Breakthrough Curve Modeling and Analysis for Lysozyme Adsorption by Tris(hydroxymethyl)aminomethane Affinity Nanofiber Membrane
Abstract
:1. Introduction
2. Materials and Methods
2.1. Materials and Apparatus
2.2. Preparation of Tris(hydroxymethyl)aminomethane Affinity Nanofiber Membrane
2.3. Membrane Flow Systems
2.4. Breakthrough Analysis
2.5. Kinetic Rate Constant
2.6. Breakthrough Curve Models
2.6.1. Bohart–Adams Model
2.6.2. Thomas Model
2.6.3. Yoon–Nelson Model
2.6.4. BDST Model
2.6.5. Linear Regression Coefficients and Error Analysis
3. Results and Discussion
3.1. Process Parameters
3.1.1. Effect of Adsorption pH
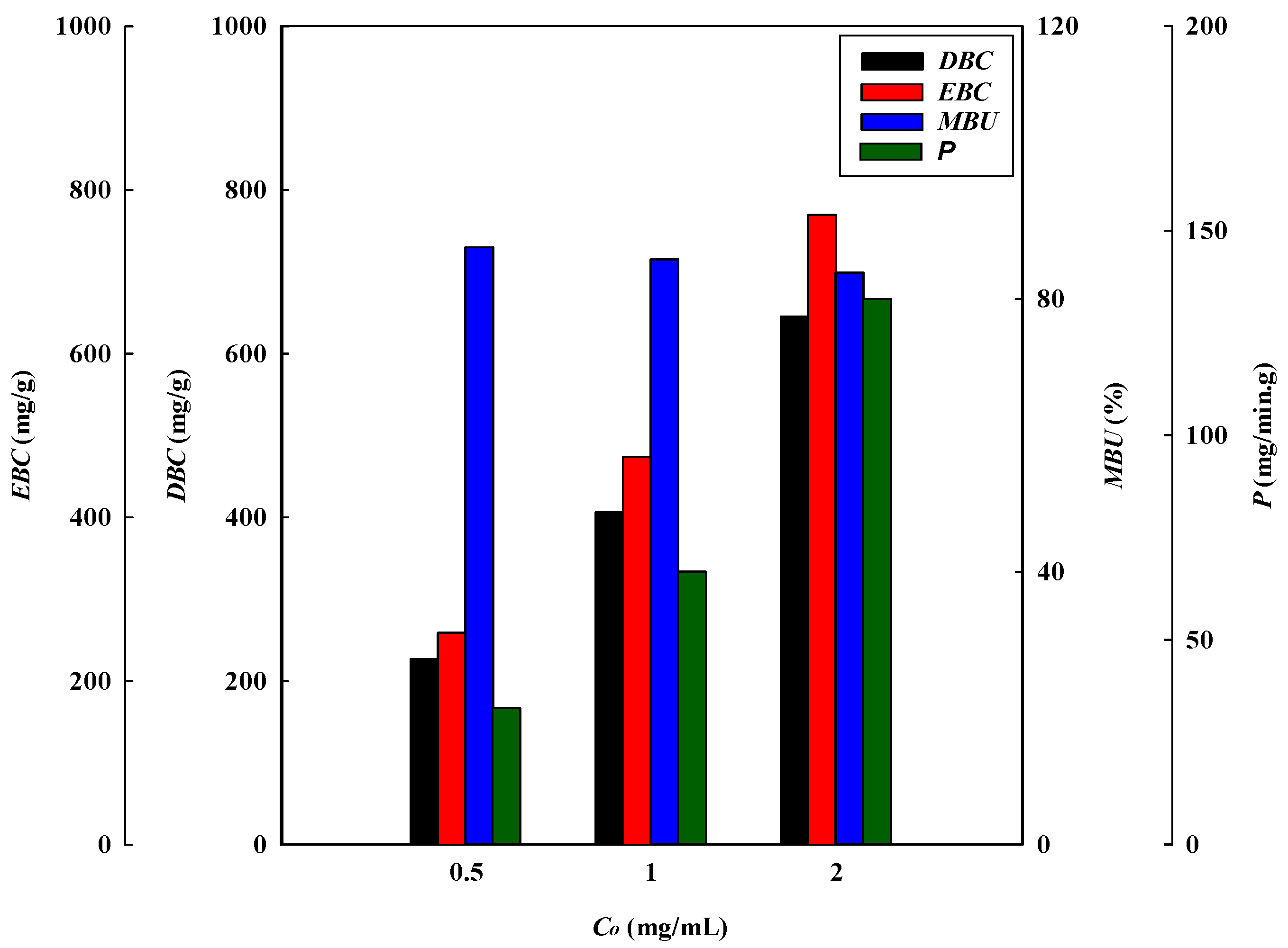
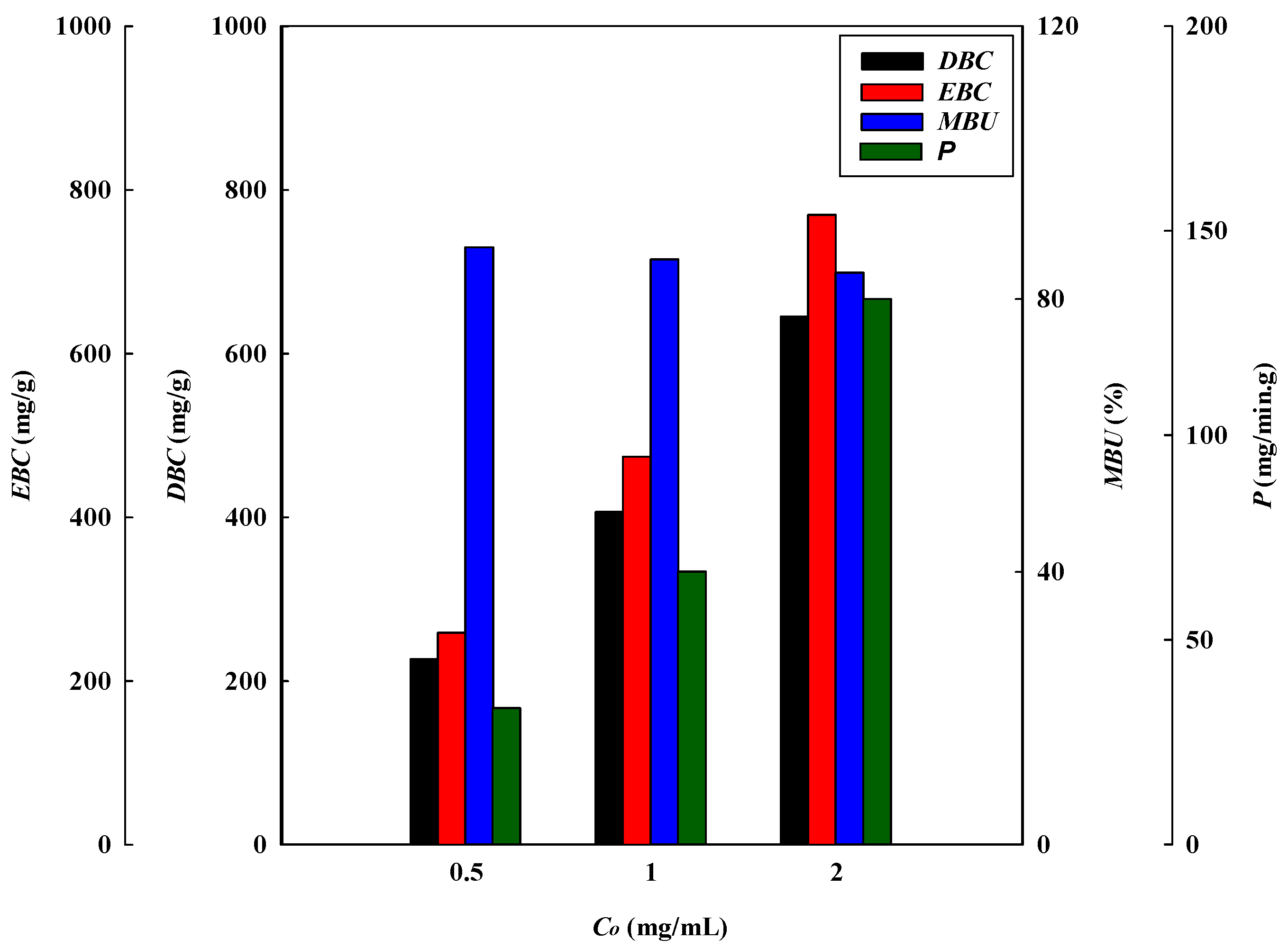
3.1.2. Effect of Feedstock Lysozyme Concentration
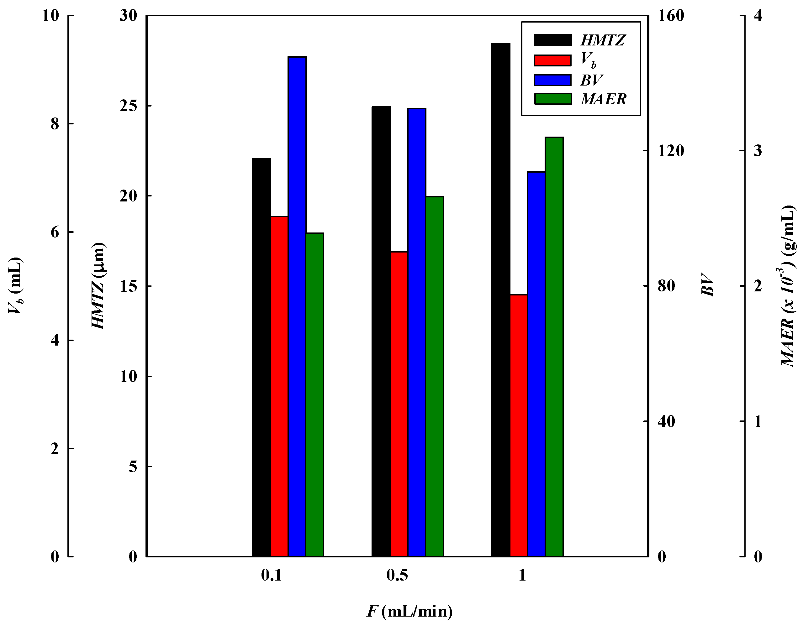
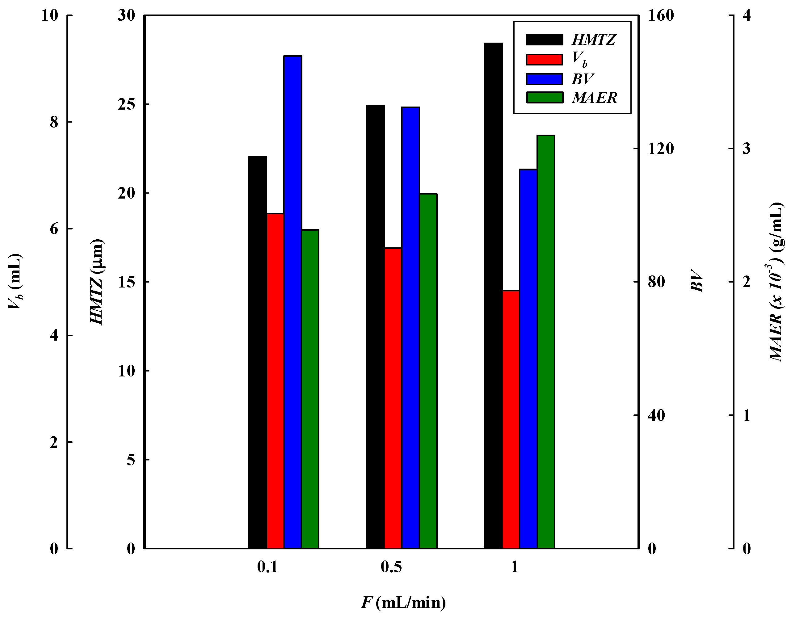
3.1.3. Effect of Flow Rate
3.1.4. Effect of Stacked Membrane Layers
3.2. Dynamic Kinetic Studies
3.3. Modelling of the Breakthrough Curves
3.3.1. Bohart–Adams model
3.3.2. Thomas Model
3.3.3. BDST Model
3.3.4. Yoon–Nelson Model
3.4. Remarks on the Model Fitting
4. Conclusions
Author Contributions
Funding
Data Availability Statement
Conflicts of Interest
Nomenclature
| A | Nanofiber membrane’s effective area (cm2) |
| BV | Bed volume |
| C0 | Inlet lysozyme concentration (mg/mL) |
| Ct | Concentration of lysozyme in effluent at time t (mg/L) |
| DBC | Dynamic binding capacity (mg/g) |
| EBC | Equilibrium binding capacity (mg/g) |
| F | Flow rate (mL/min) |
| HMTZ | Length of the mass transfer zone (μm) |
| J | Permeation flux (L/m2·h·bar) |
| k1 | Pseudo-first-order kinetic rate constant (1/min) |
| k2 | Pseudo-second-order kinetic rate constant (g/mg·min) |
| kBA | Adams–Bohart kinetic constant (mL/(mg·min)) |
| kBDST | Rate constant for BDST model (mL/min g) |
| ki | Intraparticle diffusion rate constant (mg/g·min0.5) |
| kT | Constant for Thomas model (mL/min mg) |
| kYN | Rate constant for Yoon–Nelson model (1/min) |
| MAER | Membrane adsorber exhaustion rate (g/mL) |
| MBU | Membrane bed utilization (%) |
| No | Saturation binding capacity of membrane bed (mg/mL) |
| P | Productivity (mg/g·min) |
| q1 | Binding capacity of the membrane (mg/g) |
| q2 | Binding capacity of the membrane (mg/g) |
| qt | Binding capacity at any given time t (mg/g) |
| qe | Equilibrium binding capacity (mg/g) |
