Impact of SWMM Fouling and Position on the Performance of SWRO Systems in Operating Conditions of Minimum SEC
Abstract
1. Introduction
1.1. Optimization of RO Systems
1.2. Fouling Impact on RO System Performance
2. Materials and Methods
2.1. Commercial SWMMs
2.2. Equations and Simulation Algorithm for SWRO Systems
3. Results and Discussion
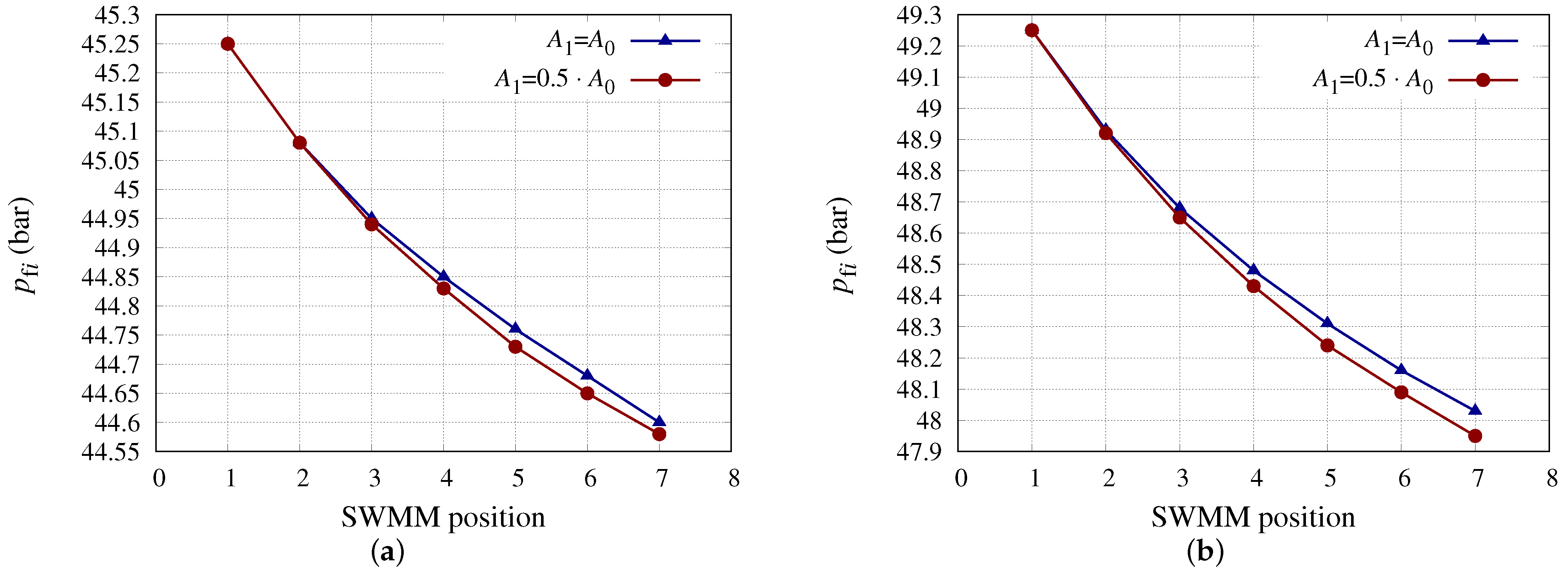
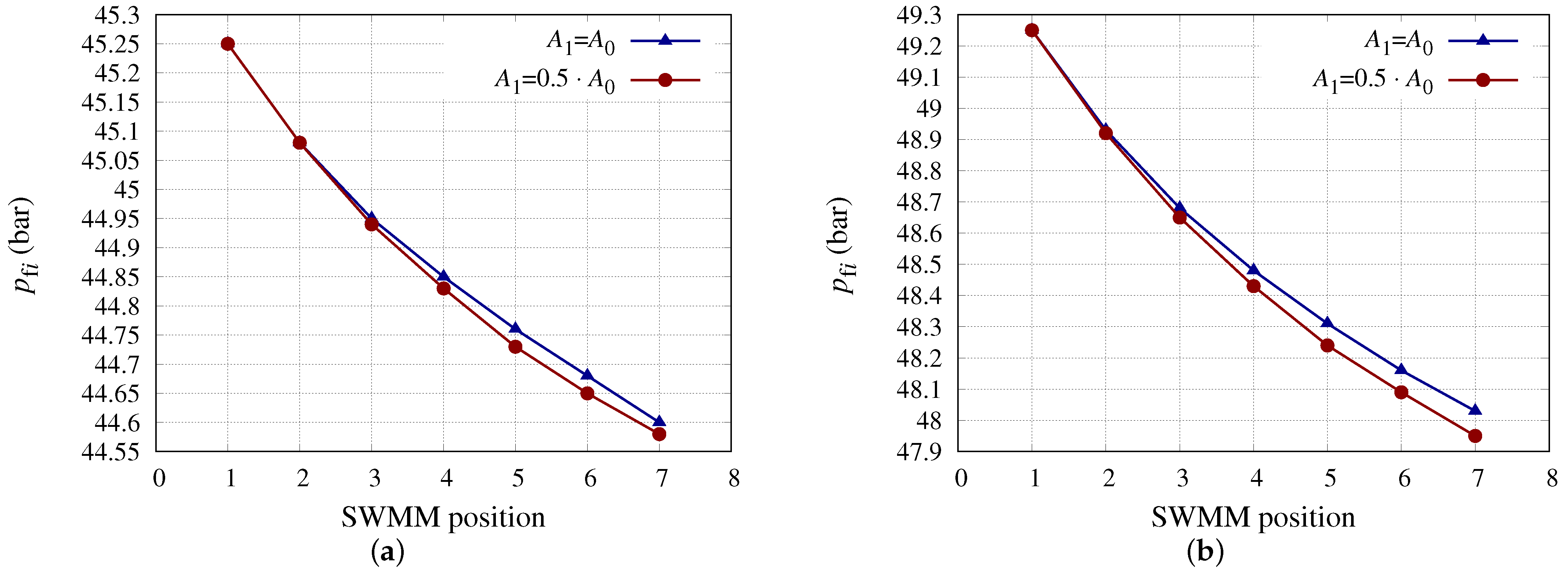
3.1. Implications of Reduction on
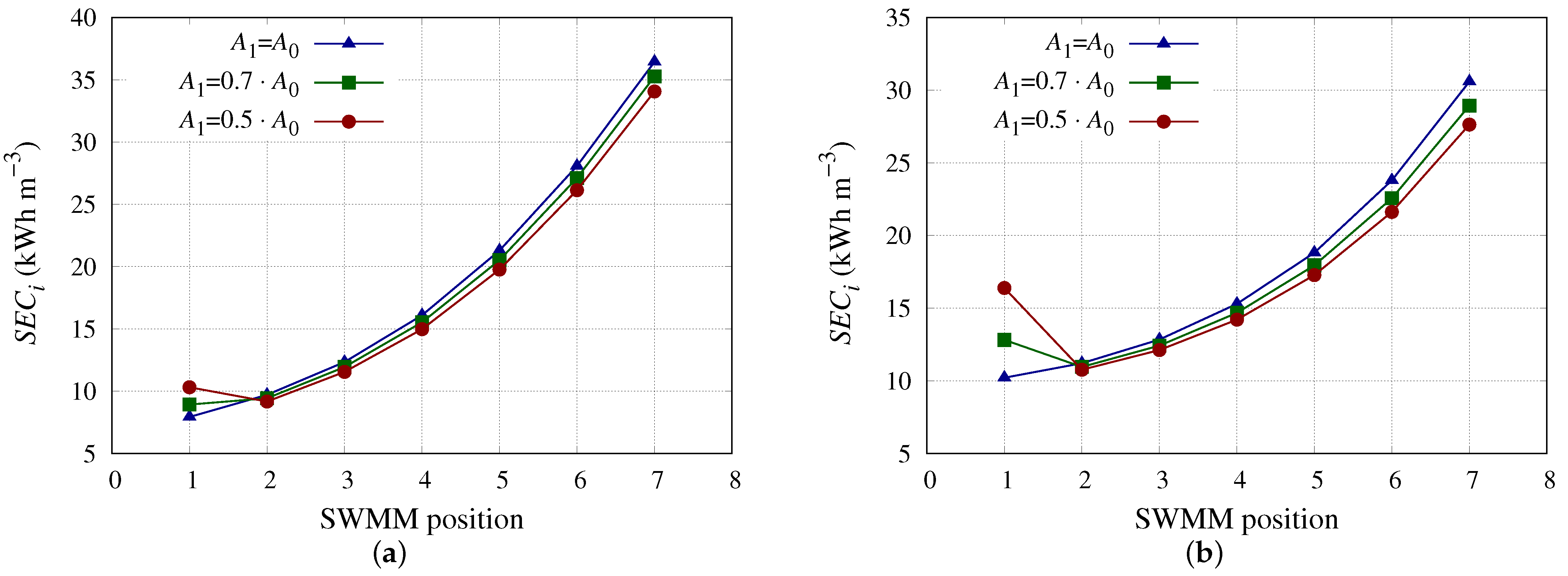
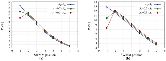
3.2. Implications of Reduction on R
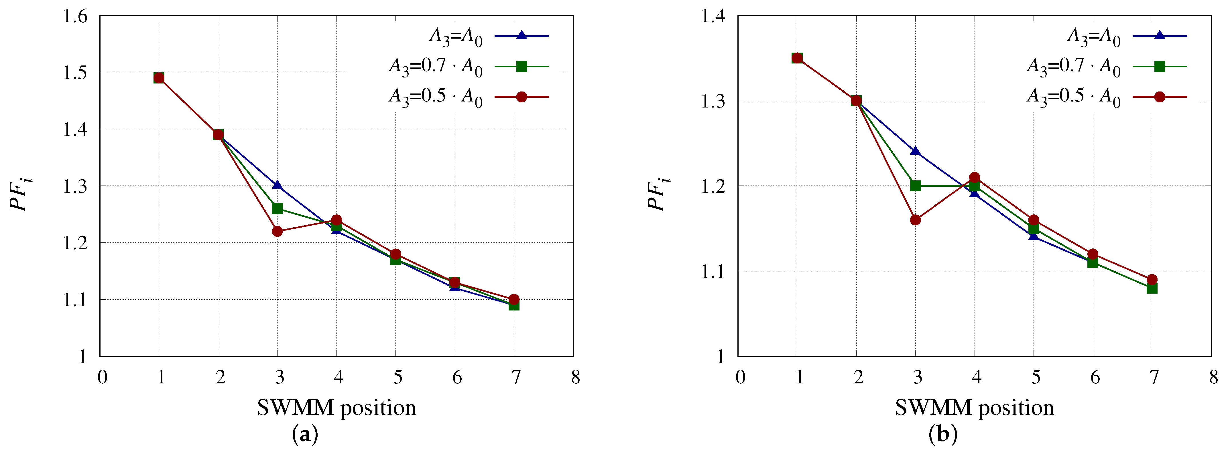
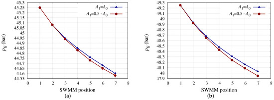
3.3. Implications of Reduction on PF
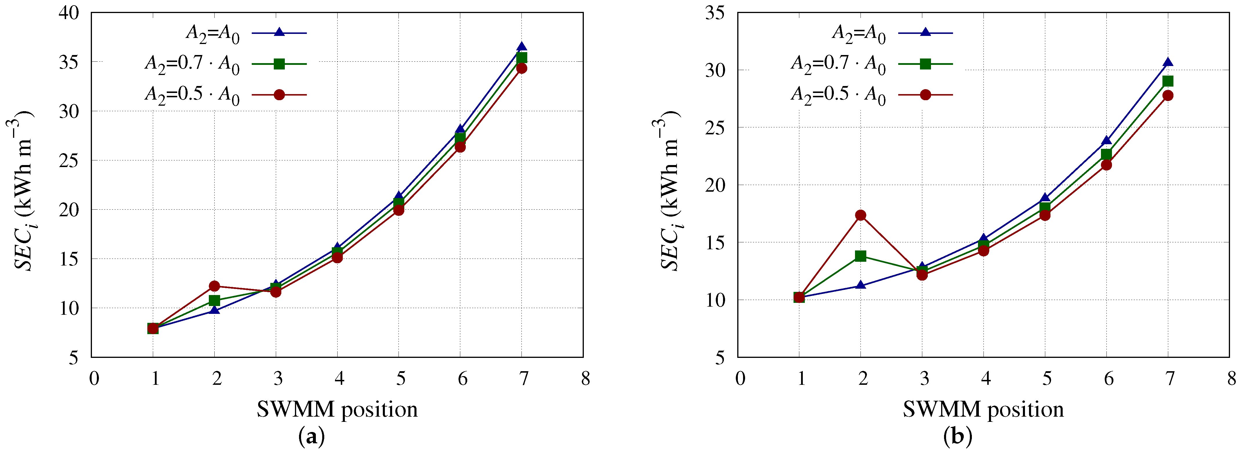
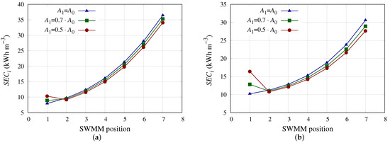
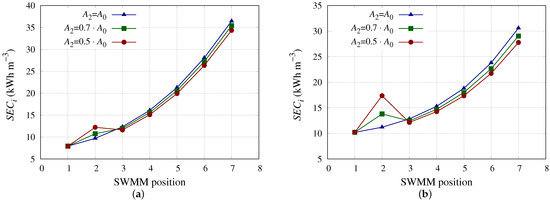
3.4. Implications of Reduction on SEC
4. Conclusions
Author Contributions
Funding
Institutional Review Board Statement
Informed Consent Statement
Data Availability Statement
Conflicts of Interest
Abbreviations
| Nomenclature | |
| A | Water permeability coefficient (m Pa s) |
| B | Ion permeability coefficient () |
| C | Concentration (g l−1) |
| Concentration factor | |
| D | Diffusivity (m2 s−1) |
| Hydraulic diameter () | |
| Flow factor | |
| h | Feed spacer height |
| J | Flow per unit area (m3 m−2 d−1) |
| Additional pressure losses factor | |
| k | Mass transfer coefficient |
| L | Length of the spiral wound membrane module () |
| m | Molal concentration (mol kg−1) |
| Power input (kW) | |
| Polarization factor | |
| PV | Pressure vessel |
| p | Pressure (Pa) |
| Q | Flow (m3 s−1) |
| R | Flow recovery (%) |
| Reynolds number | |
| Rejection (%) | |
| RO | Reverse osmosis |
| S | Membrane surface (m2) |
| Sc | Schmidt number |
| SEC | Specific energy consumption (kW h m−3) |
| Sh | Sherwood number |
| SWMM | Spiral wound membrane module |
| T | Temperature (C) |
| TCF | Temperature correction factor |
| TMP | Transmembrane pressure (Pa) |
| Greek letters | |
| Porosity of the cross-sectional area in the feed channel | |
