Nanofiltration Membranes for the Removal of Heavy Metals from Aqueous Solutions: Preparations and Applications
Abstract
:1. Introduction
2. Nanofiltration
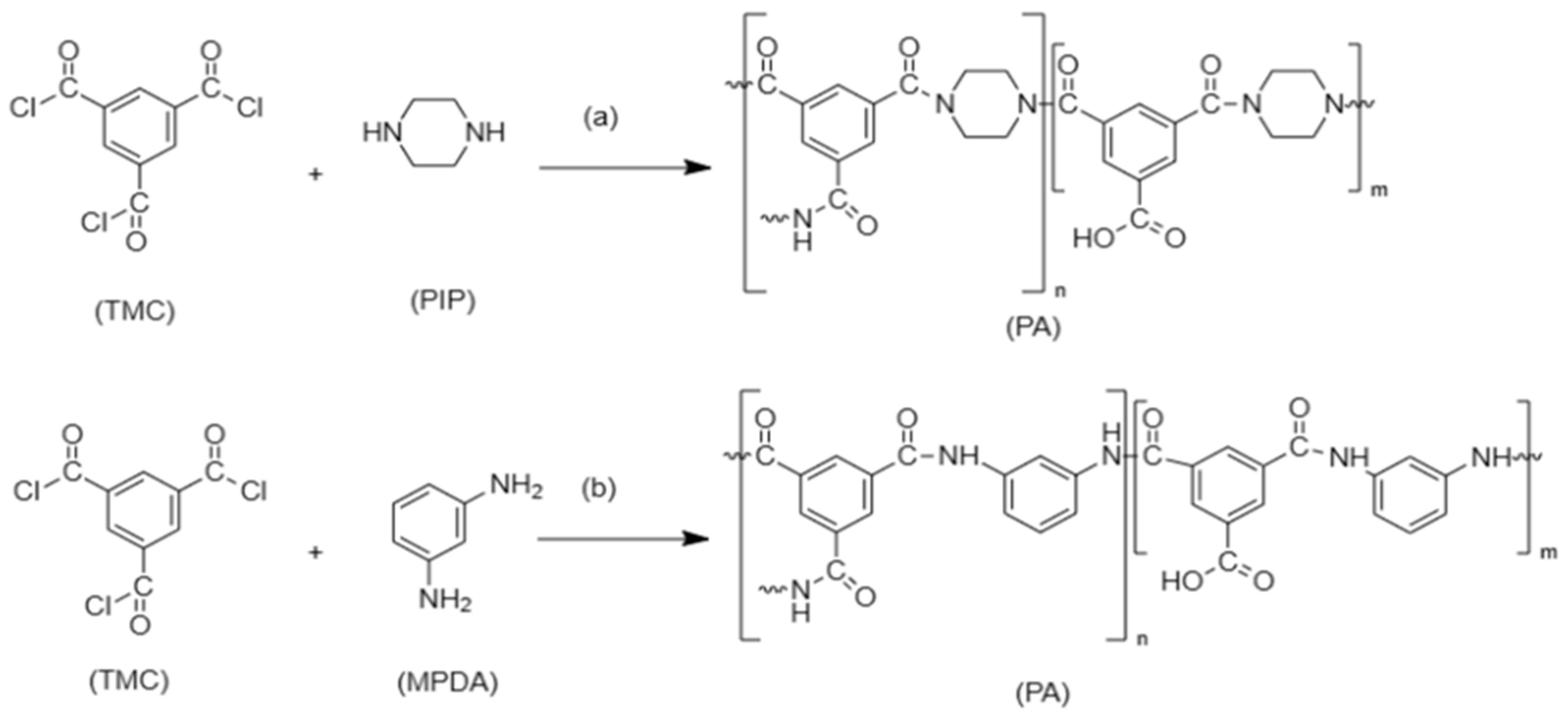
2.1. In-Situ Polymerization
2.2. Layer-by-Layer Assembly
2.3. Blending
2.4. Coating
3. Mechanism of Removal of Heavy Metals by NF
4. Nanoembedded Membranes
5. Nanocomposites
5.1. pH
5.2. Temperature
5.3. Concentration of Feed Solution

5.4. Pressure
6. Mitigation Fouling of NF Membranes
6.1. Pre-Treatment of Feed Solution
6.2. Surface Modification
6.3. Membrane Selection
7. Commercialized Nanofiltration Membranes
7.1. Dow Filmtec or DuPontTM
7.2. GE Water and Process Technologies (SUEZ)
7.3. Hydranautics (Nitto Group)
8. Conclusions and Recommendations
Author Contributions
Funding
Conflicts of Interest
References
- Huang, L.; Yan, T.; Mahmoud, A.E.; Li, S.; Zhang, J.; Shi, L.; Zhang, D. Enhanced water purification via redox interfaces created by an atomic layer deposition strategy. Environ. Sci. Nano 2021, 8, 950–959. [Google Scholar] [CrossRef]
- Kathi, S.; Singh, S.; Yadav, R.; Singh, A.N.; Mahmoud, A.E.D. Wastewater and sludge valorisation: A novel approach for treatment and resource recovery to achieve circular economy concept. Front. Chem. Eng. 2023, 5, 1129783. [Google Scholar] [CrossRef]
- Mahmoud, A.E.D.; Fawzy, M.; Khan, N. Artificial Intelligence and modeling for Water Sustainability: Global Challenges, 1st ed.; CRC Press: Boca Raton, FL, USA, 2023. [Google Scholar]
- Mahmoud, A.E.D.; Krasucka, P. Global Water Challenges and Sustainability. In Artificial Intelligence and Modeling for Water Sustainability; CRC Press: Boca Raton, FL, USA, 2023; pp. 1–12. [Google Scholar]
- Ogbozige, F.J.; Toko, M.A. Adsorption isotherms and kinetics of lead and cadmium ions: Comparative studies using modified melon (Citrullus colocynthis) husk. Iran. J. Energy Environ. 2020, 11, 157–162. [Google Scholar] [CrossRef]
- Mtewa, A.G.; Egbuna, C. (Eds.) Phytochemistry, the Military and Health: Phytotoxins and Natural Defenses; Elsevier: Amsterdam, The Netherlands, 2021. [Google Scholar]
- Van Der Bruggen, B.; Vandecasteele, C.; Van Gestel, T.; Doyen, W.; Leysen, R. A review of pressure-driven membrane processes in wastewater treatment and drinking water production. Environ. Prog. 2003, 22, 46–56. [Google Scholar] [CrossRef]
- Li, M.; Lv, Z.; Zheng, J.; Hu, J.; Jiang, C.; Ueda, M.; Zhang, X.; Wang, L. Positively charged nanofiltration membrane with dendritic surface for toxic element removal. ACS Sustain. Chem. Eng. 2017, 5, 784–792. [Google Scholar] [CrossRef]
- Mahmoud, A.E.D.; Al-Qahtani, K.M.; Alflaij, S.O.; Al-Qahtani, S.F.; Alsamhan, F.A. Green copper oxide nanoparticles for lead, nickel, and cadmium removal from contaminated water. Sci. Rep. 2021, 15, 12547. [Google Scholar] [CrossRef]
- Bera, A.; Trivedi, J.S.; Kumar, S.B.; Chandel, A.K.S.; Haldar, S.; Jewrajka, S.K. Anti-organic fouling and anti-biofouling poly(piperazineamide) thin film nanocomposite membranes for low pressure removal of heavy metal ions. J. Hazard. Mater. 2018, 343, 86–97. [Google Scholar] [CrossRef] [PubMed]
- Dadari, S.; Rahimi, M.; Zinadini, S. Novel antibacterial and antifouling PES nanofiltration membrane incorporated with green synthesized nickel-bentonite nanoparticles for heavy metal ions removal. Chem. Eng. J. 2022, 431, 134116. [Google Scholar] [CrossRef]
- Kamari, S.; Shahbazi, A. High–performance nanofiltration membrane blended by Fe3O4@ SiO2–CS bionanocomposite for efficient simultaneous rejection of salts/heavy metals ions/dyes with high permeability, retention increase, and fouling decline. J. Chem. Eng. 2021, 417, 127930. [Google Scholar] [CrossRef]
- Karki, S.; Ingole, P.G. Development of polymer-based new high performance thin-film nanocomposite nanofiltration membranes by vapor phase interfacial polymerization for the removal of heavy metal ions. Chem. Eng. J. 2022, 446, 137303. [Google Scholar] [CrossRef]
- Moghadassi, A.; Ghohyei, S.; Bandehali, S.; Habibi, M.; Eskandari, M. Cuprous oxide (Cu2O) nanoparticles in nanofiltration membrane with enhanced separation performance and anti-fouling properties. Korean J. Chem. Eng. 2023, 40, 630–641. [Google Scholar] [CrossRef]
- Zhang, H.-Z.; Xu, Z.-L.; Sun, J.-Y. Three-channel capillary NF membrane with PAMAM-MWCNT-embedded inner polyamide skin layer for heavy metals removal. RSC Adv. 2018, 8, 29455–29463. [Google Scholar] [CrossRef]
- Ghanbari, D.; BandehAli, S.; Moghadassi, A. Embedded three spinel ferrite nanoparticles in PES-based nano filtration membranes with enhanced separation properties. Main Group Met. Chem. 2021, 45, 1–10. [Google Scholar] [CrossRef]
- Ganji, P.; Nazari, S.; Zinatizadeh, A.; Zinadini, S. Chitosan-wrapped multi-walled carbon nanotubes (CS/MWCNT) as nanofillers incorporated into nanofiltration (NF) membranes aiming at remarkable water purification. J. Water Process Eng. 2022, 48, 102922. [Google Scholar] [CrossRef]
