An Energy–Economic–Environment Tri-Objective Evaluation Method for Gas Membrane Separation Processes of H2/CO2
Abstract
:1. Introduction
2. Descriptions of the Process
3. Materials and Methods
3.1. Membrane Separation Unit Modeling and Membrane Materials
3.2. System Performance Indexes
- (1)
- CO2 purity
- (2)
- CO2 recovery
- (3)
- Specific CO2 energy consumption SEC
- (4)
- Specific CO2 capture cost SCC
- (5)
- Specific CO2 emission SE
3.3. Simulation and Optimization Details
4. Results and Discussion
4.1. Validation of the Membrane Unit
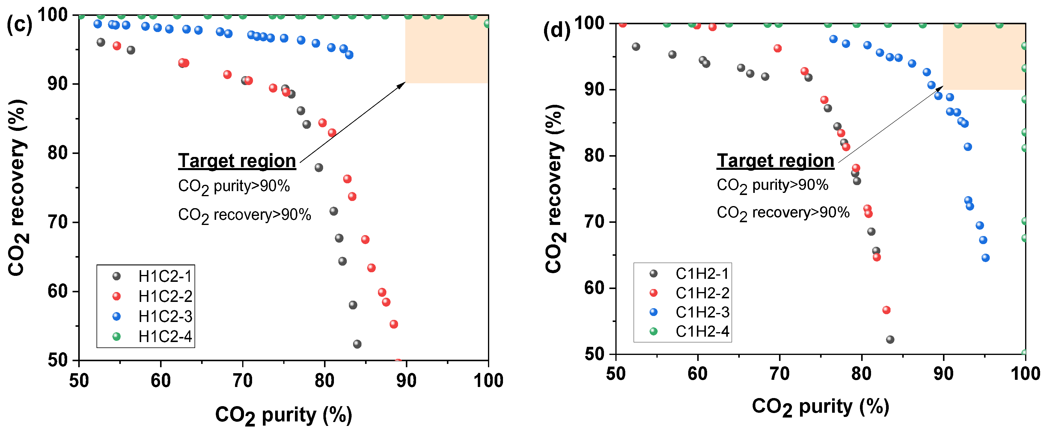
4.2. Comparison of CO2 Purity and Recovery of Different Membrane Separation Systems
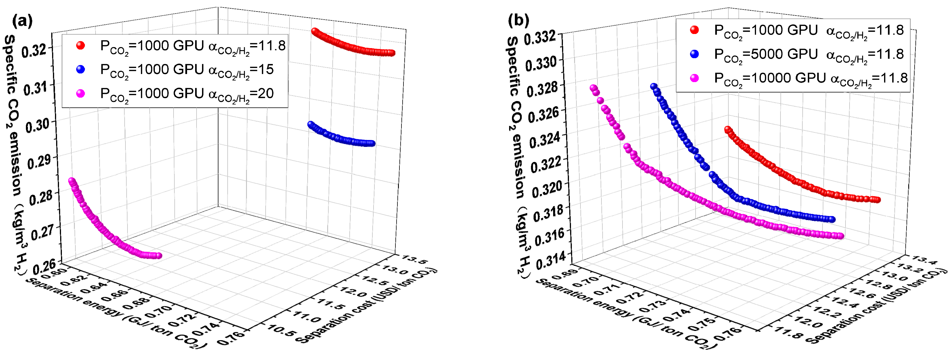
4.3. Comparison of Six Membrane Separation Systems That Have Met Separation Requirements
4.4. Influence of Feed Composition and Separation Requirements
4.4.1. Effects of Feed Composition
4.4.2. Impact of Separation Requirements
4.5. Effect of Separation Performance of Membrane Materials
5. Conclusions
Supplementary Materials
Author Contributions
Funding
Institutional Review Board Statement
Data Availability Statement
Conflicts of Interest
References
- Ramasubramanian, K.; Zhao, Y.; Winston Ho, W.S. CO2 capture and H2 purification: Prospects for CO2-selective membrane processes. AIChE J. 2013, 59, 1033–1045. [Google Scholar] [CrossRef]
- Kapetaki, Z.; Brandani, P.; Brandani, S.; Ahn, H. Process simulation of a dual-stage Selexol process for 95% carbon capture efficiency at an integrated gasification combined cycle power plant. Int. J. Greenh. Gas Control. 2015, 39, 17–26. [Google Scholar] [CrossRef]
- Giuliano, A.; Poletto, M.; Barletta, D. Pure hydrogen co-production by membrane technology in an IGCC power plant with carbon capture. Int. J. Hydrog. Energy 2018, 43, 19279–19292. [Google Scholar] [CrossRef]
- Franz, J.; Maas, P.; Scherer, V. Economic evaluation of pre-combustion CO2-capture in IGCC power plants by porous ceramic membranes. Appl. Energy 2014, 130, 532–542. [Google Scholar] [CrossRef]
- Xu, J.; Wang, Z.; Zhang, C.; Zhao, S.; Qiao, Z.; Li, P.; Wang, J.; Wang, S. Parametric analysis and potential prediction of membrane processes for hydrogen production and pre-combustion CO2 capture. Chem. Eng. Sci. 2015, 135, 202–216. [Google Scholar] [CrossRef]
- Soroodan Miandoab, E.; Kentish, S.E.; Scholes, C.A. Non-ideal modelling of polymeric hollow-fibre membrane systems: Pre-combustion CO2 capture case study. J. Membr. Sci. 2020, 595, 117470. [Google Scholar] [CrossRef]
- Han, Y.; Ho, W.S.W. Polymeric membranes for CO2 separation and capture. J. Membr. Sci. 2021, 628, 119244. [Google Scholar] [CrossRef]
- Giordano, L.; Gubis, J.; Bierman, G.; Kapteijn, F. Conceptual design of membrane-based pre-combustion CO2 capture process: Role of permeance and selectivity on performance and costs. J. Membr. Sci. 2019, 575, 229–241. [Google Scholar] [CrossRef]
- Gazzani, M.; Turi, D.M.; Manzolini, G. Techno-economic assessment of hydrogen selective membranes for CO2 capture in integrated gasification combined cycle. Int. J. Greenh. Gas Control 2014, 20, 293–309. [Google Scholar] [CrossRef]
- Han, Y.; Ho, W.S.W. Facilitated transport membranes for H2 purification from coal-derived syngas: A techno-economic analysis. J. Membr. Sci. 2021, 636, 119549. [Google Scholar] [CrossRef]
