Microstructures of Directionally Solidified Nb15Ti55Fe30 Alloy and Its Hydrogen Permeation Properties in the Presence of H2S
Abstract
1. Introduction
2. Experimental and Numerical Procedures
2.1. Sample Preparation
2.2. Hydrogen Permeation Test
2.3. Sample Characterisation
2.4. Computational Methods
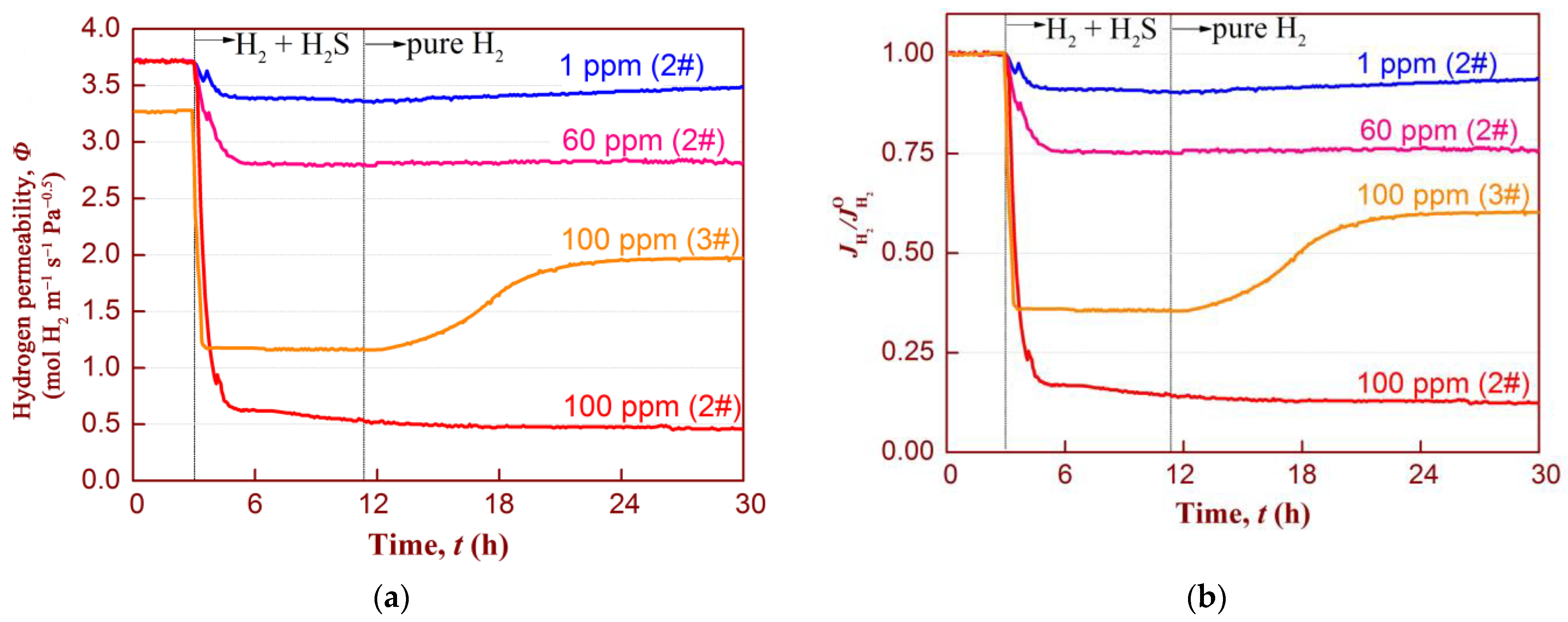
3. Results and Discussion
- where the symbols ‘g’, ‘∗’, and ‘ad’ represent the gas, surface site, and a different adsorbed intermediate, respectively. The overall reaction for the above four steps is as follows:
4. Conclusions
Author Contributions
Funding
Data Availability Statement
Acknowledgments
Conflicts of Interest
References
- Lin, H.; Lu, Y.; Zhang, L.; Liu, H.; Edalati, K. Recent advances in metastable alloys for hydrogen storage: A review. Rare Met. 2022, 41, 1797–1817. [Google Scholar] [CrossRef]
- El-Emam, R.; Özcan, H.; Rami, S. Comprehensive review on the techno-economics of sustainable large-scale clean hydrogen production. J. Clean. Prod. 2019, 220, 593–609. [Google Scholar] [CrossRef]
- Chi, J.; Yu, H. Water electrolysis based on renewable energy for hydrogen production. Chin. J. Catal. 2018, 39, 390–394. [Google Scholar] [CrossRef]
- Midilli, A.; Kucuk, H.; Topal, M.; Akbulut, U.; Dincer, I. A comprehensive review on hydrogen production from coal gasification: Challenges and Opportunities. Int. J. Hydrogen Energy 2021, 46, 25385–25412. [Google Scholar] [CrossRef]
- Liu, X.; Chen, H.; Yuan, J.; Li, X.; Yu, J. Evaluation and screening of metal-organic frameworks for the adsorption and separation of methane and hydrogen. Mater. Today Commun. 2022, 33, 104602. [Google Scholar] [CrossRef]
- Magnone, E.; Shin, M.; Lee, J.; Park, J. Relationship between hydrogen permeability and the physical-chemical characteristics of metal alloy membranes. J. Membr. Sci. 2023, 674, 121513. [Google Scholar] [CrossRef]
- Saini, N.; Awasthi, K. Insights into the progress of polymeric nano-composite membranes for hydrogen separation and purification in the direction of sustainable energy resources. Sep. Purif. Technol. 2022, 282, 120029. [Google Scholar] [CrossRef]
- Jia, H.; Wu, P.; Zeng, G.; Eduardo, S.; Serrano, A.; Castro, G.; Xu, H.; Sun, C.; Goldbach, A. High-temperature stability of Pd alloy membranes containing Cu and Au. J. Membr. Sci. 2017, 544, 151–160. [Google Scholar] [CrossRef]