- Zhai, Z.; Wang, X.; Huang, Y.; Yang, H.; Zhao, Y. Fabrication of advanced positively charged polyamide nanofiltration membrane for effective removal of heavy metal ions via surfactant-plasticizer-synergy assisted interfacial polymerization. Sep. Purif. Technol. 2023, 322, 124216. [Google Scholar] [CrossRef]
- Al-Rashdi, B.; Somerfield, C.; Hilal, N. Heavy metals removal using adsorption and nanofiltration techniques. Sep. Purif. Rev. 2011, 40, 209–259. [Google Scholar] [CrossRef]
- Siddique, T.; Gangadoo, S.; Pham, D.Q.; Dutta, N.K.; Choudhury, N.R. Antifouling and Antimicrobial Study of Nanostructured Mixed-Matrix Membranes for Arsenic Filtration. Nanomaterials 2023, 13, 738. [Google Scholar] [CrossRef] [PubMed]
- Lari, S.; Parsa, S.A.M.; Akbari, S.; Emadzadeh, D.; Lau, W.J. Fabrication and evaluation of nanofiltration membrane coated with amino-functionalized graphene oxide for highly efficient heavy metal removal. Int. J. Environ. Sci. Technol. 2022, 19, 4615–4626. [Google Scholar] [CrossRef]
- Song, Y.; Wang, Y.; Hou, M.; Du, C.; Chen, K.; Zhang, Y.; Jiang, K. Effect of surface grafting with quaternized carbon quantum dots on nanofiltration membrane removing contaminants from micro-polluted river water. J. Environ. Chem. Eng. 2023, 11, 109244. [Google Scholar] [CrossRef]
- Zhang, F.; Fan, J.; Wang, S. Interfacial polymerization: From chemistry to functional materials. Angew. Chem. Int. Ed. 2020, 59, 21840–21856. [Google Scholar] [CrossRef]
- Peydayesh, M.; Mohammadi, T.; Nikouzad, S.K. A positively charged composite loose nanofiltration membrane for water purification from heavy metals. J. Membr. Sci. 2020, 611, 118205. [Google Scholar] [CrossRef]
- Nagy, H.; Fawzy, M.; Hafez, E.; Mahmoud, A.E.D. Potentials of mono- and multi-metal ion removal from water with cotton stalks and date palm stone residuals. Environ. Sci. Pollut. Res. 2023, 1–17. [Google Scholar] [CrossRef]
- Paul, M.; Jons, S.D. Chemistry and fabrication of polymeric nanofiltration membranes: A review. Polymer 2016, 103, 417–456. [Google Scholar] [CrossRef]
- Mahmoud, A.E.D.; Fawzy, M.; Abdel-Fatah, M.M.A. Technical aspects of nanofiltration for dyes wastewater treatment. In Membrane Based Methods for Dye Containing Wastewater: Recent Advance; Springer: Berlin/Heidelberg, Germany, 2021; pp. 23–35. [Google Scholar] [CrossRef]
- Baig, U.; Waheed, A. Exploiting interfacial polymerization to fabricate hyper-cross-linked nanofiltration membrane with a constituent linear aliphatic amine for freshwater production. NPJ Clean Water 2022, 5, 46. [Google Scholar] [CrossRef]
- Thong, Z.; Han, G.; Cui, Y.; Gao, J.; Chung, T.-S.; Chan, S.Y.; Wei, S. Novel nanofiltration membranes consisting of a sulfonated pentablock copolymer rejection layer for heavy metal removal. Environ. Sci. Technol. 2014, 48, 13880–13887. [Google Scholar] [CrossRef] [PubMed]
- Seah, M.Q.; Lau, W.J.; Goh, P.S.; Tseng, H.-H.; Wahab, R.A.; Ismail, A.F. Progress of interfacial polymerization techniques for polyamide thin film (nano)composite membrane fabrication: A comprehensive review. Polymers 2020, 12, 2817. [Google Scholar] [CrossRef] [PubMed]
- Cheng, X.; Qin, Y.; Ye, Y.; Chen, X.; Wang, K.; Zhang, Y.; Figoli, A.; Drioli, E. Finely tailored pore structure of polyamide nanofiltration membranes for highly-efficient application in water treatment. Chem. Eng. J. 2021, 417, 127976. [Google Scholar] [CrossRef]
- Yalcinkaya, B.; Yalcinkaya, F.; Chaloupek, J. Thin film nanofibrous composite membrane for dead-end seawater desalination. J. Nanomater. 2016, 2016, 2694373. [Google Scholar] [CrossRef]
- Gao, F.; Liu, H.; Zhang, Y.; Liu, D.; Xie, Z.; Peng, W.; Song, Y.; Hu, R.; Chen, D.; Kang, J.; et al. Polyamide membrane with nanoscale stripes and internal voids for high-performance nanofiltration. J. Membr. Sci. 2023, 671, 121406. [Google Scholar] [CrossRef]
- Kahrs, C.; Schwellenbach, J. Membrane formation via non-solvent induced phase separation using sustainable solvents: A comparative study. Polymer 2020, 186, 122071. [Google Scholar] [CrossRef]
- Sangeetha, K.; Vinodhini, A.; Sudha, P.N.; Faleh, A.A.; Sukumaran, A. Novel chitosan based thin sheet nanofiltration membrane for rejection of heavy metal chromium. Int. J. Biol. Macromol. 2019, 132, 939–953. [Google Scholar] [CrossRef]
- Zhu, W.-P.; Sun, S.-P.; Gao, J.; Fu, F.-J.; Chung, T.-S. Dual-layer polybenzimidazole/polyethersulfone (PBI/PES) nanofiltration (NF) hollow fiber membranes for heavy metals removal from wastewater. J. Membr. Sci. 2014, 456, 117–127. [Google Scholar] [CrossRef]
- Liu, C.; Bi, W.; Chen, D.; Zhang, S.; Mao, H. Positively charged nanofiltration membrane fabricated by poly(acid–base) complexing effect induced phase inversion method for heavy metal removal. Chin. J. Chem. Eng. 2017, 25, 1685–1694. [Google Scholar] [CrossRef]
