Impact of Sub-Ambient Temperature on Aging Rate and Gas Separation Properties of Polymers of Intrinsic Microporosity
Abstract
1. Introduction
2. Experimental Section
2.1. Materials
2.2. Methods
3. Results and Discussion
3.1. PIM-1 Separation Properties at Low Temperatures
3.2. Study of Aging in PIM-1
3.2.1. Impact of Aging on Gas Separation Properties
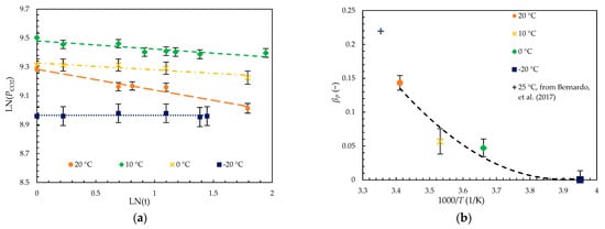
3.2.2. Effect of Temperature on Aging Rate
4. Conclusions
Author Contributions
Funding
Data Availability Statement
Acknowledgments
Conflicts of Interest
References
- McKeown, N.B.; Budd, P.M.; Msayib, K.J.; Ghanem, B.S.; Kingston, H.J.; Tattershall, C.E.; Makhseed, S.; Reynolds, K.J.; Fritsch, D. Polymers of Intrinsic Microporosity (PIMs): Bridging the Void between Microporous and Polymeric Materials. Chem.—Eur. J. 2005, 11, 2610–2620. [Google Scholar] [CrossRef]
- Lin, H.; Freeman, B.D. Materials Selection Guidelines for Membranes That Remove CO2 from Gas Mixtures. J. Mol. Struct. 2005, 739, 57–74. [Google Scholar] [CrossRef]
- Bos, A.; Pünt, I.G.M.; Wessling, M.; Strathmann, H. CO2-Induced Plasticization Phenomena in Glassy Polymers. J. Membr. Sci. 1999, 155, 67–78. [Google Scholar] [CrossRef]
- Strum, L.C.E. Physical Aging in Plastics and Other Glassy Materials. Polym. Eng. Sci. 1977, 17, 165–173. [Google Scholar] [CrossRef]
- Hutchinson, J.M. Physical Aging of Polymers. Prog. Polym. Sci. 1995, 20, 703–760. [Google Scholar] [CrossRef]
- Staiger, C.L.; Pas, S.J.; Hill, A.J.; Cornelius, C.J. Gas Separation, Free Volume Distribution, and Physical Aging of a Highly Microporous Spirobisindane Polymer. Chem. Mater. 2008, 20, 2606–2608. [Google Scholar] [CrossRef]
- Harms, S.; Rätzke, K.; Faupel, F.; Chaukura, N.; Budd, P.M.; Egger, W.; Ravelli, L. Aging and Free Volume in a Polymer of Intrinsic Microporosity (PIM-1). J. Adhes. 2012, 88, 608–619. [Google Scholar] [CrossRef]
- Swaidan, R.; Ghanem, B.; Litwiller, E.; Pinnau, I. Physical Aging, Plasticization and Their Effects on Gas Permeation in “Rigid” Polymers of Intrinsic Microporosity. Macromolecules 2015, 48, 6553–6561. [Google Scholar] [CrossRef]
- Smith, S.J.D.; Hou, R.; Konstas, K.; Akram, A.; Lau, C.H.; Hill, M.R. Control of Physical Aging in Super-Glassy Polymer Mixed Matrix Membranes. Acc. Chem. Res. 2020, 53, 1381–1388. [Google Scholar] [CrossRef] [PubMed]
- Lau, C.H.; Nguyen, P.T.; Hill, M.R.; Thornton, A.W.; Konstas, K.; Doherty, C.M.; Mulder, R.J.; Bourgeois, L.; Liu, A.C.Y.; Sprouster, D.J.; et al. Ending Aging in Super Glassy Polymer Membranes. Angew. Chem. Int. Ed. 2014, 53, 5322–5326. [Google Scholar] [CrossRef]
- Almansour, F.; Alberto, M.; Bhavsar, R.S.; Fan, X.; Budd, P.M.; Gorgojo, P. Recovery of Free Volume in PIM-1 Membranes through Alcohol Vapor Treatment. Front. Chem. Sci. Eng. 2021, 15, 872–881. [Google Scholar] [CrossRef]
- Liu, L.; Sanders, E.S.; Kulkarni, S.S.; Hasse, D.J.; Koros, W.J. Sub-Ambient Temperature Flue Gas Carbon Dioxide Capture via Matrimid® Hollow Fiber Membranes. J. Membr. Sci. 2014, 465, 49–55. [Google Scholar] [CrossRef]
- Ji, W.; Li, K.; Min, Y.-G.; Shi, W.; Li, J.; Ma, X. Remarkably Enhanced Gas Separation Properties of PIM-1 at Sub-Ambient Temperatures. J. Membr. Sci. 2021, 623, 119091. [Google Scholar] [CrossRef]