- Peters, T.; Kaleta, T.; Stange, M.; Bredesen, R. Development of thin binary and ternary Pd-based alloy membranes for use in hydrogen production. J. Membr. Sci. 2011, 383, 124–134. [Google Scholar] [CrossRef]
- Li, X.; Huang, F.; Su, Y.; Guo, J.; Rettenmayr, M.; Liu, D. Development of dual-phase V90Fe5Al5/Cu alloys for enhanced malleability and sustainable hydrogen permeability. J. Membr. Sci. 2019, 591, 117325. [Google Scholar] [CrossRef]
- Sun, H.; Liu, B.; Pu, G. Improved High-Temperature Stability and Hydrogen Penetration through a Pd/Ta Composite Membrane with a TaTiNbZr Intermediate Layer. Coatings 2024, 14, 370. [Google Scholar] [CrossRef]
- Hara, S.; Hatakeyama, N.; Itoh, N.; Kimura, H.-M.; Inoue, A. Hydrogen permeation through amorphous-Zr36−xHfxNi64-alloy membranes. J. Membr. Sci. 2003, 211, 149–156. [Google Scholar] [CrossRef]
- Kashkarov, E.; Krotkevich, D.; Koptsev, M.; Ognev, S.; Svyatkin, L.; Travitzky, N.; Lider, A. Microstructure and Hydrogen Permeability of Nb-Ni-Ti-Zr-Co High Entropy Alloys. Membranes 2022, 12, 1157. [Google Scholar] [CrossRef] [PubMed]
- Lee, J.; Park, C.; Park, H.; Kang, N. Effective hydrogen diffusion coefficient for CoCrFeMnNi high-entropy alloy and microstructural behaviors after hydrogen permeation. Int. J. Hydrogen Energy 2020, 45, 10227–10232. [Google Scholar] [CrossRef]
- Dolan, M. Non-Pd BCC alloy membranes for industrial hydrogen separation. J. Membr. Sci. 2010, 362, 12–28. [Google Scholar] [CrossRef]
- Nemanič, V. Hydrogen permeation barriers: Basic requirements, materials selection, deposition methods, and quality evaluation. Nucl. Mater. Energy 2019, 19, 451–457. [Google Scholar] [CrossRef]
- Yan, E.; Zhou, Z.; Huang, R. Microstructure and hydrogen transport behaviour of Nb5Ti58Fe35M2 alloy membranes. J. Alloys Compd. 2023, 958, 170520. [Google Scholar] [CrossRef]
- Yan, E.; Min, R.; Huang, H. Multiphase Nb–TiCo alloys: The significant impact of surface corrosion on the structural stability and hydrogen permeation behaviour. Int. J. Hydrogen Energy 2019, 44, 16684–16697. [Google Scholar] [CrossRef]
- Petriev, I.; Pushankina, P.; Bolotin, S.; Lutsenko, I.; Kukueva, E.; Baryshev, M. The influence of modifying nanoflower and nanostar type Pd coatings on low temperature hydrogen permeability through Pd-containing membranes. J. Membr. Sci. 2021, 620, 118894. [Google Scholar] [CrossRef]
- Kurth, M.; Javed, M.; Schliermann, T. Pure Hydrogen and Methane Permeation in Carbon-Based Nanoporous Membranes: Adsorption Isotherms and Permeation Experiments. Membranes 2024, 14, 123. [Google Scholar] [CrossRef]