- Agboola, O.; Maree, J.; Mbaya, R. Characterization and performance of nanofiltration membranes. Environ. Chem. Lett. 2014, 12, 241–255. [Google Scholar] [CrossRef]
- Karami, S.; Sharahi, Z.J.; Farahani, S.K.; Solhi, S.; Hosseini, S.M. Novel Thin-Film, Chitosan-Polyaniline Nanofiltration Membrane Effectively Removes Toxic Heavy Metals From Wastewaters. Iran. J. Toxicol. 2023, 17, 105–116. [Google Scholar] [CrossRef]
- Gholami, N.; Mahdavi, H. Nanofiltration composite membranes of polyethersulfone and graphene oxide and sulfonated graphene oxide. Adv. Polym. Technol. 2018, 37, 3529–3541. [Google Scholar] [CrossRef]
- Mahmoud, A.E.D. Graphene-based nanomaterials for the removal of organic pollutants: Insights into linear versus nonlinear mathematical models. J. Environ. Manag. 2020, 270, 110911. [Google Scholar] [CrossRef]
- Visser, T.; Koops, G.H.; Wessling, M. On the subtle balance between competitive sorption and plasticization effects in asymmetric hollow fiber gas separation membranes. J. Membr. Sci. 2005, 252, 265–277. [Google Scholar] [CrossRef]
- Zhou, W.; Song, L. Experimental study of water and salt fluxes through reverse osmosis membranes. Environ. Sci. Technol. 2005, 39, 3382–3387. [Google Scholar] [CrossRef]
- Altaee, A.; Alanezi, A.A.; Hawari, A.H. Forward osmosis feasibility and potential future application for desalination. In Emerging Technologies for Sustainable Desalination Handbook; Butterworth-Heinemann: Oxford, UK, 2018; pp. 35–54. [Google Scholar]
- Ndiayea, I.; Chaouia, I.; Vaudreuila, S.; Bounahmidia, T. Study of the prediction model of water flux through a forward osmosis membrane. DWT 2021, 240, 225–232. [Google Scholar] [CrossRef]
- Safdari, M.; Mansourizadeh, A.; Ghaedi, A.M.; Filband, A.J. Oily wastewater treatment by blend polyether imide-sulfonated poly (ether ether keton) hollow fibre membrane through a side-stream MBR process. Water Environ. J. 2022, 36, 469–483. [Google Scholar] [CrossRef]
- Al-Zoubi, H.; Omar, W. Rejection of salt mixtures from high saline by nanofiltration membranes. Korean J. Chem. Eng. 2009, 26, 799–805. [Google Scholar] [CrossRef]
- Mittal, V. Nanocomposites with engineering polymers: A review. In Manufacturing of Nanocomposites with Engineering Plastics; Elsevier: Amsterdam, The Netherlands, 2015; pp. 15–29. [Google Scholar]
- Maurya, A.; Sinha, S.; Kumar, P.; Singh, V. A review: Impact of surface treatment of nanofillers for improvement in thermo mechanical properties of the epoxy based nanocomposites. Mater. Today Proc. 2023, 78, 164–172. [Google Scholar] [CrossRef]
- Mahmoud, A.E.D.; Franke, M.; Stelter, M.; Braeutigam, P. Mechanochemical versus chemical routes for graphitic precursors and their performance in micropollutants removal in water. Powder Technol. 2020, 366, 629–640. [Google Scholar] [CrossRef]
- Ji, Y.-L.; Yin, M.-J.; An, Q.-F.; Gao, C.-J. Recent developments in polymeric nano-based separation membranes. Fundam. Res. 2022, 2, 254–267. [Google Scholar] [CrossRef]
- Li, H.; Chen, V. Membrane fouling and cleaning in food and bioprocessing. In Membrane Technology; Butterworth-Heinemann: Oxford, UK, 2010; pp. 213–254. [Google Scholar]
- Mehrjo, F.; Pourkhabbaz, A.; Shahbazi, A. PMO synthesized and functionalized by p-phenylenediamine as new nanofiller in PES-nanofiltration membrane matrix for efficient treatment of organic dye, heavy metal, and salts from wastewater. Chemosphere 2021, 263, 128088. [Google Scholar] [CrossRef]
- Tong, Y.; Wei, Y.; Zhang, H.; Wang, L.; Li, L.; Xiao, F.; Gao, C.; Zhu, G. Fabrication of polyamide thin film nanocomposite membranes with enhanced desalination performance modified by silica nanoparticles formed in-situ polymerization of tetramethoxysilane. J. Environ. Chem. Eng. 2023, 11, 109415. [Google Scholar] [CrossRef]
- Ang, M.B.M.Y.; Ji, Y.-L.; Huang, S.-H.; Lee, K.-R.; Lai, J.-Y. A facile and versatile strategy for fabricating thin-film nanocomposite membranes with polydopamine-piperazine nanoparticles generated in situ. J. Membr. Sci. 2019, 579, 79–89. [Google Scholar] [CrossRef]
- Rezakazemi, M.; Sadrzadeh, M.; Mohammadi, T.; Matsuura, T. Methods for the preparation of organic–inorganic nanocomposite polymer electrolyte membranes for fuel cells. In Organic-Inorganic Composite Polymer Electrolyte Membranes: Preparation, Properties, and Fuel Cell Applications; Springer: Berlin/Heidelberg, Germany, 2017; pp. 311–325. [Google Scholar] [CrossRef]
- Abdullah, N.; Yusof, N.; Jye, L.W.; Jaafar, J.; Misdan, N.; Ismail, A.F. Removal of lead(II) by nanofiltration-ranged thin film nanocomposite membrane incorporated UiO-66-NH2: Comparative removal performance between hydraulic-driven and osmotic-driven membrane process. J. Taiwan Inst. Chem. Eng. 2021, 128, 354–369. [Google Scholar] [CrossRef]
- Zhang, P.; Gong, J.-L.; Zeng, G.-M.; Song, B.; Liu, H.-Y.; Huan, S.-Y.; Li, J. Ultrathin reduced graphene oxide/MOF nanofiltration membrane with improved purification performance at low pressure. Chemosphere 2018, 204, 378–389. [Google Scholar] [CrossRef]