| Dynamic viscosity (kg m−1 s) | |
| Specific weight (N m) | |
| Friction factor | |
| Velocity (m s−1) | |
| Osmotic pressure (Pa) | |
| Density () | |
| Pressure gradient (Pa) | |
| Osmotic pressure gradient (Pa) | |
| Subscripts | |
| 0 | Initial |
| av | Average |
| f | Feed |
| fb | Feed-brine |
| i | Position of the SWMM within the PV |
| m | Membrane |
| p | Permeate |
| b | Brine |
| s | Solute |
References
- Qasim, M.; Badrelzaman, M.; Darwish, N.N.; Darwish, N.A.; Hilal, N. Reverse osmosis desalination: A state-of-the-art review. Desalination 2019, 459, 59–104. [Google Scholar] [CrossRef]
- Honarparvar, S.; Zhang, X.; Chen, T.; Alborzi, A.; Afroz, K.; Reible, D. Frontiers of Membrane Desalination Processes for Brackish Water Treatment: A Review. Membranes 2021, 11, 246. [Google Scholar] [CrossRef] [PubMed]
- Zapata-Sierra, A.; Cascajares, M.; Alcayde, A.; Manzano-Agugliaro, F. Worldwide research trends on desalination. Desalination 2021, 519, 115305. [Google Scholar] [CrossRef]
- Kurihara, M. Current Status and Future Trend of Dominant Commercial Reverse Osmosis Membranes. Membranes 2021, 11, 906. [Google Scholar] [CrossRef] [PubMed]
- Voutchkov, N. Energy use for membrane seawater desalination—Current status and trends. Desalination 2018, 431, 2–14. [Google Scholar] [CrossRef]
- Nassrullah, H.; Anis, S.F.; Hashaikeh, R.; Hilal, N. Energy for desalination: A state-of-the-art review. Desalination 2020, 491, 114569. [Google Scholar] [CrossRef]
- García-Rodríguez, L.; Delgado-Torres, A.M. Renewable Energy-Driven Desalination: New Trends and Future Prospects of Small Capacity Systems. Processes 2022, 10, 745. [Google Scholar] [CrossRef]
- Giagnorio, M.; Morciano, M.; Zhang, W.; Hélix-Nielsen, C.; Fasano, M.; Tiraferri, A. Coupling of forward osmosis with desalination technologies: System-scale analysis at the water-energy nexus. Desalination 2022, 543, 116083. [Google Scholar] [CrossRef]