- Chen, L.; Li, S.; Yin, Z. Hydrogen Flux Inhibition of Pd-Ru Membranes under Exposure to NH3. Membranes 2024, 14, 59. [Google Scholar] [CrossRef] [PubMed]
- Khatib, S.J.; Oyama, S.T. Silica membranes for hydrogen separation prepared by chemical vapor deposition (CVD). Sep. Purif. Technol. 2013, 111, 20–42. [Google Scholar] [CrossRef]
- Pushankina, P.; Andreev, G.; Petriev, I. Hydrogen Permeability of Composite Pd–Au/Pd–Cu Membranes and Methods for Their Preparation. Membranes 2023, 13, 649. [Google Scholar] [CrossRef] [PubMed]
- Yukawa, H.; Nambu, T.; Matsumoto, Y.; Watanabe, N.; Zhang, G.; Morinaga, M. Alloy design of Nb-Based hydrogen permeable membrane with strong resistance to hydrogen embrittlement. Mater. Trans. 2008, 49, 2202–2207. [Google Scholar] [CrossRef]
- Awakura, Y.; Nambu, T.; Matsumoto, Y.; Yukawa, H. Hydrogen solubility and permeability of Nb-W-Mo alloy membrane. J. Alloys Compd. 2011, 509, S877–S880. [Google Scholar] [CrossRef]
- Ishikawa, K.; Watanabe, S.; Aoki, K. Microstructure and hydrogen permeability in Nb–TiFe alloys. J. Alloys Compd. 2013, 566, 68–72. [Google Scholar] [CrossRef]
- Paglieri, S.; Pal, N.; Dolan, M.; Kim, S.; Chien, W.; Lamb, J.; Chandra, D.; Hubbard, K.; Moore, D. Hydrogen permeability, thermal stability and hydrogen embrittlement of Ni–Nb–Zr and Ni–Nb–Ta–Zr amorphous alloy membranes. J. Membr. Sci. 2011, 378, 42–50. [Google Scholar] [CrossRef]
- Yan, E.; Min, R.; Zhao, P.; Misra, R.; Huang, P.; Zou, Y.; Chu, H.; Zhang, H.; Xu, F.; Sun, L. Design of Nb-based multi-phase alloy membranes for high hydrogen permeability and suppressed hydrogen embrittlement. J. Membr. Sci. 2020, 595, 117531. [Google Scholar] [CrossRef]
- Yan, E.; Chen, Y.; Zhang, K.; Zou, Y.; Chu, H.; Sun, L. Design of hydrogen separatinwg Nb-Ti-Fe membranes with high permeability and low cost. Sep. Purif. Technol. 2021, 257, 117945. [Google Scholar] [CrossRef]
- Yan, E.; Huang, H.; Sun, S.; Zou, Y.; Chu, H.; Sun, L. Development of Nb-Ti-Co Alloy for High-Performance Hydrogen Separating Membrane. J. Membr. Sci. 2018, 565, 411–424. [Google Scholar] [CrossRef]
- Li, X.; Liu, D.; Liang, X.; Chen, R.; Rettenmayr, M.; Su, Y.; Guo, J.; Fu, H. Substantial enhancement of hydrogen permeability and embrittlement resistance of Nb30Ti25Hf10Co35 eutectic alloy membranes by directional solidification. J. Membr. Sci. 2015, 496, 165–173. [Google Scholar] [CrossRef]