- Huang, Y.; Paul, D.R. Effect of Temperature on Physical Aging of Thin Glassy Polymer Films. Macromolecules 2005, 38, 10148–10154. [Google Scholar] [CrossRef]
- Hasse, D.; Kulkarni, S.; Sanders, E.; Corson, E.; Tranier, J.P. CO2 Capture by Sub-Ambient Membrane Operation. Energy Procedia 2013, 37, 993–1003. [Google Scholar] [CrossRef]
- Budd, P.; Msayib, K.; Tattershall, C.; Ghanem, B.; Reynolds, K.; McKeown, N.; Fritsch, D. Gas Separation Membranes from Polymers of Intrinsic Microporosity. J. Membr. Sci. 2005, 251, 263–269. [Google Scholar] [CrossRef]
- Nagai, K.; Higuchi, A.; Nakagawa, T. Gas Permeability and Stability of Poly(1-trimethylsilyl-1-propyne-Co-1-phenyl-1-propyne) Membranes. J. Polym. Sci. B Polym. Phys. 1995, 33, 289–298. [Google Scholar] [CrossRef]
- Wiederhorn, S.; Fields, R.; Low, S.; Bahng, G.-W.; Wehrstedt, A.; Hahn, J.; Tomota, Y.; Miyata, T.; Lin, H.; Freeman, B.; et al. Mechanical Properties. In Springer Handbook of Materials Measurement Methods; Springer: Berlin/Heidelberg, Germany, 2006; pp. 283–397. [Google Scholar]
- Crank, J. Diffusion in a Plane Sheet. In The Mathematics of Diffusion; Oxford University Press: Oxford, UK, 1975; pp. 44–68. [Google Scholar]
- Wang, J.-Y.; Mangano, E.; Brandani, S.; Brandani, F.; Pullumbi, P. A novel adsorption differential volumetric apparatus to measure mass transfer in nanoporous materials. Sep. Purif. Technol. 2022, 283, 120210. [Google Scholar] [CrossRef]
- Vieth, W.R.; Sladek, K.J. A Model for Diffusion in a Glassy Polymer. J. Colloid Sci. 1965, 20, 1014–1033. [Google Scholar] [CrossRef]
- Ghosal, K.; Freeman, B.D. Gas Separation Using Polymer Membranes: An Overview. Polym. Adv. Technol. 1994, 5, 673–697. [Google Scholar] [CrossRef]
- Rowe, B.W.; Robeson, L.M.; Freeman, B.D.; Paul, D.R. Influence of Temperature on the Upper Bound: Theoretical Considerations and Comparison with Experimental Results. J. Membr. Sci. 2010, 360, 58–69. [Google Scholar] [CrossRef]
- Wijmans, J.G.; Baker, R.W. The Solution–Diffusion Model: A Unified Approach to Membrane Permeation. In Materials Science of Membranes for Gas and Vapor Separation; Wiley: Hoboken, NJ, USA, 2006; pp. 159–189. [Google Scholar]
- Li, P.; Chung, T.S.; Paul, D.R. Temperature Dependence of Gas Sorption and Permeation in PIM-1. J. Membr. Sci. 2014, 450, 380–388. [Google Scholar] [CrossRef]
- Budd, P.; McKeown, N.; Ghanem, B.; Msayib, K.; Fritsch, D.; Starannikova, L.; Belov, N.; Sanfirova, O.; Yampolskii, Y.; Shantarovich, V. Gas Permeation Parameters and Other Physicochemical Properties of a Polymer of Intrinsic Microporosity: Polybenzodioxane PIM-1. J. Membr. Sci. 2008, 325, 851–860. [Google Scholar] [CrossRef]
- Thomas, S.; Pinnau, I.; Du, N.; Guiver, M.D. Pure- and Mixed-Gas Permeation Properties of a Microporous Spirobisindane-Based Ladder Polymer (PIM-1). J. Membr. Sci. 2009, 333, 125–131. [Google Scholar] [CrossRef]
- Huang, Y.; Paul, D.R. Effect of Film Thickness on the Gas-Permeation Characteristics of Glassy Polymer Membranes. Ind. Eng. Chem. Res. 2007, 46, 2342–2347. [Google Scholar] [CrossRef]
- Begni, F.; Lasseuguette, E.; Paul, G.; Bisio, C.; Marchese, L.; Gatti, G.; Ferrari, M.-C. Hyper-Cross-Linked Polymers with Sulfur-Based Functionalities for the Prevention of Aging Effects in PIM-1 Mixed Matrix Membranes. ACS Appl. Polym. Mater. 2023, 5, 4011–4018. [Google Scholar] [CrossRef]