- Jawad, J.; Hawari, A.H.; Zaidi, S.J. Modeling and Sensitivity Analysis of the Forward Osmosis Process to Predict Membrane Flux Using a Novel Combination of Neural Network and Response Surface Methodology Techniques. Membranes 2021, 11, 70. [Google Scholar] [CrossRef]
- Ruiz-García, A.; Tadeo, F.; Nuez, I. Simulation tool for full-scale PRO systems using SWMMs. Desalination 2022, 541, 116025. [Google Scholar] [CrossRef]
- Aumesquet-Carreto, M.; Ortega-Delgado, B.; García-Rodríguez, L. Opportunities of Reducing the Energy Consumption of Seawater Reverse Osmosis Desalination by Exploiting Salinity Gradients. Membranes 2022, 12, 1045. [Google Scholar] [CrossRef] [PubMed]
- Lee, S.; Straub, A.P. Opportunities for high productivity and selectivity desalination via osmotic distillation with improved membrane design. J. Membr. Sci. 2020, 611, 118309. [Google Scholar] [CrossRef]
- Essalhi, M.; Kiadeh, N.H.; García-Payo, M.; Khayet, M. 10-Thermo-osmosis. In Osmosis Engineering; Hilal, N., Ismail, A.F., Khayet, M., Johnson, D., Eds.; Elsevier: Amsterdam, The Netherlands, 2021; pp. 279–312. [Google Scholar] [CrossRef]
- Skuse, C.; Gallego-Schmid, A.; Azapagic, A.; Gorgojo, P. Can emerging membrane-based desalination technologies replace reverse osmosis? Desalination 2021, 500, 114844. [Google Scholar] [CrossRef]
- Alsarayreh, A.A.; Al-Obaidi, M.A.; Ruiz-García, A.; Patel, R.; Mujtaba, I.M. Thermodynamic Limitations and Exergy Analysis of Brackish Water Reverse Osmosis Desalination Process. Membranes 2022, 12, 11. [Google Scholar] [CrossRef]
- Lim, Y.J.; Goh, K.; Kurihara, M.; Wang, R. Seawater desalination by reverse osmosis: Current development and future challenges in membrane fabrication—A review. J. Membr. Sci. 2021, 629, 119292. [Google Scholar] [CrossRef]
- Zhao, S.; Liao, Z.; Fane, A.; Li, J.; Tang, C.; Zheng, C.; Lin, J.; Kong, L. Engineering antifouling reverse osmosis membranes: A review. Desalination 2021, 499, 114857. [Google Scholar] [CrossRef]
- Arenas Urrea, S.; Díaz Reyes, F.; Peñate Suárez, B.; de la Fuente Bencomo, J.A. Technical review, evaluation and efficiency of energy recovery devices installed in the Canary Islands desalination plants. Desalination 2019, 450, 54–63. [Google Scholar] [CrossRef]