| qe(exp) | Experimental equilibrium binding capacity (mg/g) |
| Qo | Binding capacity of membrane per unit bed volume (mg/mL) |
| t | Service time (min) |
| tb | Time required at 10% breakthrough (min) |
| V | Total volume of permeated solution (mL) |
| Vb | 10% breakthrough volume (mL) |
| VM | Membrane volume (mL) |
| WM | Weight of the membrane adsorber (g) |
| Z | Length of the membrane bed (cm) |
| v | Superficial (linear) velocity (cm/min) |
| τ | Residence time in the membrane (min) |
| α | Initial adsorption rate in the Elovich kinetic model (mg/g·min) |
| β | Constant related to the extent of surface coverage and activation energy for chemisorption in the Elovich kinetic model (g/mg) |
| ε | Porosity of the membrane |
References
- Chang, Y.-K.; Cheng, H.-I.; Ooi, C.W.; Song, C.P.; Liu, B.-L. Adsorption and Purification Performance of Lysozyme from Chicken Egg White Using Ion Exchange Nanofiber Membrane Modified by Ethylene Diamine and Bromoacetic Acid. Food Chem. 2021, 358, 129914. [Google Scholar] [CrossRef] [PubMed]
- Min, L.-L.; Yuan, Z.-H.; Zhong, L.-B.; Liu, Q.; Wu, R.-X.; Zheng, Y.-M. Preparation of Chitosan Based Electrospun Nanofiber Membrane and Its Adsorptive Removal of Arsenate from Aqueous Solution. Chem. Eng. J. 2015, 267, 132–141. [Google Scholar] [CrossRef]
- Chiu, H.; Lin, J.; Cheng, T.; Chou, S.; Huang, C. Direct Purification of Lysozyme from Chicken Egg White Using Weak Acidic Polyacrylonitrile Nanofiber-based Membranes. J. Appl. Polym. Sci. 2012, 125, E616–E621. [Google Scholar] [CrossRef]
- Huang, M.; Tu, H.; Chen, J.; Liu, R.; Liang, Z.; Jiang, L.; Shi, X.; Du, Y.; Deng, H. Chitosan-Rectorite Nanospheres Embedded Aminated Polyacrylonitrile Nanofibers via Shoulder-to-Shoulder Electrospinning and Electrospraying for Enhanced Heavy Metal Removal. Appl. Surf. Sci. 2018, 437, 294–303. [Google Scholar] [CrossRef]
- Fathi-Karkan, S.; Mirinejad, S.; Ulucan-Karnak, F.; Mukhtar, M.; Almanghadim, H.G.; Sargazi, S.; Rahdar, A.; Díez-Pascual, A.M. Biomedical Applications of Aptamer-Modified Chitosan Nanomaterials: An Updated Review. Int. J. Biol. Macromol. 2023, 238, 124103. [Google Scholar] [CrossRef]
- Rajesh, S.; Crandall, C.; Schneiderman, S.; Menkhaus, T.J. Cellulose-Graft-Polyethyleneamidoamine Anion-Exchange Nanofiber Membranes for Simultaneous Protein Adsorption and Virus Filtration. ACS Appl. Nano Mater. 2018, 1, 3321–3330. [Google Scholar] [CrossRef]