- Tiwari, R.R.; Jin, J.; Freeman, B.D.; Paul, D.R. Physical Aging, CO2 Sorption and Plasticization in Thin Films of Polymer with Intrinsic Microporosity (PIM-1). J. Membr. Sci. 2017, 537, 362–371. [Google Scholar] [CrossRef]
- Bernardo, P.; Bazzarelli, F.; Tasselli, F.; Clarizia, G.; Mason, C.R.; Maynard-Atem, L.; Budd, P.M.; Lanč, M.; Pilnáček, K.; Vopička, O.; et al. Effect of Physical Aging on the Gas Transport and Sorption in PIM-1 Membranes. Polymer 2017, 113, 283–294. [Google Scholar] [CrossRef]
- Claude, G.; Hasse, D.J. Method for Purifying Biogas through Membranes at Negative. Temperatures. Patent No. FR1458225A, 3 September 2014. [Google Scholar]
- Corrado, T.J.; Huang, Z.; Huang, D.; Wamble, N.; Luo, T.; Guo, R. Pentiptycene-Based Ladder Polymers with Configurational Free Volume for Enhanced Gas Separation Performance and Physical Aging Resistance. Proc. Natl. Acad. Sci. USA 2021, 118, e2022204118. [Google Scholar] [CrossRef]







| EP | ED | ΔH | ||
|---|---|---|---|---|
| kJ/mol | kJ/mol | kJ/mol | ||
| Fresh PIM-1_A (day 1–3) | CO2 | 2.88 | 15.56 | −12.68 |
| N2 | 16.52 | 30.89 | −14.37 | |
| Aged PIM-1_A (day 500+) | CO2 | 12.75 | 25.09 | −12.34 |
| N2 | 25.31 | ND | ND | |
| Ji et al. (2021) [13] | CO2 | 11.88 | 25.44 | −15.40 |
| N2 | 23.01 | 37.66 | −14.10 | |
| Li et al. (2014) [25] | CO2 | 1.70 | 17.60 | −15.90 |
| N2 | 11.90 | 25.10 | −13.00 | |
| Budd et al. (2008) [26] | CO2 | −1.50 | - | - |
| N2 | 11.90 | - | - | |
| Thomas et al. (2009) [27] | CO2 | −1.00 | - | - |
| N2 | 14.30 | - | - | |
Disclaimer/Publisher’s Note: The statements, opinions and data contained in all publications are solely those of the individual author(s) and contributor(s) and not of MDPI and/or the editor(s). MDPI and/or the editor(s) disclaim responsibility for any injury to people or property resulting from any ideas, methods, instructions or products referred to in the content. |
© 2024 by the authors. Licensee MDPI, Basel, Switzerland. This article is an open access article distributed under the terms and conditions of the Creative Commons Attribution (CC BY) license (https://creativecommons.org/licenses/by/4.0/).
Share and Cite
Dieudonné, P.; Rea, R.; Lasseuguette, E.; Ferrari, M.-C. Impact of Sub-Ambient Temperature on Aging Rate and Gas Separation Properties of Polymers of Intrinsic Microporosity. Membranes 2024, 14, 132. https://doi.org/10.3390/membranes14060132
Dieudonné P, Rea R, Lasseuguette E, Ferrari M-C. Impact of Sub-Ambient Temperature on Aging Rate and Gas Separation Properties of Polymers of Intrinsic Microporosity. Membranes. 2024; 14(6):132. https://doi.org/10.3390/membranes14060132
Chicago/Turabian StyleDieudonné, Pierre, Riccardo Rea, Elsa Lasseuguette, and Maria-Chiara Ferrari. 2024. "Impact of Sub-Ambient Temperature on Aging Rate and Gas Separation Properties of Polymers of Intrinsic Microporosity" Membranes 14, no. 6: 132. https://doi.org/10.3390/membranes14060132
APA StyleDieudonné, P., Rea, R., Lasseuguette, E., & Ferrari, M.-C. (2024). Impact of Sub-Ambient Temperature on Aging Rate and Gas Separation Properties of Polymers of Intrinsic Microporosity. Membranes, 14(6), 132. https://doi.org/10.3390/membranes14060132