- Ng, C.Y.; Ng, L.Y.; Mahmoudi, E.; Chung, Y.T. Fabrication of graphene-based membrane for separation of hazardous contaminants from wastewater. In Graphene-Based Nanotechnologies for Energy and Environmental Applications; Elsevier: Amsterdam, The Netherlands, 2019; pp. 267–291. [Google Scholar]
- Shi, Y.; Yan, C.; Zhou, Y.; Wu, J.; Wang, Y.; Yu, S.; Ying, C. Materials for Additive Manufacturing; Academic Press: Cambridge, MA, USA, 2021. [Google Scholar]
- Yan, X.; Xiao, X.; Au, C.; Mathur, S.; Huang, L.; Wang, Y.; Zhang, Z.; Zhu, Z.; Kipper, M.J.; Tang, J.; et al. Electrospinning nanofibers and nanomembranes for oil/water separation. J. Mater. Chem. A 2021, 9, 21659–21684. [Google Scholar] [CrossRef]
- Moradi, G.; Rahimi, M.; Zinadini, S. Antifouling nanofiltration membrane via tetrathioterephthalate coating on aniline oligomers-grafted polyethersulfone for efficient dye and heavy metal ion removal. J. Environ. Chem. Eng. 2021, 9, 104717. [Google Scholar] [CrossRef]
- Deng, S.; Liu, X.; Liao, J.; Lin, H.; Liu, F. PEI modified multiwalled carbon nanotube as a novel additive in PAN nanofiber membrane for enhanced removal of heavy metal ions. Chem. Eng. J. 2019, 375, 122086. [Google Scholar] [CrossRef]
- Suhalim, N.S.; Kasim, N.; Mahmoudi, E.; Shamsudin, I.J.; Mohammad, A.W.; Zuki, F.M.; Jamari, N.L.-A. Rejection mechanism of ionic solute removal by nanofiltration membranes: An overview. Nanomaterials 2022, 12, 437. [Google Scholar] [CrossRef]
- Roy, S.; Bhowmick, K.; Singh, P.; Bhowmick, S.; Mukherjee, M.; Majumdar, S.; Sahoo, G.C.; Mondal, P. Removal of heavy metals by surface tailored copper ion enhanced ceramic-supported-polymeric composite nanofiltration membrane. J. Environ. Chem. Eng. 2021, 9, 106368. [Google Scholar] [CrossRef]
- Zheng, J.; Zhang, X.; Li, G.; Fei, G.; Jin, P.; Liu, Y.; Wouters, C.; Meir, G.; Li, Y.; Van der Bruggen, B. Selective removal of heavy metals from saline water by nanofiltration. Desalination 2022, 525, 115380. [Google Scholar] [CrossRef]
- Endo, I.; Nagamune, T.; Katoh, S.; Yonemoto, T. (Eds.) Bioseparation Engineering; Elsevier: Amsterdam, The Netherlands, 2000. [Google Scholar]
- Zolfagharian, A.; Bodaghi, M.; Heidarian, P.; Kouzani, A.Z.; Kaynak, A. Closed-loop control of 4D-printed hydrogel soft robots. In Smart Materials in Additive Manufacturing, Volume 2: 4D Printing Mechanics, Modeling, and Advanced Engineering Applications; Elsevier: Amsterdam, The Netherlands, 2022; pp. 251–278. [Google Scholar]
- Shao, W.; Liu, C.; Yu, T.; Xiong, Y.; Hong, Z.; Xie, Q. Constructing positively charged thin-film nanocomposite nanofiltration membranes with enhanced performance. Polymers 2020, 12, 2526. [Google Scholar] [CrossRef]
- Mustapha, S.; Tijani, J.O.; Egbosiuba, T.C.; Taiwo, A.A.; Abdulkareem, S.A.; Sumaila, A.; Ndamitso, M.M.; Ayodesi, U.N. Removal of Pollutants from Wastewater Through Nanofiltration: A Review. In Nanofiltration Membrane for Water Purification; Springer: Berlin/Heidelberg, Germany, 2023; pp. 247–268. [Google Scholar] [CrossRef]
- Raval, H.D.; Mondal, M. Polymer-based nano-enhanced reverse osmosis membranes. In Advancement in Polymer-Based Membranes for Water Remediation; Elsevier: Amsterdam, The Netherlands, 2022; pp. 335–379. [Google Scholar]
- Mahmoud, A.E.D. Recent advances of TiO2 nanocomposites for photocatalytic degradation of water contaminants and rechargeable sodium ion batteries. In Advances in Nanocomposite Materials for Environmental and Energy Harvesting Applications; Springer: Berlin/Heidelberg, Germany, 2022; pp. 757–770. [Google Scholar] [CrossRef]
- Wen, Y.; Yuan, J.; Ma, X.; Wang, S.; Liu, Y. Polymeric nanocomposite membranes for water treatment: A review. Environ. Chem. Lett. 2019, 17, 1539–1551. [Google Scholar] [CrossRef]
- Pandey, N.; Shukla, S.K.; Singh, N.B. Water purification by polymer nanocomposites: An overview. Nanocomposites 2017, 3, 47–66. [Google Scholar] [CrossRef]
- Esfahani, M.R.; Aktij, S.A.; Dabaghian, Z.; Firouzjaei, M.D.; Rahimpour, A.; Eke, J.; Escobar, I.C.; Abolhassani, M.; Greenlee, L.F.; Esfahani, A.R.; et al. Nanocomposite membranes for water separation and purification: Fabrication, modification, and applications. Sep. Purif. Technol. 2019, 213, 465–499. [Google Scholar] [CrossRef]
- Ranjbaran, H.; Ameri, E.; Dehghani, B. Preparation of dendrimer/TiO2 polysulfone nanofiltration membrane to improve antibacterial, antifouling and separation performance of contaminants (heavy metals, salts, dyes). Polym. Bull. 2023, 1–24. [Google Scholar] [CrossRef]
- Wei, S.; Chen, Y.; Hu, X.; Wang, C.; Huang, X.; Liu, D.; Zhang, Y. Monovalent/Divalent salts separation via thin film nanocomposite nanofiltration membrane containing aminated TiO2 nanoparticles. J. Taiwan Inst. Chem. Eng. 2020, 112, 169–179. [Google Scholar] [CrossRef]