- Song, D.; Zhang, Y.; Wang, H.; Jiang, L.; Wang, C.; Wang, S.; Jiang, Z.; Li, H. Demonstration of a piston type integrated high pressure pump-energy recovery device for reverse osmosis desalination system. Desalination 2021, 507, 115033. [Google Scholar] [CrossRef]
- Zebbar, M.; Messlem, Y.; Gouichiche, A.; Tadjine, M. Super-twisting sliding mode control and robust loop shaping design of RO desalination process powered by PV generator. Desalination 2019, 458, 122–135. [Google Scholar] [CrossRef]
- Ruiz-García, A.; de la Nuez-Pestana, I. A computational tool for designing BWRO systems with spiral wound modules. Desalination 2018, 426, 69–77. [Google Scholar] [CrossRef]
- Li, M. A Unified Model-Based Analysis and Optimization of Specific Energy Consumption in BWRO and SWRO. Ind. Eng. Chem. Res. 2013, 52, 17241–17248. [Google Scholar] [CrossRef]
- Li, M. Optimal plant operation of brackish water reverse osmosis (BWRO) desalination. Desalination 2012, 293, 61–68. [Google Scholar] [CrossRef]
- Al-hotmani, O.; Al-Obaidi, M.; John, Y.; Patel, R.; Manenti, F.; Mujtaba, I. Minimisation of energy consumption via optimisation of a simple hybrid system of multi effect distillation and permeate reprocessing reverse osmosis processes for seawater desalination. Comput. Chem. Eng. 2021, 148, 107261. [Google Scholar] [CrossRef]
- AlSawaftah, N.; Abuwatfa, W.; Darwish, N.; Husseini, G. A Comprehensive Review on Membrane Fouling: Mathematical Modelling, Prediction, Diagnosis, and Mitigation. Water 2021, 13, 1327. [Google Scholar] [CrossRef]
- Niu, C.; Li, X.; Dai, R.; Wang, Z. Artificial intelligence-incorporated membrane fouling prediction for membrane-based processes in the past 20 years: A critical review. Water Res. 2022, 216, 118299. [Google Scholar] [CrossRef]