- Bayramoglu, G.; Arica, M.Y. Strong and Weak Cation-Exchange Groups Generated Cryogels Films for Adsorption and Purification of Lysozyme from Chicken Egg White. Food Chem. 2021, 342, 128295. [Google Scholar] [CrossRef]
- Liu, B.-L.; Ooi, C.W.; Ng, I.-S.; Show, P.L.; Lin, K.-J.; Chang, Y.-K. Effective Purification of Lysozyme from Chicken Egg White by Tris (Hydroxymethyl) Aminomethane Affinity Nanofiber Membrane. Food Chem. 2020, 327, 127038. [Google Scholar] [CrossRef]
- Lee, P.-X.; Liu, B.-L.; Show, P.L.; Ooi, C.W.; Chai, W.S.; Munawaroh, H.S.H.; Chang, Y.-K. Removal of Calcium Ions from Aqueous Solution by Bovine Serum Albumin (BSA)-Modified Nanofiber Membrane: Dynamic Adsorption Performance and Breakthrough Analysis. Biochem. Eng. J. 2021, 171, 108016. [Google Scholar] [CrossRef]
- Chen, Y.-S.; Ooi, C.W.; Show, P.L.; Hoe, B.C.; Chai, W.S.; Chiu, C.-Y.; Wang, S.S.-S.; Chang, Y.-K. Removal of Ionic Dyes by Nanofiber Membrane Functionalized with Chitosan and Egg White Proteins: Membrane Preparation and Adsorption Efficiency. Membranes 2022, 12, 63. [Google Scholar] [CrossRef]
- Saad, M.S.; Balasubramaniam, L.; Wirzal, M.D.H.; Abd Halim, N.S.; Bilad, M.R.; Md Nordin, N.A.H.; Adi Putra, Z.; Ramli, F.N. Integrated Membrane–Electrocoagulation System for Removal of Celestine Blue Dyes in Wastewater. Membranes 2020, 10, 184. [Google Scholar] [CrossRef]
- Abadi, P.G.; Irani, M.; Rad, L.R. Mechanisms of the Removal of the Metal Ions, Dyes, and Drugs from Wastewaters by the Electrospun Nanofiber Membranes. J. Taiwan. Inst. Chem. Eng. 2023, 143, 104625. [Google Scholar] [CrossRef]
- Moyo, S.; Gumbi, N.N.; De Kock, L.A.; Nxumalo, E.N. A Mini-Review of Nanocellulose-Based Nanofiber Membranes Incorporating Carbon Nanomaterials for Dye Wastewater Treatment. Environ. Nanotechnol. Monit. Manag. 2022, 18, 100714. [Google Scholar] [CrossRef]
- Xu, F.-X.; Ooi, C.W.; Liu, B.-L.; Song, C.P.; Chiu, C.-Y.; Wang, C.-Y.; Chang, Y.-K. Antibacterial Efficacy of Poly (Hexamethylene Biguanide) Immobilized on Chitosan/Dye-Modified Nanofiber Membranes. Int. J. Biol. Macromol. 2021, 181, 508–520. [Google Scholar] [CrossRef]
- Haider, M.K.; Kharaghani, D.; Yoshiko, Y.; Kim, I.S. Lignin-Facilitated Growth of Ag/CuNPs on Surface-Activated Polyacryloamidoxime Nanofibers for Superior Antibacterial Activity with Improved Biocompatibility. Int. J. Biol. Macromol. 2023, 242, 124945. [Google Scholar] [CrossRef]