- Shukla, A.K.; Alam, J.; Alhoshan, M.; Dass, L.A.; Ali, F.A.A.; Mishra, U.; Ansari, M.A. Removal of heavy metal ions using a carboxylated graphene oxide-incorporated polyphenylsulfone nanofiltration membrane. Environ. Sci. Water Res. Technol. 2018, 4, 438–448. [Google Scholar] [CrossRef]
- Alotaibi, K.M.; Shukla, A.K.; Bajuayfir, E.; Alotaibi, A.A.; Mrad, M.H.; Gomaa, F.A.; Alswieleh, A.M. Ultrasound-Assisted Synthesis of MSNs/PS Nanocomposite Membranes for Effective Removal of Cd2+ and Pb2+ ions from Aqueous Solutions. Ultrason. Sonochem. 2023, 98, 106497. [Google Scholar] [CrossRef] [PubMed]
- Li, P.; Li, Y.-X.; Wu, Y.-Z.; Xu, Z.-L.; Zhang, H.-Z.; Gao, P.; Xu, S.-J. Thin-film nanocomposite NF membrane with GO on macroporous hollow fiber ceramic substrate for efficient heavy metals removal. Environ. Res. 2021, 197, 111040. [Google Scholar] [CrossRef]
- Kamari, S.; Shahbazi, A. Biocompatible Fe3O4@ SiO2-NH2 nanocomposite as a green nanofiller embedded in PES–nanofiltration membrane matrix for salts, heavy metal ion and dye removal: Long–term operation and reusability tests. Chemosphere 2020, 243, 125282. [Google Scholar] [CrossRef]
- Alotaibi, A.A.; Shukla, A.K.; Mrad, M.H.; Alswieleh, A.M.; Alotaibi, K.M. Fabrication of Polysulfone-Surface Functionalized Mesoporous Silica Nanocomposite Membranes for Removal of Heavy Metal Ions from Wastewater. Membranes 2021, 11, 935. [Google Scholar] [CrossRef]
- Hoang, M.T.; Pham, T.D.; Verheyen, D.; Nguyen, M.K.; Pham, T.T.; Zhu, J.; Van der Bruggen, B. Fabrication of thin film nanocomposite nanofiltration membrane incorporated with cellulose nanocrystals for removal of Cu (II) and Pb (II). Chem. Eng. Sci. 2020, 228, 115998. [Google Scholar] [CrossRef]
- Zhao, F.-Y.; Ji, Y.-L.; Weng, X.-D.; Mi, Y.-F.; Ye, C.-C.; An, Q.-F.; Gao, C.-J. High-flux positively charged nanocomposite nanofiltration membranes filled with poly(dopamine) modified multiwall carbon nanotubes. ACS Appl. Mater. Interfaces 2016, 8, 6693–6700. [Google Scholar] [CrossRef]
- Hosseini, S.M.; Moradi, F.; Farahani, S.K.; Bandehali, S.; Parvizian, F.; Ebrahimi, M.; Shen, J. Carbon nanofibers/chitosan nanocomposite thin film for surface modification of poly(ether sulphone) nanofiltration membrane. Mater. Chem. Phys. 2021, 269, 124720. [Google Scholar] [CrossRef]
- Khosravi, M.J.; Hosseini, S.M.; Vatanpour, V. Performance improvement of PES membrane decorated by Mil-125 (Ti)/chitosan nanocomposite for removal of organic pollutants and heavy metal. Chemosphere 2022, 290, 133335. [Google Scholar] [CrossRef] [PubMed]
- Mishra, S.; Singh, A.K.; Singh, J.K. Ferrous sulfide and carboxyl-functionalized ferroferric oxide incorporated PVDF-based nanocomposite membranes for simultaneous removal of highly toxic heavy-metal ions from industrial ground water. J. Membr. Sci. 2020, 593, 117422. [Google Scholar] [CrossRef]
- Khashij, M.; Mokhtari, M.; Dalvand, A.; Haghiralsadat, F.; Fallahzadeh, H.; Salmani, M.H. Recycled PET/metal oxides nanocomposite membrane for treatment of real industrial effluents: Membrane fabrication, stability, antifouling behavior, and process modeling and optimization. J. Mol. Liq. 2022, 364, 119966. [Google Scholar] [CrossRef]
- Moradi, G.; Rahimi, M.; Zinadini, S.; Hadidi, S. Fabrication of the polyethersulfone/functionalized mesoporous carbon nanocomposite nanofiltration membrane for dyes and heavy metal ions removal: Experimental and quantum mechanical simulation method. Polym. Adv. Technol. 2023, 34, 89–109. [Google Scholar] [CrossRef]
- Marjani, A.; Nakhjiri, A.T.; Adimi, M.; Jirandehi, H.F.; Shirazian, S. Effect of graphene oxide on modifying polyethersulfone membrane performance and its application in wastewater treatment. Sci. Rep. 2020, 10, 2049. [Google Scholar] [CrossRef]
- Fouladi, M.; Heidari, M.K.; Tavakoli, O. Performance comparison of thin-film nanocomposite polyamide nanofiltration membranes for heavy metal/salt wastewater treatment. J. Nanoparticle Res. 2023, 25, 77. [Google Scholar] [CrossRef]
- Samavati, Z.; Samavati, A.; Goh, P.S.; Ismail, A.F.; Abdullah, M.S. A comprehensive review of recent advances in nanofiltration membranes for heavy metal removal from wastewater. Chem. Eng. Res. Des. 2022, 189, 530–571. [Google Scholar] [CrossRef]
- Alawady, A.R.; Alshahrani, A.A.; Aouak, T.A.; Alandis, N.M. Polysulfone membranes with CNTs/Chitosan biopolymer nanocomposite as selective layer for remarkable heavy metal ions rejection capacity. Chem. Eng. J. 2020, 388, 124267. [Google Scholar] [CrossRef]
- Gong, X.-Y.; Huang, Z.-H.; Zhang, H.; Liu, W.-L.; Ma, X.-H.; Xu, Z.-L.; Tang, C.Y. Novel high-flux positively charged composite membrane incorporating titanium-based MOFs for heavy metal removal. Chem. Eng. J. 2020, 398, 125706. [Google Scholar] [CrossRef]
- Schück, M.; Greger, M. Salinity and temperature influence removal levels of heavy metals and chloride from water by wetland plants. Environ. Sci. Pollut. Res. 2023, 30, 58030–58040. [Google Scholar] [CrossRef]