- Nthunya, L.N.; Bopape, M.F.; Mahlangu, O.T.; Mamba, B.B.; Van der Bruggen, B.; Quist-Jensen, C.A.; Richards, H. Fouling, performance and cost analysis of membrane-based water desalination technologies: A critical review. J. Environ. Manag. 2022, 301, 113922. [Google Scholar] [CrossRef] [PubMed]
- Lu, Y.Y.; Hu, Y.D.; Zhang, X.L.; Wu, L.Y.; Liu, Q.Z. Optimum design of reverse osmosis system under different feed concentration and product specification. J. Membr. Sci. 2007, 287, 219–229. [Google Scholar] [CrossRef]
- Vince, F.; Marechal, F.; Aoustin, E.; Bréant, P. Multi-objective optimization of RO desalination plants. Desalination 2008, 222, 96–118. [Google Scholar] [CrossRef]
- Li, M. Minimization of Energy in Reverse Osmosis Water Desalination Using Constrained Nonlinear Optimization. Ind. Eng. Chem. Res. 2010, 49, 1822–1831. [Google Scholar] [CrossRef]
- Li, M. Reducing specific energy consumption in Reverse Osmosis (RO) water desalination: An analysis from first principles. Desalination 2011, 276, 128–135. [Google Scholar] [CrossRef]
- Du, Y.; Xie, L.; Wang, Y.; Xu, Y.; Wang, S. Optimization of Reverse Osmosis Networks with Spiral-Wound Modules. Ind. Eng. Chem. Res. 2012, 51, 11764–11777. [Google Scholar] [CrossRef]
- Du, Y.; Xie, L.; Liu, J.; Wang, Y.; Xu, Y.; Wang, S. Multi-objective optimization of reverse osmosis networks by lexicographic optimization and augmented epsilon constraint method. Desalination 2014, 333, 66–81. [Google Scholar] [CrossRef]
- Du, Y.; Xie, L.; Liu, Y.; Zhang, S.; Xu, Y. Optimization of reverse osmosis networks with split partial second pass design. Desalination 2015, 365, 365–380. [Google Scholar] [CrossRef]
- Li, M.; Noh, B. Validation of model-based optimization of brackish water reverse osmosis (BWRO) plant operation. Desalination 2012, 304, 20–24. [Google Scholar] [CrossRef]
- Jiang, A.; Biegler, L.T.; Wang, J.; Cheng, W.; Ding, Q.; Jiangzhou, S. Optimal operations for large-scale seawater reverse osmosis networks. J. Membr. Sci. 2015, 476, 508–524. [Google Scholar] [CrossRef]
- Du, Y.; Liu, Y.; Zhang, S.; Xu, Y. Optimization of Seawater Reverse Osmosis Desalination Networks with Permeate Split Design Considering Boron Removal. Ind. Eng. Chem. Res. 2016, 55, 12860–12879. [Google Scholar] [CrossRef]