- Grainger, D.; Hägg, M.-B. Techno-economic evaluation of a PVAm CO2-selective membrane in an IGCC power plant with CO2 capture. Fuel 2008, 87, 14–24. [Google Scholar] [CrossRef]
- Lin, H.; He, Z.; Sun, Z.; Kniep, J.; Ng, A.; Baker, R.W.; Merkel, T.C. CO2-selective membranes for hydrogen production and CO2 capture—Part II: Techno-economic analysis. J. Membr. Sci. 2015, 493, 794–806. [Google Scholar] [CrossRef]
- Ni, Z.; Cao, Y.; Zhang, X.; Zhang, N.; Xiao, W.; Bao, J.; He, G. Synchronous Design of Membrane Material and Process for Pre-Combustion CO2 Capture: A Superstructure Method Integrating Membrane Type Selection. Membranes 2023, 13, 318. [Google Scholar] [CrossRef]
- Zarca, G.; Urtiaga, A.; Biegler, L.T.; Ortiz, I. An optimization model for assessment of membrane-based post-combustion gas upcycling into hydrogen or syngas. J. Membr. Sci. 2018, 563, 83–92. [Google Scholar] [CrossRef]
- Chiwaye, N.; Majozi, T.; Daramola, M.O. Optimisation of post-combustion carbon dioxide capture by use of a fixed site carrier membrane. Int. J. Greenh. Gas Control 2021, 104, 103182. [Google Scholar] [CrossRef]
- Bozorg, M.; Ramírez-Santos, Á.A.; Addis, B.; Piccialli, V.; Castel, C.; Favre, E. Optimal process design of biogas upgrading membrane systems: Polymeric vs high performance inorganic membrane materials. Chem. Eng. Sci. 2020, 225, 115769. [Google Scholar] [CrossRef]
- Gilassi, S.; Taghavi, S.M.; Rodrigue, D.; Kaliaguine, S. Optimizing membrane module for biogas separation. Int. J. Greenh. Gas Control 2019, 83, 195–207. [Google Scholar] [CrossRef]
- Mores, P.; Arias, A.; Scenna, N.; Caballero, J.; Mussati, S.; Mussati, M. Membrane-Based Processes: Optimization of Hydrogen Separation by Minimization of Power, Membrane Area, and Cost. Processes 2018, 6, 221. [Google Scholar] [CrossRef]
- Yun, S.; Jang, M.-G.; Kim, J.-K. Techno-economic assessment and comparison of absorption and membrane CO2 capture processes for iron and steel industry. Energy 2021, 229, 120778. [Google Scholar] [CrossRef]
- Yuan, M.; Narakornpijit, K.; Haghpanah, R.; Wilcox, J. Consideration of a nitrogen-selective membrane for postcombustion carbon capture through process modeling and optimization. J. Membr. Sci. 2014, 465, 177–184. [Google Scholar] [CrossRef]
- Coker, D.; Freeman, B.; Fleming, G. Modeling multicomponent gas separation using hollow-fiber membrane contactors. AIChE J. 1998, 44, 1289–1302. [Google Scholar] [CrossRef]
- Ovalle-Encinia, O.; Lin, J.Y.S. Water-gas shift reaction in ceramic-carbonate dual-phase membrane reactor at high temperatures and pressures. Chem. Eng. J. 2022, 448, 137652. [Google Scholar] [CrossRef]
- Ovalle-Encinia, O.; Lin, J.Y.S. High-pressure CO2 permeation properties and stability of ceramic-carbonate dual-phase membranes. J. Membr. Sci. 2022, 646, 120249. [Google Scholar] [CrossRef]
- Duan, S.; Li, D.; Yang, X.; Niu, C.; Sun, S.; He, X.; Shan, M.; Zhang, Y. Experimental and molecular simulation study of a novel benzimidazole-linked polymer membrane for efficient H2/CO2 separation. J. Membr. Sci. 2023, 671, 121396. [Google Scholar] [CrossRef]
- Al-Rowaili, F.N.; Khaled, M.; Jamal, A.; Zahid, U. Mixed matrix membranes for H2/CO2 gas separation—A critical review. Fuel 2023, 333, 126285. [Google Scholar] [CrossRef]
- Merkel, T. Novel Polymer Membrane Process for Pre-Combustion CO2 Capture from Coal-Fired Syngas; Membrane Technology and Research, Incorporated: Menlo Park, CA, USA, 2011. [Google Scholar]