- Liu, X.; Chen, L.; Dong, Q.; Wang, Z.; Zhang, D.; He, J.; Ye, Y.; Zhou, J.; Zhu, W.; Hu, Z. Emerging Starch Composite Nanofibrous Films for Food Packaging: Facile Construction, Hydrophobic Property, and Antibacterial Activity Enhancement. Int. J. Biol. Macromol. 2022, 222, 868–879. [Google Scholar] [CrossRef]
- Han, W.-H.; Li, X.; Yu, G.-F.; Wang, B.-C.; Huang, L.-P.; Wang, J.; Long, Y.-Z. Recent Advances in the Food Application of Electrospun Nanofibers. J. Ind. Eng. Chem. 2022, 110, 15–26. [Google Scholar] [CrossRef]
- Liu, X.; Xu, H.; Zhang, M.; Yu, D.-G. Electrospun Medicated Nanofibers for Wound Healing. Membranes 2021, 11, 770. [Google Scholar] [CrossRef]
- Cai, D.-L.; Thanh, D.T.H.; Show, P.-L.; How, S.-C.; Chiu, C.-Y.; Hsu, M.; Chia, S.R.; Chen, K.-H.; Chang, Y.-K. Studies of Protein Wastes Adsorption by Chitosan-Modified Nanofibers Decorated with Dye Wastes in Batch and Continuous Flow Processes: Potential Environmental Applications. Membranes 2022, 12, 759. [Google Scholar] [CrossRef]
- Grasselli, M.; Camperi, S.A.; del Cañizo, A.A.N.; Cascone, O. Direct Lysozyme Separation from Egg White by Dye Membrane Affinity Chromatography. J. Sci. Food Agric. 1999, 79, 333–339. [Google Scholar] [CrossRef]
- Arnold, F.H.; Blanch, H.W.; Wilke, C.R. Analysis of Affinity Separations: I: Predicting the Performance of Affinity Adsorbers. Chem. Eng. J. 1985, 30, B9–B23. [Google Scholar] [CrossRef]
- Girish, C.R.; Murty, V.R. Adsorption of Phenol from Aqueous Solution Using Lantana Camara, Forest Waste: Packed Bed Studies and Prediction of Breakthrough Curves. Environ. Process. 2015, 2, 773–796. [Google Scholar] [CrossRef]
- Khitous, M.; Moussous, S.; Selatnia, A.; Kherat, M. Biosorption of Cd (II) by Pleurotus Mutilus Biomass in Fixed-Bed Column: Experimental and Breakthrough Curves Analysis. Desalination Water Treat. 2016, 57, 16559–16570. [Google Scholar] [CrossRef]
- Tariq, M.; Farooq, U.; Athar, M.; Salman, M.; Tariq, M. Biosorption of Cu (II) from Aqueous Solution onto Immobilized Ficus Religiosa Branch Powder in a Fixed Bed Column: Breakthrough Curves and Mathematical Modeling. Korean J. Chem. Eng. 2019, 36, 48–55. [Google Scholar] [CrossRef]
- Hu, A.; Ren, G.; Che, J.; Guo, Y.; Ye, J.; Zhou, S. Phosphate Recovery with Granular Acid-Activated Neutralized Red Mud: Fixed-Bed Column Performance and Breakthrough Curve Modelling. J. Environ. Sci. 2020, 90, 78–86. [Google Scholar] [CrossRef]