- Lu, Y.; Gou, M.; Bai, R.; Zhang, Y.; Chen, Z. First-principles study of hydrogen behavior in vanadium-based binary alloy membranes for hydrogen separation. Int. J. Hydrogen Energy 2017, 42, 22925–22932. [Google Scholar] [CrossRef]
- Alfonso, D. First-principles study of sulfur overlayers on Pd(111) surface. Surface Sci. 2005, 596, 229–241. [Google Scholar] [CrossRef]
- Zhao, Y.; Zhang, B.; Hou, H.; Chen, W.; Wang, M. Phase-field simulation for the evolution of solid/liquid interface front in directional solidification process. J. Mater. Sci. Technol. 2019, 35, 1044–1052. [Google Scholar] [CrossRef]
- Li, Y.; Liu, X.; Li, L.; Zhang, Z.; Shen, X. Theoretical new insights into hydrogen interaction with single-atom Zn- and co-doped copper metal catalysts. Appl. Surf. Sci. 2021, 551, 149365. [Google Scholar] [CrossRef]
- Zhang, Y.; Maeda, R.; Komaki, M.; Nishimura, C. Hydrogen permeation and diffusion of metallic composite membranes. J. Membr. Sci. 2006, 269, 60–65. [Google Scholar] [CrossRef]
- Roa, F.; Way, J.; McCormick, R.; Paglieri, S. Preparation and characterization of Pd–Cu composite membranes for hydrogen separation. Chem. Eng. J. 2003, 93, 11–22. [Google Scholar] [CrossRef]
- Nishimura, C.; Komaki, M.; Hwang, S.; Amano, M. V–Ni Alloy Membranes for Hydrogen Purification. J. Alloys Compd. 2002, 330, 902–906. [Google Scholar] [CrossRef]
- He, Y.; Su, Y.; Yu, H.; Chen, C. First-principles study of hydrogen trapping and diffusion at grain boundaries in γ-Fe. Int. J. Hydrogen Energy 2021, 46, 7589–7600. [Google Scholar] [CrossRef]
- Díaz, A.; Cuesta, I.; Martinez-Pañeda, E. Analysis of hydrogen permeation tests considering two different modelling approaches for grain boundary trapping in iron. Int. J. Fract. 2020, 223, 17–35. [Google Scholar] [CrossRef]
- Li, X.; Liang, X.; Liu, D.; Chen, R.; Rettenmayr, M.; Su, Y.; Guo, J.; Fu, H. Microstructure dependent hydrogen permeability in eutectic Nb30Ti35Co35. Int. J. Hydrogen Energy 2016, 41, 13086–13092. [Google Scholar] [CrossRef]
- Ishikawa, K.; Saeki, Y.; Miyajima, Y.; Watanuki, T.; Machida, A. Effects of Rolling and Annealing on Hydrogen Permeability and Crystal Orientation in Nb-TiNi Two-Phase Alloys. Int. J. Hydrogen Energy 2019, 44, 23101–23106. [Google Scholar] [CrossRef]
- Ling, C. First-principles study of palladium-based metal alloys as hydrogen purification membranes. Ga. Inst. Technol. 2009, 3394419. Available online: http://hdl.handle.net/1853/31798 (accessed on 21 November 2024).