- Kotb, H.; Amer, E.; Ibrahim, K. On the optimization of RO (Reverse Osmosis) system arrangements and their operating conditions. Energy 2016, 103, 127–150. [Google Scholar] [CrossRef]
- Ahunbay, M.G.; Tantekin-Ersolmaz, S.B.; Krantz, W.B. Energy optimization of a multistage reverse osmosis process for seawater desalination. Desalination 2018, 429, 1–11. [Google Scholar] [CrossRef]
- Alsarayreh, A.A.; Al-Obaidi, M.; Al-Hroub, A.; Patel, R.; Mujtaba, I. Evaluation and minimisation of energy consumption in a medium-scale reverse osmosis brackish water desalination plant. J. Clean. Prod. 2020, 248, 119220. [Google Scholar] [CrossRef]
- Kim, J.; Park, K.; Hong, S. Optimization of two-stage seawater reverse osmosis membrane processes with practical design aspects for improving energy efficiency. J. Membr. Sci. 2020, 601, 117889. [Google Scholar] [CrossRef]
- Chu, K.H.; Lim, J.; Kim, S.J.; Jeong, T.U.; Hwang, M.H. Determination of optimal design factors and operating conditions in a large-scale seawater reverse osmosis desalination plant. J. Clean. Prod. 2020, 244, 118918. [Google Scholar] [CrossRef]
- Chu, K.H.; Oh, B.G.; Kook, S.; Ko, J.; Lim, J.; Kim, H.K.; Chae, K.J.; Hwang, M.H. Operational strategies for brackish water desalination plants in island regions of South Korea. J. Clean. Prod. 2021, 278, 123540. [Google Scholar] [CrossRef]
- Alnajjar, H.; Tabatabai, A.; Alpatova, A.; Leiknes, T.; Ghaffour, N. Organic fouling control in reverse osmosis (RO) by effective membrane cleaning using saturated CO2 solution. Sep. Purif. Technol. 2021, 264, 118410. [Google Scholar] [CrossRef]
- Abushaban, A.; Salinas-Rodriguez, S.G.; Pastorelli, D.; Schippers, J.C.; Mondal, S.; Goueli, S.; Kennedy, M.D. Assessing Pretreatment Effectiveness for Particulate, Organic and Biological Fouling in a Full-Scale SWRO Desalination Plant. Membranes 2021, 11, 167. [Google Scholar] [CrossRef]