- Alhoshan, M.; Alam, J.; Shukla, A.K.; Hamid, A.A. Polyphenylsulfone membrane blended with polyaniline for nanofiltration promising for removing heavy metals (Cd2+/Pb2+) from wastewater. J. Mater. Res. Technol. 2023, 24, 6034–6047. [Google Scholar] [CrossRef]
- Yang, X.; Liu, Y.; Hu, S.; Yu, F.; He, Z.; Zeng, G.; Feng, Z.; Sengupta, A. Construction of Fe3O4@ MXene composite nanofiltration membrane for heavy metal ions removal from wastewater. Polym, Adv. Technol. 2021, 32, 1000–1010. [Google Scholar] [CrossRef]
- Gheimasi, M.H.M.; Lorestani, B.; Sadr, M.K.; Cheraghi, M.; Emadzadeh, D. Synthesis of novel hybrid NF/FO nanocomposite membrane by incorporating black TiO2 nanoparticles for highly efficient heavy metals removal. Int. J. Environ. Res. 2021, 15, 475–485. [Google Scholar] [CrossRef]
- Jiang, Q.; Wang, Y.; Li, Y.; Luo, J.; Xiong, J. Nanocomposite substrate-supported nanofiltration membrane for efficient treatment of rare earth wastewater. Results Eng. 2023, 18, 101040. [Google Scholar] [CrossRef]
- Wang, X.; Ju, X.; Jia, T.-Z.; Xia, Q.-C.; Guo, J.-L.; Wang, C.; Cui, Z.; Wang, Y.; Xing, W.; Sun, S.-P. New surface cross-linking method to fabricate positively charged nanofiltration membranes for dye removal. J. Chem. Technol. Biotechnol. 2018, 93, 2281–2291. [Google Scholar] [CrossRef]
- Zhang, R.; Liu, Y.; He, M.; Su, Y.; Zhao, X.; Elimelech, M.; Jiang, Z. Antifouling membranes for sustainable water purification: Strategies and mechanisms. Chem. Soc. Rev. 2016, 45, 5888–5924. [Google Scholar] [CrossRef]
- Pal, P. Membrane-Based Technologies for Environmental Pollution Control; Butterworth-Heinemann: Oxford, UK, 2020. [Google Scholar]
- Mahmoud, A.E.D.; Khan, N.A.; Hung, Y.-T. 4 Advances in Artificial Intelligence Applications in Sustainable Water Remediation. In Artificial Intelligence and Modeling for Water Sustainability: Global Challenges; CRC: Boca Raton, FL, USA, 2023; pp. 53–69. [Google Scholar]
- Zhao, X.; Zhang, R.; Liu, Y.; He, M.; Su, Y.; Gao, C.; Jiang, Z. Antifouling membrane surface construction: Chemistry plays a critical role. J. Membr. Sci. 2018, 551, 145–171. [Google Scholar] [CrossRef]
- Das, S.; O’connell, M.G.; Xu, H.; Bernstein, R.; Kim, J.-H.; Sankhala, K.; Segal-Peretz, T.; Shevate, R.; Zhang, W.; Zhou, X.; et al. Assessing Advances in Anti-fouling Membranes to Improve Process Economics and Sustainability of Water Treatment. ACS ES&T Eng. 2022, 2, 2159–2173. [Google Scholar] [CrossRef]
- Zhao, D.; Yu, S. A review of recent advance in fouling mitigation of NF/RO membranes in water treatment: Pretreatment, membrane modification, and chemical cleaning. Desalination Water Treat. 2015, 55, 870–891. [Google Scholar] [CrossRef]
- Qasem, N.A.; Mohammed, R.H.; Lawal, D.U. Removal of heavy metal ions from wastewater: A comprehensive and critical review. NPJ Clean Water 2021, 4, 36. [Google Scholar] [CrossRef]
- Vidu, R.; Matei, E.; Predescu, A.M.; Alhalaili, B.; Pantilimon, C.; Tarcea, C.; Predescu, C. Removal of heavy metals from wastewaters: A challenge from current treatment methods to nanotechnology applications. Toxics 2020, 8, 101. [Google Scholar] [CrossRef] [PubMed]
- Wu, Z.-J.; Li, H.-X.; Li, P.-P.; Xu, Z.-L.; Zhan, Z.-M.; Wu, Y.-Z. Thin-Film Composite Nanofiltration Membrane Modified by Fulvic Acid to Enhance Permeability and Antifouling Performance. Ind. Eng. Chem. Res. 2022, 61, 8993–9003. [Google Scholar] [CrossRef]
- Shahkaramipour, N.; Tran, T.N.; Ramanan, S.; Lin, H. Membranes with surface-enhanced antifouling properties for water purification. Membranes 2017, 7, 13. [Google Scholar] [CrossRef]
- Suresh, D.; Goh, P.S.; Ismail, A.F.; Hilal, N. Surface design of liquid separation membrane through graft polymerization: A state of the art review. Membranes 2021, 11, 832. [Google Scholar] [CrossRef]
- Amin, M.A.M.; Goh, P.S.; Ismail, A.F.; Chee, D.N.A. Recent Strategies in Designing Antifouling Desalination Membranes. In Corrosion and Fouling Control in Desalination Industry; Springer: Berlin/Heidelberg, Germany, 2020; pp. 377–399. [Google Scholar] [CrossRef]
- Liu, D.; Wang, T.; He, C. Antifouling polyethersulfone membrane blended with a dual-mode amphiphilic copolymer. J. Mater. Sci. 2016, 51, 7383–7394. [Google Scholar] [CrossRef]
- Ilinykh, A.S.; Naschetnikova, O.B.; Migalatiy, E.V. Membrane fouling reduction prospects in membrane separation plants: Release coatings and nanomaterials. In AIP Conference Proceedings; AIP Publishing: New York, NY, USA, 2023; Volume 2701, No. 1. [Google Scholar]
- Ahmad, N.N.R.; Mohammad, A.W.; Mahmoudi, E.; Ang, W.L.; Leo, C.P.; Teow, Y.H. An Overview of the Modification Strategies in Developing Antifouling Nanofiltration Membranes. Membranes 2022, 12, 1276. [Google Scholar] [CrossRef]