- Ang, T.N.; Young, B.R.; Taylor, M.; Burrell, R.; Aroua, M.K.; Baroutian, S. Breakthrough Analysis of Continuous Fixed-Bed Adsorption of Sevoflurane Using Activated Carbons. Chemosphere 2020, 239, 124839. [Google Scholar] [CrossRef]
- Gupta, S.; Babu, B.V. Modeling, Simulation, and Experimental Validation for Continuous Cr (VI) Removal from Aqueous Solutions Using Sawdust as an Adsorbent. Bioresour. Technol. 2009, 100, 5633–5640. [Google Scholar] [CrossRef]
- Eslami, T.; Jakob, L.A.; Satzer, P.; Ebner, G.; Jungbauer, A.; Lingg, N. Productivity for Free: Residence Time Gradients during Loading Increase Dynamic Binding Capacity and Productivity. Sep. Purif. Technol. 2022, 281, 119985. [Google Scholar] [CrossRef]
- Bohart, G.S.; Adams, E.Q. Some Aspects of the Behavior of Charcoal with Respect to Chlorine. J. Am. Chem. Soc. 1920, 42, 523–544. [Google Scholar] [CrossRef]
- Thomas, H.C. Heterogeneous Ion Exchange in a Flowing System. J. Am. Chem. Soc. 1944, 66, 1664–1666. [Google Scholar] [CrossRef]
- Yoon, Y.H.; Nelson, J.H. Application of Gas Adsorption Kinetics I. A Theoretical Model for Respirator Cartridge Service Life. Am. Ind. Hyg. Assoc. J. 1984, 45, 509–516. [Google Scholar] [CrossRef] [PubMed]
- Santhy, K.; Selvapathy, P. Removal of Reactive Dyes from Wastewater by Adsorption on Coir Pith Activated Carbon. Bioresour. Technol. 2006, 97, 1329–1336. [Google Scholar] [CrossRef] [PubMed]
- Kumar, P.S.; Ramalingam, S.; Senthamarai, C.; Niranjanaa, M.; Vijayalakshmi, P.; Sivanesan, S. Adsorption of Dye from Aqueous Solution by Cashew Nut Shell: Studies on Equilibrium Isotherm, Kinetics and Thermodynamics of Interactions. Desalination 2010, 261, 52–60. [Google Scholar] [CrossRef]
- Svilović, S.; Rušić, D.; Bašić, A. Investigations of Different Kinetic Models of Copper Ions Sorption on Zeolite 13X. Desalination 2010, 259, 71–75. [Google Scholar] [CrossRef]
- Weber, W.J., Jr.; Morris, J.C. Kinetics of Adsorption on Carbon from Solution. J. Sanit. Eng. Div. 1963, 89, 31–59. [Google Scholar] [CrossRef]
- Ofomaja, A.E. Intraparticle Diffusion Process for Lead (II) Biosorption onto Mansonia Wood Sawdust. Bioresour. Technol. 2010, 101, 5868–5876. [Google Scholar] [CrossRef]