- McKinley, D. Metal Alloy for Hydrogen Separation and Purification. US Patent 3,350,845, 7 November 1967. [Google Scholar]
- Mundschau, M.; Xie, X.; Evenson, C.; Sammells, A. Dense inorganic membranes for production of hydrogen from methane and coal with carbon dioxide sequestration. Catal. Today 2006, 118, 12–23. [Google Scholar] [CrossRef]
- Mejdell, A.; Chen, D.; Peters, T.; Bredesen, R.; Venvik, H. The effect of heat treatment in air on CO inhibition of a ∼3μm Pd–Ag (23wt.%) membrane. J. Membr. Sci. 2010, 350, 371–377. [Google Scholar] [CrossRef]
- Morreale, B.; Howard, B.; Iyoha, O.; Enick, R.; Ling, C.; Sholl, D.S. Experimental and computational prediction of the hydrogen transport properties of Pd4S. Ind. Eng. Chem. Res. 2007, 46, 6313–6319. [Google Scholar] [CrossRef]
- Braun, F.; Miller, J.; Gellman, A.; Tarditi, A.; Fleutot, B.; Kondratyuk, P.; Cornaglia, L. PdAgAu alloy with high resistance to corrosion by H2S. Int. J. Hydrogen Energy 2012, 37, 18547–18555. [Google Scholar] [CrossRef]
- Zhou, H.; Zhang, Y.; Xin, O. Dissolution and diffusion behaviors of hydrogen in copper: A first-principles investigation. Comput. Mater. Sci. 2013, 79, 923–928. [Google Scholar] [CrossRef]
- Zhou, X.; Mousseau, N.; Song, J. Is hydrogen diffusion along grain boundaries fast or slow? Atomistic origin and mechanistic modeling. Phys. Rev. Lett. 2019, 122, 215501. [Google Scholar] [CrossRef]
- Qin, J.; Liu, Z.; Zhao, W.; Wang, D.; Zhang, Y.; Zhong, Y.; Liu, J. Influence of Nickel Addition on the Stability, Trapping, and Diffusion Behaviour of Hydrogen in Vanadium: A First-Principles Investigation. Res. Sq. 2021. [Google Scholar] [CrossRef]
- Meng, C.; Hao, J.; Xu, K. Kinetic Monte Carlo codedevelopment and application on the formation of hydrogen-vacancy clusters in tungsten. Sci. China Phys. Mech. Astron. 2019, 62, 1–7. [Google Scholar] [CrossRef]
- Alfonso, D. First-principles studies of H2S adsorption and dissociation on metal surfaces. Surf. Sci. 2008, 602, 2758–2768. [Google Scholar] [CrossRef]
- Gao, D.; Zhao, B.; Wang, L.; Aslan, E.; Patir, I.; Yu, J.; Yu, H. Electron-enriched regulation of sulfur-active site for accelerating atomic hydrogen desorption of S-rich MoWS2+x cocatalyst toward efficient photocatalytic H2 evolution of TiO2. Chem. Eng. J. 2022, 449, 137803. [Google Scholar] [CrossRef]
- O’Brien, C.; Miller, J.; Morreale, B.; Gellman, A. H2-D2 exchange kinetics in the presence of H2S over Pd4S, Pd70Cu30, and Pd47Cu53 surfaces. J. Phys. Chem. C 2012, 116, 17657–17667. [Google Scholar] [CrossRef]
- Li, H.; Zhang, X.; Chu, H.; Qi, G.; Ding, H.; Gao, X.; Meng, J. Molecular Simulation on Permeation Behavior of CH4/CO2/H2S Mixture Gas in PVDF at Service Conditions. Polymers 2022, 14, 545. [Google Scholar] [CrossRef]