- Merkel, T.C.; Zhou, M.; Baker, R.W. Carbon dioxide capture with membranes at an IGCC power plant. J. Membr. Sci. 2012, 389, 441–450. [Google Scholar] [CrossRef]
- Zheng, N.; Zhang, H.; Duan, L.; Wang, X.; Wang, Q.; Liu, L. Multi-criteria performance analysis and optimization of a solar-driven CCHP system based on PEMWE, SOFC, TES, and novel PVT for hotel and office buildings. Renew. Energy 2023, 206, 1249–1264. [Google Scholar] [CrossRef]
- Gogoi, T.K.; Lahon, D.; Nondy, J. Energy, exergy and exergoeconomic (3E) analyses of an organic Rankine cycle integrated combined cycle power plant. Therm. Sci. Eng. Prog. 2023, 41, 101849. [Google Scholar] [CrossRef]
- Kanberoglu, B.; Ozsari, I.; Dobrucali, E.; Gonca, G. The effects of different working fluids on the performance characteristics of the Rankine and Brayton cycles. Int. J. Hydrog. Energy 2024, 49, 1059–1074. [Google Scholar] [CrossRef]
- Pan, C. Gas separation by high-flux, asymmetric hollow-fiber membrane. AIChE J. 1986, 32, 2020–2027. [Google Scholar] [CrossRef]
- Davis, R.A. Simple gas permeation and pervaporation membrane unit operation models for process simulators. Chem. Eng. Technol. Ind. Chem. Plant Equip. Process Eng. Biotechnol. 2002, 25, 717–722. [Google Scholar] [CrossRef]
- Cormos, C.-C. Evaluation of power generation schemes based on hydrogen-fuelled combined cycle with carbon capture and storage (CCS). Int. J. Hydrog. Energy 2011, 36, 3726–3738. [Google Scholar] [CrossRef]

















| Systems | Performance Indexes | ||
|---|---|---|---|
| Separation Energy (GJ/ton CO2) | Separation Cost (USD/ton CO2) | Specific CO2 Emission (kg/m3 H2) | |
| H1H2-3 | 0.8392 | 14.7434 | 0.3724 |
| C1C2-3 | 0.9360 | 15.7142 | 0.3945 |
| H1H2-4 | 1.1005 | 19.0983 | 0.4207 |
| C1C2-4 | 0.9010 | 15.2246 | 0.3735 |
| H1C2-4 | 0.8148 | 14.5520 | 0.3391 |
| C1H2-4 | 0.7252 | 12.8182 | 0.3207 |
Disclaimer/Publisher’s Note: The statements, opinions and data contained in all publications are solely those of the individual author(s) and contributor(s) and not of MDPI and/or the editor(s). MDPI and/or the editor(s) disclaim responsibility for any injury to people or property resulting from any ideas, methods, instructions or products referred to in the content. |
© 2023 by the authors. Licensee MDPI, Basel, Switzerland. This article is an open access article distributed under the terms and conditions of the Creative Commons Attribution (CC BY) license (https://creativecommons.org/licenses/by/4.0/).
Share and Cite
Bao, J.; Li, S.; Zhang, X.; Zhang, N. An Energy–Economic–Environment Tri-Objective Evaluation Method for Gas Membrane Separation Processes of H2/CO2. Membranes 2024, 14, 3. https://doi.org/10.3390/membranes14010003
Bao J, Li S, Zhang X, Zhang N. An Energy–Economic–Environment Tri-Objective Evaluation Method for Gas Membrane Separation Processes of H2/CO2. Membranes. 2024; 14(1):3. https://doi.org/10.3390/membranes14010003
Chicago/Turabian StyleBao, Junjiang, Shuai Li, Xiaopeng Zhang, and Ning Zhang. 2024. "An Energy–Economic–Environment Tri-Objective Evaluation Method for Gas Membrane Separation Processes of H2/CO2" Membranes 14, no. 1: 3. https://doi.org/10.3390/membranes14010003
APA StyleBao, J., Li, S., Zhang, X., & Zhang, N. (2024). An Energy–Economic–Environment Tri-Objective Evaluation Method for Gas Membrane Separation Processes of H2/CO2. Membranes, 14(1), 3. https://doi.org/10.3390/membranes14010003