- Li, T.; Liu, Y.; Peng, Q.; Hu, X.; Liao, T.; Wang, H.; Lu, M. Removal of Lead (II) from Aqueous Solution with Ethylenediamine-Modified Yeast Biomass Coated with Magnetic Chitosan Microparticles: Kinetic and Equilibrium Modeling. Chem. Eng. J. 2013, 214, 189–197. [Google Scholar] [CrossRef]













| Process Parameters | Breakthrough Curve Analysis | ||||||||||||
|---|---|---|---|---|---|---|---|---|---|---|---|---|---|
| Z (μm) | pH | Co (mg/mL) | F (mL/min) | t0.1 | t0.9 | HMTZ | Vb | BV | MAER (×10−3) | DBC | EBC | MBU (%) | Productivity at DBC (mg/min·g) |
| 115 | 5 | 2.0 | 1.0 | 1.86 | 5.40 | 75.39 | 1.86 | 43.71 | 8.06 | 248.01 | 459.05 | 54.03 | 133.33 |
| 115 | 7 | 2.0 | 1.0 | 4.47 | 6.15 | 31.42 | 4.47 | 105.05 | 3.36 | 596.01 | 733.55 | 81.25 | 133.33 |
| 115 | 9 | 2.0 | 1.0 | 4.84 | 6.43 | 28.43 | 4.84 | 113.75 | 3.10 | 645.33 | 769.65 | 83.85 | 133.33 |
| 115 | 9 | 0.5 | 1.0 | 6.80 | 8.43 | 22.24 | 6.80 | 159.81 | 2.21 | 226.67 | 258.75 | 87.60 | 33.33 |
| 115 | 9 | 1.0 | 1.0 | 6.10 | 8.10 | 28.39 | 6.10 | 143.36 | 2.46 | 406.67 | 473.96 | 85.80 | 66.67 |
| 115 | 9 | 2.0 | 1.0 | 4.84 | 6.43 | 28.43 | 4.84 | 113.75 | 3.10 | 645.33 | 769.65 | 83.85 | 133.33 |
| 115 | 9 | 2.0 | 0.1 | 62.87 | 77.79 | 22.06 | 6.29 | 147.76 | 2.39 | 838.27 | 961.59 | 87.18 | 13.33 |
| 115 | 9 | 2.0 | 0.5 | 11.27 | 14.39 | 24.93 | 5.64 | 132.43 | 2.66 | 751.33 | 875.87 | 85.78 | 66.67 |
| 115 | 9 | 2.0 | 1.0 | 4.84 | 6.43 | 28.43 | 4.84 | 113.75 | 3.10 | 645.33 | 769.65 | 83.85 | 133.33 |
| 115 | 9 | 2.0 | 1.0 | 4.84 | 6.43 | 28.43 | 4.84 | 113.75 | 3.10 | 645.33 | 769.65 | 83.85 | 133.33 |
| 345 | 9 | 2.0 | 1.0 | 8.71 | 12.91 | 112.24 | 8.71 | 68.23 | 5.17 | 387.11 | 469.92 | 82.38 | 44.44 |
| 575 | 9 | 2.0 | 1.0 | 12.56 | 19.73 | 208.96 | 12.56 | 59.04 | 5.97 | 334.93 | 433.79 | 77.21 | 26.67 |
| Kinetic Models | pH | Lysozyme (mg/mL) | Flow Rate (mL/min) | Stacked Membrane Layers | ||||||||
|---|---|---|---|---|---|---|---|---|---|---|---|---|
| 5 | 7 | 9 | 0.5 | 1 | 2 | 0.1 | 0.5 | 1 | 1 | 3 | 5 | |
| qe,exp (mg/g) | 459.05 | 733.55 | 769.65 | 258.75 | 473.96 | 769.65 | 961.59 | 875.87 | 769.65 | 769.65 | 469.92 | 433.79 |
| Pseudo-first-order | ||||||||||||
| k1 | 0.3269 | 0.4055 | 0.4758 | 0.4853 | 0.4457 | 0.4758 | 0.0447 | 0.2428 | 0.4758 | 0.4758 | 0.2864 | 0.1128 |
| R2 | 0.9671 | 0.9790 | 0.9786 | 0.9388 | 0.9627 | 0.9786 | 0.9634 | 0.9730 | 0.9786 | 0.9786 | 0.9753 | 0.9735 |
| Pseudo-second-order | ||||||||||||