- Kulprathipanja, A.; Alptekin, G.; Falconer, J.; Way, J. Pd and Pd–Cu membranes: Inhibition of H2 permeation by H2S. J. Membr. Sci. 2005, 254, 49–62. [Google Scholar] [CrossRef]
- Huang, Y.; Liu, Z. DFT study on hydrogen and sulfur adsorption on (111) surface of Pd, Cu, Au, and PdAu, PdCu alloys. Acta Phys. Chim. Sin. 2008, 24, 1662–1668. [Google Scholar] [CrossRef]
- Lewis, A.; Zhao, H.; Syed, H. PdAu and PdAuAg composite membranes for hydrogen separation from synthetic water-gas shift streams containing hydrogen sulfide. J. Membr. Sci. 2014, 465, 167–176. [Google Scholar] [CrossRef]
- Braun, F.; Tarditi, A.; Miller, J.; Cornaglia, L. Pd-based binary and ternary alloy membranes: Morphological and perm-selective characterization in the presence of H2S. J. Membr. Sci. 2014, 450, 299–307. [Google Scholar] [CrossRef]
- Peters, T.; Kaleta, T.; Stange, M.; Bredesen, R. Development of ternary Pd–Ag–TM alloy membranes with improved sulphur tolerance. J. Membr. Sci. 2013, 429, 448–458. [Google Scholar] [CrossRef]
- Peters, T.; Stange, M.; Klette, H.; Bredesen, R. High pressure performance of thin Pd–23% Ag/stainless steel composite membranes in water gas shift.gas mixtures; influence of dilution, mass transfer and surface effects on the hydrogen flux. J. Membr. Sci. 2008, 316, 119–127. [Google Scholar] [CrossRef]
- Kulprathipanja, A.; Alptekin, G.; Falconer, J. Effects of water gas shift gases on Pd−Cu alloy membrane surface morphology and separation properties. Ind. Eng. Chem. Res. 2004, 43, 4188–4198. [Google Scholar] [CrossRef]
- Chen, C.; Ma, Y. The effect of H2S on the performance of Pd and Pd/Au composite membrane. J. Membr. Sci. 2010, 362, 535–544. [Google Scholar] [CrossRef]
- Gade, S.; DeVoss, S.; Coulter, K. Palladium–gold membranes in mixed gas streams with hydrogen sulfide: Effect of alloy content and fabrication technique. J. Membr. Sci. 2011, 378, 35–41. [Google Scholar] [CrossRef]
- Peters, T.; Kaleta, T.; Stange, M.; Bredesen, R. Hydrogen transport through a selection of thin Pd-alloy membranes: Membrane stability, H2S inhibition and flux recovery in hydrogen and simulated WGS mixtures. Catal. Today 2012, 193, 8–19. [Google Scholar] [CrossRef]
- Lewis, A.; Zhao, H.; Hopkins, S. Designing and Validating Ternary Pd Alloys for Optimum Sulfur/Carbon Resistance in Hydrogen Separation and Carbon Capture Membrane Systems Using High-Throughput Combinatorial Methods. United States N. p. 2014. [Google Scholar] [CrossRef]
- Melendez, J.; Nooijer, N.; Coenen, K.; Fernandez, E.; Viviente, J.; Annaland, M. Effect of Au addition on hydrogen permeation and the resistance to H2S on Pd-Ag alloy membranes. J. Membr. Sci. 2017, 542, 329–341. [Google Scholar] [CrossRef]