- Yu, W.; Song, D.; Chen, W.; Yang, H. Antiscalants in RO membrane scaling control. Water Res. 2020, 183, 115985. [Google Scholar] [CrossRef] [PubMed]
- Chen, Y.; Cohen, Y. Calcium Sulfate and Calcium Carbonate Scaling of Thin-Film Composite Polyamide Reverse Osmosis Membranes with Surface-Tethered Polyacrylic Acid Chains. Membranes 2022, 12, 1287. [Google Scholar] [CrossRef]
- Guo, Y.; Liu, C.; Liu, H.; Zhang, J.; Li, H.; Zhang, C. Contemporary antibiofouling modifications ofreverse osmosis membranes: State-of-the-art insights on mechanisms and strategies. Chem. Eng. J. 2022, 429, 132400. [Google Scholar] [CrossRef]
- Abushaban, A.; Salinas-Rodriguez, S.G.; Philibert, M.; Le Bouille, L.; Necibi, M.C.; Chehbouni, A. Biofouling potential indicators to assess pretreatment and mitigate biofouling in SWRO membranes: A short review. Desalination 2022, 527, 115543. [Google Scholar] [CrossRef]
- Ruiz-García, A.; Nuez, I. Long-term performance decline in a brackish water reverse osmosis desalination plant. Predictive model for the water permeability coefficient. Desalination 2016, 397, 101–107. [Google Scholar] [CrossRef]
- Park, J.; Jeong, K.; Baek, S.; Park, S.; Ligaray, M.; Chong, T.H.; Cho, K.H. Modeling of NF/RO membrane fouling and flux decline using real-time observations. J. Membr. Sci. 2019, 576, 66–77. [Google Scholar] [CrossRef]
- Ruiz-García, A.; Ruiz-Saavedra, E. 80,000 h operational experience and performance analysis of a brackish water reverse osmosis desalination plant. Assessment of membrane replacement cost. Desalination 2015, 375, 81–88. [Google Scholar] [CrossRef]
- Wilf, M.; Klinko, K. Performance of commercial seawater membranes. Desalination 1994, 96, 465–478. [Google Scholar] [CrossRef]
- Tolba, A.; Mohamed, R. Performance and characteristics of reverse osmosis membranes. In Proceedings of the 4th International Water Technology Conference, Alexandria, Egypt; 1999; pp. 171–181. Available online: https://citeseerx.ist.psu.edu/document?repid=rep1&type=pdf&doi=70265438f06c545a65b3b50b1461d3edb39279d6 (accessed on 2 July 2023).