| k2 × 10−3 (g/mg·min) | 1.334 | 1.680 | 2.111 | 7.918 | 3.353 | 2.111 | 0.320 | 0.962 | 2.111 | 2.111 | 1.403 | 0.568 |
| qe,cal (mg/g) | 502.04 | 766.49 | 798.59 | 264.45 | 488.40 | 798.59 | 968.63 | 905.77 | 798.59 | 798.59 | 498.22 | 467.75 |
| R2 | 0.9859 | 0.9903 | 0.9909 | 0.9889 | 0.9907 | 0.9909 | 0.9958 | 0.9903 | 0.9909 | 0.9909 | 0.9848 | 0.9855 |
| Elovich | ||||||||||||
| α | 469.277 | 476.972 | 510.961 | 121.800 | 230.274 | 510.961 | 48.224 | 226.407 | 510.961 | 510.961 | 160.041 | 98.114 |
| β | 0.0081 | 0.0040 | 0.0038 | 0.0101 | 0.0054 | 0.0038 | 0.0028 | 0.0029 | 0.0038 | 0.0038 | 0.0059 | 0.0073 |
| R2 | 0.9807 | 0.9500 | 0.9431 | 0.9393 | 0.9556 | 0.9431 | 0.9463 | 0.9561 | 0.9431 | 0.9431 | 0.9475 | 0.9396 |
| Intraparticle diffusion | ||||||||||||
| ki1 | 170.21 | 138.16 | 138.98 | 42.55 | 109.87 | 138.98 | 53.83 | 118.58 | 138.98 | 138.98 | 73.25 | 62.15 |
| R2 | 0.9246 | 0.9459 | 0.9246 | 0.9246 | 0.9246 | 0.9246 | 0.9246 | 0.9399 | 0.9246 | 0.9246 | 0.9246 | 0.9246 |
| ki2 | 184.23 | 411.62 | 432.87 | 132.14 | 259.82 | 432.87 | 159.77 | 340.72 | 432.87 | 432.87 | 197.84 | 138.11 |
| R2 | 0.9548 | 0.9910 | 0.9928 | 0.9937 | 0.9895 | 0.9928 | 0.9933 | 0.9930 | 0.9928 | 0.9928 | 0.9930 | 0.9843 |
| Models | |||||||||||||||||||
|---|---|---|---|---|---|---|---|---|---|---|---|---|---|---|---|---|---|---|---|
| Operating Parameters | Thomas | Bohart–Adams | Yoon–Nelson | BDST | |||||||||||||||
| pH | Co (mg/mL) | F (mL/min) | qeq | qeq (exp) | R2 | E (%) | No | No (exp) | R2 | E (%) | t0.5 | t0.5 (exp) | R2 | E (%) | No | No (exp) | R2 | E (%) | |
| 115 | 5 | 2 | 1 | 289.252 | 459.048 | 1.000 | 58.702 | 191.403 | 161.827 | 0.978 | 15.452 | 2.169 | 2.330 | 1.000 | 7.401 | 101.969 | 161.827 | 1.000 | 58.701 |
| 115 | 7 | 2 | 1 | 668.131 | 733.552 | 0.997 | 9.792 | 282.674 | 258.596 | 0.913 | 8.518 | 5.011 | 5.018 | 0.997 | 0.140 | 235.586 | 258.596 | 0.997 | 9.767 |
| 115 | 9 | 2 | 1 | 724.858 | 769.649 | 0.910 | 6.179 | 318.876 | 271.322 | 0.821 | 14.913 | 5.436 | 5.497 | 0.910 | 1.114 | 258.354 | 271.322 | 0.910 | 5.019 |
| 115 | 9 | 0.5 | 1 | 248.667 | 258.754 | 0.903 | 4.056 | 103.885 | 91.218 | 0.803 | 12.193 | 7.460 | 7.500 | 0.903 | 0.536 | 88.390 | 91.218 | 0.903 | 3.200 |
| 115 | 9 | 1 | 1 | 434.273 | 473.958 | 0.917 | 9.138 | 188.782 | 167.083 | 0.903 | 11.494 | 6.514 | 6.546 | 0.917 | 0.490 | 154.530 | 167.083 | 0.917 | 8.123 |