- Saffarimiandoab, F.; Gul, B.Y.; Tasdemir, R.S.; Ilter, S.E.; Unal, S.; Tunaboylu, B.; Menceloglu, Y.Z.; Koyuncu, I. A review on membrane fouling: Membrane modification. Desalination Water Treat. 2021, 216, 47–70. [Google Scholar] [CrossRef]
- Yin, Z.; Cheng, C.; Qin, H.; Nie, C.; He, C.; Zhao, C. Hemocompatible polyethersulfone/polyurethane composite membrane for high-performance antifouling and antithrombotic dialyzer. J. Biomed. Mater. Res. Part B Appl. Biomater. 2015, 103, 97–105. [Google Scholar] [CrossRef]
- Mallya, D.S.; Abdikheibari, S.; Dumée, L.F.; Muthukumaran, S.; Lei, W.; Baskaran, K. Removal of natural organic matter from surface water sources by nanofiltration and surface engineering membranes for fouling mitigation—A review. Chemosphere 2023, 321, 138070. [Google Scholar] [CrossRef]
- Tomczak, W. Fouling of the Nanofiltration Membrane NF270 Used for Separation of Fermentation Broths: Impact of Feed Pretreatment Process. Processes 2023, 11, 817. [Google Scholar] [CrossRef]
- Khajouei, M.; Najafi, M.; Jafari, S.A.; Latifi, M. Membrane Surface Modification via In Situ Grafting of GO/Pt Nanoparticles for Nitrate Removal with Anti-Biofouling Properties. Micromachines 2023, 14, 128. [Google Scholar] [CrossRef] [PubMed]
- Song, F.; Tu, C.; Meng, F.; Wang, L.; Xia, L.; Zhao, S. Engineering a novel zwitterionic polyurethane nanofiltration membrane with enhanced fouling resistance for water reclamation. Desalination 2023, 551, 116440. [Google Scholar] [CrossRef]
- Geng, C.; Zhao, F.; Niu, H.; Zhang, J.; Liu, Y.; Liu, L.; Dong, H.; Li, Z.; Chen, H. Zwitterionic loose polyamide nanofiltration membrane with good antifouling properties for efficient removal of humic acid and dyes. J. Environ. Chem. Eng. 2023, 11, 110285. [Google Scholar] [CrossRef]
- Teng, L.; Yue, C.; Zhang, G. Epoxied SiO2 nanoparticles and polyethyleneimine (PEI) coated polyvinylidene fluoride (PVDF) membrane for improved oil water separation, anti-fouling, dye and heavy metal ions removal capabilities. J. Colloid Interface Sci. 2023, 630, 416–429. [Google Scholar] [CrossRef]
- Tang, S.; Yang, J.; Wu, B.; Zhang, J.; Li, J.; He, B.; Wang, H.; Cui, Z. Fabrication of hollow fiber nanofiltration membrane with high permselectivity based on “Co-deposition, biomineralization and dual cross-linking” process. J. Membr. Sci. 2023, 670, 121388. [Google Scholar] [CrossRef]
- Wang, Q.; Wen, Q.; Chen, Z. Long term effects of Pb2+ on the membrane fouling in a hydrolytic-anoxic-oxic-membrane bioreactor treating synthetic electroplating wastewater. Chemosphere 2019, 232, 430–438. [Google Scholar] [CrossRef]
- El Din Mahmoud, A.; Fawzy, M. Bio-based methods for wastewater treatment: Green sorbents. In Phytoremediation: Manag Environ Contaminants; Springer: Berlin/Heidelberg, Germany, 2016; Volume 3, pp. 209–238. [Google Scholar]
- Nambikkattu, J.; Thomas, A.A.; Kaleekkal, N.J.; Arumugham, T.; Hasan, S.W.; Vigneswaran, S. ZnO/PDA/Mesoporous Cellular Foam Functionalized Thin-Film Nanocomposite Membrane towards Enhanced Nanofiltration Performance. Membranes 2023, 13, 486. [Google Scholar] [CrossRef]
- Gholami, F.; Ghanizadeh, G.; Zinatizadeh, A.A.; Zinadini, S.; Masoumbeigi, H. Design of a new polyethersulfone nanofiltration membrane with anti-fouling properties using supported protic ionic liquid modification for dye/salt removal. Water Environ. Res. 2023, 95, e10829. [Google Scholar] [CrossRef]
- Sherugar, P.; Déon, S.; Nagaraja, K.K.; Padaki, M. Tailoring the structure of polysulfone nanocomposite membranes by incorporating iron oxide doped aluminium oxide for excellent separation performance and antifouling property. Environ. Sci. Water Res. Technol. 2022, 8, 1059–1077. [Google Scholar] [CrossRef]
- Fersi Bennani, C.; M’hiri, O. Comparative study of the removal of heavy metals by two nanofiltration membranes. Desalin Water Treat. 2015, 53, 1024–1030. [Google Scholar] [CrossRef]
- El-Kady, M.M.; Ansari, I.; Arora, C.; Rai, N.; Soni, S.; Verma, D.K.; Singh, P.; Mahmoud, A.E.D. Nanomaterials: A Comprehensive Review of Applications, Toxicity, Impact, and Fate to Environment. J. Mol. Liq. 2022, 370, 121046. [Google Scholar] [CrossRef]
- Yoon, J.; Amy, G.; Chung, J.; Sohn, J.; Yoon, Y. Removal of toxic ions (chromate, arsenate, and perchlorate) using reverse osmosis, nanofiltration, and ultrafiltration membranes. Chemosphere 2009, 77, 228–235. [Google Scholar] [CrossRef] [PubMed]












| Heavy Metal | Hazards | MCL (mg L−1) |
|---|---|---|
| As | Carcinogenic | 0.05 |
| Cd | Carcinogenic, headache | 0.01 |
| Cr | Carcinogenic, vomiting | 0.05 |
| Cu | Carcinogenic, nausea, coughing | 0.25 |
| Hg | Diseases of the kidneys, circulatory, and nervous systems | 0.00003 |
| Ni | Carcinogenic | 0.20 |
| Pb | Diseases of the kidneys, circulatory, and nervous system | 0.006 |
| Zn | Damage to the nervous system | 0.80 |
| Nanocomposite | Polymers | Heavy Metals | Heavy Metal Rejection (%) | Method of Fabrication | Flux (L m−2 h−1) | Effect of Addition of Nanocomposites | Ref. |