- Kusada, K.; Yamauchi, M.; Kobayashi, H. Hydrogen-storage properties of solid-solution alloys of immiscible neighboring elements with Pd. J. Am. Chem. Soc. 2010, 132, 15896–15898. [Google Scholar] [CrossRef]
- Pati, S.; Jat, R.; Anand, N.; Derose, J.; Karn, K.; Mukerjee, S.; Parida, S. Pd-Ag-Cu dense metallic membrane for hydrogen isotope purification and recovery at low pressures. J. Membr. Sci. 2017, 522, 151–158. [Google Scholar] [CrossRef]
- Dalla, F.; Sirini, N.; Cornaglia, L. Hydrogen permeation and surface properties of PdAu and PdAgAu membranes in the presence of CO, CO2 and H2S. J. Membr. Sci. 2018, 563, 351–359. [Google Scholar] [CrossRef]
- Fernandez, E.; Sanchez-Garcia, J.; Melendez, J.; Spallina, V.; Annaland, M.; Gallucci, F.; Pacheco, D.; Prema, R. Development of highly permeable ultra-thin Pd-based supported membranes. Chem. Eng. J. 2016, 305, 149–155. [Google Scholar] [CrossRef]
- Singh, H.; Saxena, P.; Puri, Y. The manufacturing and applications of the porous metal membranes: A critical review. CIRP J. Manuf. Sci. Technol. 2021, 33, 339–368. [Google Scholar] [CrossRef]













| Sample | Composition (at. %) | Constituting Phases | Orientation Relationship | |||||
|---|---|---|---|---|---|---|---|---|
| Nominal | Measured | |||||||
| Nb | Ti | Fe | Nb | Ti | Fe | |||
| AC-Nb15Ti55Fe30 * | Bal. | 55 | 30 | Bal. | 55.1 | 29.8 | bcc-Nb, TiFe | [110]bcc-Nb/[110]TiFe [001]bcc-Nb/[001]TiFe |
| DS-Nb15Ti55Fe30 * | Bal. | 55 | 30 | Bal. | 54.2 | 29.5 | bcc-Nb, TiFe | None |
| Nos. | Sample | Catalytic Layer (at. %) | H2S Concentration (ppm) | Temperature (K) | Hydrogen Permeability, Φ (10−8 mol H2 m−1 s−1 Pa−0.5) |
|---|---|---|---|---|---|
| 1# | AC-Nb15Ti55Fe30 | Pd | 0 | 673 | 2.65 |
| 2# | DS-Nb15Ti55Fe30 | Pd | 0 | 673 | 3.71 |
| 1 | 673 | 3.38 | |||
| 60 | 673 | 2.81 | |||
| 100 | 673 | 0.51 | |||
| 3# | DS-Nb15Ti55Fe30 | Pd88Au12 | 0 | 673 | 3.26 |
| 100 | 673 | 1.16 |
| Reference | Membrane Composition | Fabrication Technique * | Temperature (K)/Time (h) of Exposure | Feed Composition (H2S/H2) | Decline Rate of Permeability (%) | H2 Recovery (%) | Sulfide Species |
|---|---|---|---|---|---|---|---|
| McKinley [44] | Pure Pd/Prous stainless steel | MS | 623/144 | 4.7 ppm H2S/H2 | 70 | 100 | No sulfide formation |
| Mundschau [45] | Pure Pd | Pd foil | 593/120 | 20 ppm H2S/H2 | 72 | — | Pd4S |
| Braun [60] | Pure Pd | ELP | 623/24 | 100 ppm H2S/H2 | 90 | 8 | Pd4S |
| Peters [61] | Pure Pd | MS | 723/1 | 20 ppm H2S/10% | 92 | 85 | — |
| Mundschau [45] | Pd75Ag25 | - | 593/72 | 10 ppm H2S/H2 | 84 | — | Pd4S and Ag5Pd10S5 |
| Peters [62] | Pd77Ag23 | MS | 723/1 | 20 ppm H2S in 90% H2 in N2 | 95 | 50 | Pd4S and Ag5Pd10S5 |
| Braun [60] | Pd90Ag10 | ELP | 673/24 | 100 ppm H2S/H2 | 75 | 32 | Pd4S and Ag5Pd10S5 |