| 115 | 9 | 2 | 0.1 | 906.659 | 961.588 | 0.896 | 6.058 | 385.754 | 338.985 | 0.773 | 12.124 | 67.999 | 68.593 | 0.896 | 0.873 | 323.035 | 338.985 | 0.896 | 4.938 |
| 115 | 9 | 2 | 0.5 | 830.626 | 875.872 | 0.961 | 5.447 | 358.463 | 308.768 | 0.815 | 13.863 | 12.459 | 12.525 | 0.961 | 0.524 | 294.054 | 308.768 | 0.961 | 5.004 |
| 345 | 9 | 2 | 1 | 446.741 | 469.920 | 0.874 | 5.188 | 190.328 | 165.659 | 0.993 | 12.961 | 10.052 | 10.366 | 0.874 | 3.129 | 158.373 | 165.659 | 0.874 | 4.601 |
| 575 | 9 | 2 | 1 | 400.782 | 433.789 | 0.960 | 8.236 | 167.233 | 152.922 | 0.917 | 8.557 | 15.029 | 14.863 | 0.960 | 1.106 | 141.275 | 152.922 | 0.960 | 8.244 |
Disclaimer/Publisher’s Note: The statements, opinions and data contained in all publications are solely those of the individual author(s) and contributor(s) and not of MDPI and/or the editor(s). MDPI and/or the editor(s) disclaim responsibility for any injury to people or property resulting from any ideas, methods, instructions or products referred to in the content. |
© 2023 by the authors. Licensee MDPI, Basel, Switzerland. This article is an open access article distributed under the terms and conditions of the Creative Commons Attribution (CC BY) license (https://creativecommons.org/licenses/by/4.0/).
Share and Cite
Chen, K.-H.; Lai, Y.-R.; Hanh, N.T.D.; Wang, S.S.-S.; Chang, Y.-K. Breakthrough Curve Modeling and Analysis for Lysozyme Adsorption by Tris(hydroxymethyl)aminomethane Affinity Nanofiber Membrane. Membranes 2023, 13, 761. https://doi.org/10.3390/membranes13090761
Chen K-H, Lai Y-R, Hanh NTD, Wang SS-S, Chang Y-K. Breakthrough Curve Modeling and Analysis for Lysozyme Adsorption by Tris(hydroxymethyl)aminomethane Affinity Nanofiber Membrane. Membranes. 2023; 13(9):761. https://doi.org/10.3390/membranes13090761
Chicago/Turabian StyleChen, Kuei-Hsiang, You-Ren Lai, Nguyen The Duc Hanh, Steven S.-S. Wang, and Yu-Kaung Chang. 2023. "Breakthrough Curve Modeling and Analysis for Lysozyme Adsorption by Tris(hydroxymethyl)aminomethane Affinity Nanofiber Membrane" Membranes 13, no. 9: 761. https://doi.org/10.3390/membranes13090761
APA StyleChen, K.-H., Lai, Y.-R., Hanh, N. T. D., Wang, S. S.-S., & Chang, Y.-K. (2023). Breakthrough Curve Modeling and Analysis for Lysozyme Adsorption by Tris(hydroxymethyl)aminomethane Affinity Nanofiber Membrane. Membranes, 13(9), 761. https://doi.org/10.3390/membranes13090761

