of Zn(II) from Fe(III). J. Chem. Technol. Biotechnol. 2018, 93, 1767–1777. [Google Scholar] [CrossRef]
- Liu, Y.H.; Zhu, L.L.; Xiaoqi Sun, X.Q.; Chen, J. Toward Greener Separations of Rare Earths: Bifunctional Ionic Liquid Extractants in Biodiesel. AIChE J. 2010, 5, 2338–2346. [Google Scholar] [CrossRef]
- Vander Hoogerstraete, T.; Wellens, S.; Verachtert, K.; Binnemans, K. Removal of transition metals from rare earths by solvent extraction with an undiluted phosphonium ionic liquid: Separations relevant to rare-earth magnet recycling. Green Chem. 2013, 15, 919. [Google Scholar] [CrossRef]
- Tunsu, C.; Petranikova, M.; Gergoric, M.; Ekberg, C.; Retegan, T. Reclaiming rare earth elements from end-of-life products: A review of the perspectives for urban mining using hydrometallurgical unit operations. Hydrometallurgy 2015, 156, 239–258. [Google Scholar] [CrossRef]








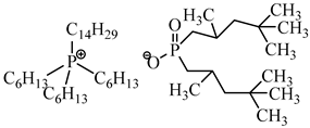
| Chemical Structure of PIM Components | Properties |
|---|---|
Extractant: Cyphos IL 104![]() Polymer: CTA ![]() | Molecular formula: Physical state 25 °C: Yellow viscous liquid Molar mass (g mol−1): 773.27 Density (g mL−1): 0.895 Viscosity at 25 °C: 806 mPa S Tm (melting temperature) = 302 °C |
| Eluents | Time (h) | Back-Extraction Efficiency (%) | |||
|---|---|---|---|---|---|
| Y | La | Nd | Sm | ||
| HNO3 | 1 | 62 ± 6 | 72 ± 5 | 63 ± 10 | 66 ± 11 |
| 4 | 70 ± 10 | 74 ± 5 | 75 ± 10 | 67 ± 7 | |
| H2SO4 | 1 | 64 ± 6 | 100 | 73 ± 11 | 62 ± 6 |
| 4 | 64 ± 18 | 100 | 74 ± 3 | 61 ± 8 | |
| Mixture | Metals (M) | Extraction (%) | SF REE/Metal |
|---|---|---|---|
| 1 | Nd | 100 | |
| Co | 0 | Quant | |
| B | 0 | Quant | |
| 2 | Sm | 65 ± 5 | |
| Co | 0 | Quant | |
| Cu | 0 | Quant | |
| 3 | La | 100 | |
| Co | 13 ± 1 | 6970 ± 640 | |
| Ni | 10 ± 1 | 8900 ± 1000 | |
| Cu | 16 ± 2 | 5400 ± 850 |
Disclaimer/Publisher’s Note: The statements, opinions and data contained in all publications are solely those of the individual author(s) and contributor(s) and not of MDPI and/or the editor(s). MDPI and/or the editor(s) disclaim responsibility for any injury to people or property resulting from any ideas, methods, instructions or products referred to in the content. |
© 2024 by the authors. Licensee MDPI, Basel, Switzerland. This article is an open access article distributed under the terms and conditions of the Creative Commons Attribution (CC BY) license (https://creativecommons.org/licenses/by/4.0/).
Share and Cite
Malki, M.; Mitiche, L.; Sahmoune, A.; Fontàs, C. New Insights on Y, La, Nd, and Sm Extraction with Bifunctional Ionic Liquid Cyphos IL 104 Incorporated in a Polymer Inclusion Membrane. Membranes 2024, 14, 182. https://doi.org/10.3390/membranes14090182
Malki M, Mitiche L, Sahmoune A, Fontàs C. New Insights on Y, La, Nd, and Sm Extraction with Bifunctional Ionic Liquid Cyphos IL 104 Incorporated in a Polymer Inclusion Membrane. Membranes. 2024; 14(9):182. https://doi.org/10.3390/membranes14090182
Chicago/Turabian StyleMalki, Mohamed, Lynda Mitiche, Amar Sahmoune, and Clàudia Fontàs. 2024. "New Insights on Y, La, Nd, and Sm Extraction with Bifunctional Ionic Liquid Cyphos IL 104 Incorporated in a Polymer Inclusion Membrane" Membranes 14, no. 9: 182. https://doi.org/10.3390/membranes14090182
APA StyleMalki, M., Mitiche, L., Sahmoune, A., & Fontàs, C. (2024). New Insights on Y, La, Nd, and Sm Extraction with Bifunctional Ionic Liquid Cyphos IL 104 Incorporated in a Polymer Inclusion Membrane. Membranes, 14(9), 182. https://doi.org/10.3390/membranes14090182