|---|---|---|---|---|---|---|---|
| TiO2 | PA | Cu2+, Hg2+ and Pb2+ | 87.03 ± 2 | IP | - | Increasing the antifouling properties | [13] |
| TiO2/NH2 | PES | Monovalent, divalent ions | 99.7 | IP | - | Rising pure water flux | [77] |
| GO | PPSU | As, Cr, Cd, Pb, and Zn | >98% for anions and ~80% for cations | - | 27 ± 3 | Rising feed concentration | [78] |
| GO | PEI | Zn2+, Cd2+, Cu2+, Ni2+, and Pb+2 | 97 | - | 70.3 | Increasing antifouling performance with cationic surfactants | [69] |
| MSNs | PS | Cd2+ and Pb2+ | 99 | Phase inversion | 6.7 | Rising mechanical strength hydrophilicity and water flux | [79] |
| GO/EDA | PA | Zn2+, Cu2+, Ni2+ and Pb2+ | 93.33 | IP | 18.03 | Enhancing the macropores effect on the surface of the hollow fiber composite | [80] |
| Fe3O4/SiO2 | PES | Cd2+ | 93 | Phase inversion | 65 | Modify the stability of the membrane | [81] |
| SiO2 ‘mesoporous’ | PS | Cd2+ and Zn2+ | >90 | Phase inversion | 13 ± 2 | Growth of physico-chemical properties | [82] |
| Cellulose | PA | Cu2+ and Pb2+ | 98.4 | IP | 23.92 | Increase nanofiltration membrane flux | [83] |
| Ag | PA/PEI/PEG | Pb2+, Cd2+, Co2+, and Cu2+ | >99 | IP | 40 | Reduction of surface pore size | [10] |
| MWCNTs | PDA/PA | Zn, Mg, and Cu | 93.0 | IP | 15.32 | Increasing salt rejection | [84] |
| MWCNTs/ED | PES | Zn, Mg, Cd, Cu, Ca, Ni, and Pb | 96.7 | Self-assembly | 80.5 | Evaluation of thermal and mechanical stabilities | [24] |
| CNFs/Cs | PES | Cu, Cr, and Pb | 98.40 | - | 13.58 | Evaluation of surface hydrophilicity | [85] |
| Mil-125(Ti)/CS | PES | - | - | Phase inversion | - | Increment of antifouling properties | [86] |
| FeS/CFFO | PVDF | Cr6+, Cd2+, and Pb2+ | 99 | Phase inversion | 340–1266 | Rising the water flux, porosity, and hydrophilicity | [87] |
| ZnO/FeOOH | PET | Pb2+ and Cr6+ | 94.7 | Electro-spinning | 169.3 | Better antifouling properties | [88] |
| F-CMK-5 | PES | Zn2+ and Fe2+ | - | Phase inversion | - | Recording a dramatic increment in heavy metal rejection | [89] |
| GO | PES | Cu, Zn, and Cd | >80 | Phase inversion | ∼55 | Rising the salt, dye, and heavy metal rejection | [90] |
| Mitigation Fouling Process | Fouling Substrate | Treatment | Nano Particle | Efficiency | Adv. | Flux | Ref. |
|---|---|---|---|---|---|---|---|
| Pre-treatment of feed solution | 1,3-propanediol broths in feed, | NF270 | - | 97% MgSO4 | Complete removal of Fe, S, Si, C, Al, P, and Ca deposits and bacterial fermentation fouling | 0.18 L m−2 h−1 | [119] |
| Grafting | E. coli | PSF | GO/Pt 0.75 wt% | 24% NO3− | Rising the membrane hydrophilicity | 675.71 L m−2 min−1 | [120] |
| Grafting | Hydrophobic fouling | Thiolated zwitterionic polyurethane 30 g L−1/PDA/PES | - | 95% NaCl | High fouling resistance compared to commercially benchmark NF membrane | 50 L m−2 h−1 | [121] |
| Grafting | Humic acid and Congo red | Zwitterion | - | Humic acid 98.1% and Congo red 97.6% | Removal of organic pollutants | - | [122] |
| Coating | Dye and heavy metals | PVDF | SiO2+ PEI | 74.2% Cu2+ | Rising the anti-fouling ability | 10,700.0 ± 353.3 L m−2 h−1 | [123] |
| Cross-linking | Biological source | Tannic acid/polyvinylamine | - | >99% for Ca2+ and Mg2+ | The permeability improved by 60% | - | [124] |
| Blending of polymeric matrix and embedding of nanoparticle | Protein | PES/TPU | GO-APTS | 99.4% methylene blue | Rising FRR to 92.9% | ∼74 L m−2 h−1 | [117] |
Disclaimer/Publisher’s Note: The statements, opinions and data contained in all publications are solely those of the individual author(s) and contributor(s) and not of MDPI and/or the editor(s). MDPI and/or the editor(s) disclaim responsibility for any injury to people or property resulting from any ideas, methods, instructions or products referred to in the content. |
© 2023 by the authors. Licensee MDPI, Basel, Switzerland. This article is an open access article distributed under the terms and conditions of the Creative Commons Attribution (CC BY) license (https://creativecommons.org/licenses/by/4.0/).
Share and Cite
Mahmoud, A.E.D.; Mostafa, E. Nanofiltration Membranes for the Removal of Heavy Metals from Aqueous Solutions: Preparations and Applications. Membranes 2023, 13, 789. https://doi.org/10.3390/membranes13090789
Mahmoud AED, Mostafa E. Nanofiltration Membranes for the Removal of Heavy Metals from Aqueous Solutions: Preparations and Applications. Membranes. 2023; 13(9):789. https://doi.org/10.3390/membranes13090789
Chicago/Turabian StyleMahmoud, Alaa El Din, and Esraa Mostafa. 2023. "Nanofiltration Membranes for the Removal of Heavy Metals from Aqueous Solutions: Preparations and Applications" Membranes 13, no. 9: 789. https://doi.org/10.3390/membranes13090789
APA StyleMahmoud, A. E. D., & Mostafa, E. (2023). Nanofiltration Membranes for the Removal of Heavy Metals from Aqueous Solutions: Preparations and Applications. Membranes, 13(9), 789. https://doi.org/10.3390/membranes13090789