| Kulprathipanja [63] | Pd27Cu73 | ELP | 723 K/10 | 250 ppm H2S in N2/H2 | 90 | 30 | — |
| Kulprathipanja [57] | Pd68Cu32 | MS | 723/145 | 100 ppm H2S in N2/H2 | 40 | 66 | CuS |
| Chen [64] | Pd-8 wt.% Au | ELP | 673/5 | 54.8 ppm H2S/H2 | 85 | 67 | No sulfide formation |
| McKinley [44] | Pd60Au40 | MS | 623/192 | 4 ppm H2S/H2 | 21 | — | — |
| Lewis [59] | Pd77Au23 | ELP | 773/70 | 20 ppm H2S/WGS | 29 | 97 | No sulfide formation |
| Gade [65] | Pd80Au20 | CW | 673/100 | 20 ppm H2S/WGS | 42 | — | Pd4S and Pd2.8S |
| Peters [66] | Pd85Au15 | MS | 723/1 | 100 ppm H2S/H2 | 90 | 88 | — |
| Lewis [67] | Pd90Au10 | MS | 773/48 | 5 ppm H2S/H2 | 60 | 75 | — |
| This work | Pd/DS-Nb15Ti55Fe30/Pd | MS | 673/8 | 100 ppm H2S/H2 | 86.5 | 0.3 | Pd4S, Pd2.8S and Pd16S7 |
| This work | Pd86Au14/DS-Nb15Ti55Fe30/Pd86Au14 | MS | 673/8 | 100 ppm H2S/H2 | 63.2 | 58.3 | No sulfide formation |
Disclaimer/Publisher’s Note: The statements, opinions and data contained in all publications are solely those of the individual author(s) and contributor(s) and not of MDPI and/or the editor(s). MDPI and/or the editor(s) disclaim responsibility for any injury to people or property resulting from any ideas, methods, instructions or products referred to in the content. |
© 2024 by the authors. Licensee MDPI, Basel, Switzerland. This article is an open access article distributed under the terms and conditions of the Creative Commons Attribution (CC BY) license (https://creativecommons.org/licenses/by/4.0/).
Share and Cite
Yan, E.; Huang, G.; Zhang, K.; Tao, L.; Chen, H.; Guo, Z.; Zhang, S.; Wang, Y.; Zhou, Z.; Li, T.; et al. Microstructures of Directionally Solidified Nb15Ti55Fe30 Alloy and Its Hydrogen Permeation Properties in the Presence of H2S. Membranes 2024, 14, 253. https://doi.org/10.3390/membranes14120253
Yan E, Huang G, Zhang K, Tao L, Chen H, Guo Z, Zhang S, Wang Y, Zhou Z, Li T, et al. Microstructures of Directionally Solidified Nb15Ti55Fe30 Alloy and Its Hydrogen Permeation Properties in the Presence of H2S. Membranes. 2024; 14(12):253. https://doi.org/10.3390/membranes14120253
Chicago/Turabian StyleYan, Erhu, Guanzhong Huang, Kexiang Zhang, Lizhen Tao, Hongfei Chen, Zhijie Guo, Shuo Zhang, Yihao Wang, Zirui Zhou, Tangwei Li, and et al. 2024. "Microstructures of Directionally Solidified Nb15Ti55Fe30 Alloy and Its Hydrogen Permeation Properties in the Presence of H2S" Membranes 14, no. 12: 253. https://doi.org/10.3390/membranes14120253
APA StyleYan, E., Huang, G., Zhang, K., Tao, L., Chen, H., Guo, Z., Zhang, S., Wang, Y., Zhou, Z., Li, T., & Sun, L. (2024). Microstructures of Directionally Solidified Nb15Ti55Fe30 Alloy and Its Hydrogen Permeation Properties in the Presence of H2S. Membranes, 14(12), 253. https://doi.org/10.3390/membranes14120253