- Abbas, A.; Al-Bastaki, N. Performance decline in brackish water FilmTec spiral wound RO membranes. Desalination 2001, 136, 281–286. [Google Scholar] [CrossRef]
- Belkacem, M.; Bekhti, S.; Bensadok, K. Groundwater treatment by reverse osmosis. Desalination 2007, 206, 100–106. [Google Scholar] [CrossRef]
- Sassi, K.M.; Mujtaba, I.M. Optimal design and operation of reverse osmosis desalination process with membrane fouling. Chem. Eng. J. 2011, 171, 582–593. [Google Scholar] [CrossRef]
- Park, P.K.; Lee, S.; Cho, J.S.; Kim, J.H. Full-scale simulation of seawater reverse osmosis desalination processes for boron removal: Effect of membrane fouling. Water Res. 2012, 46, 3796–3804. [Google Scholar] [CrossRef]
- Ang, W.; Nordin, D.; Mohammad, A.; Benamor, A.; Hilal, N. Effect of membrane performance including fouling on cost optimization in brackish water desalination process. Chem. Eng. Res. Des. 2017, 117, 401–413. [Google Scholar] [CrossRef]
- Kim, J.; Hong, S. Optimizing seawater reverse osmosis with internally staged design to improve product water quality and energy efficiency. J. Membr. Sci. 2018, 568, 76–86. [Google Scholar] [CrossRef]
- Lee, Y.G.; Kim, S.; Shin, J.; Rho, H.; Kim, Y.M.; Cho, K.H.; Eom, H.; Oh, S.E.; Cho, J.; Chon, K. Sequential effects of cleaning protocols on desorption of reverse osmosis membrane foulants: Autopsy results from a full-scale desalination plant. Desalination 2021, 500, 114830. [Google Scholar] [CrossRef]
- Jeong, S.; Naidu, G.; Vollprecht, R.; Leiknes, T.; Vigneswaran, S. In-depth analyses of organic matters in a full-scale seawater desalination plant and an autopsy of reverse osmosis membrane. Sep. Purif. Technol. 2016, 162, 171–179. [Google Scholar] [CrossRef]
- Chu, H.; Ma, J.; Liu, X.; Wang, F.; Zhou, X.; Zhang, Y.; Li, E.; Zhang, X. Spatial evolution of membrane fouling along a multi-stage integrated membrane system: A pilot study for steel industry brine recycling. Desalination 2022, 527, 115566. [Google Scholar] [CrossRef]
- Ruiz-García, A.; Nuez, I. Simulation-based assessment of safe operating windows and optimization in full-scale seawater reverse osmosis systems. Desalination 2022, 533, 115768. [Google Scholar] [CrossRef]
- Zubair, M.M.; Saleem, H.; Zaidi, S.J. Recent progress in reverse osmosis modeling: An overview. Desalination 2023, 564, 116705. [Google Scholar] [CrossRef]
- Ruiz-García, A.; Nuez, I. A time-dependent model of pressure drop in reverse osmosis spiral wound membrane modules. IFAC-PapersOnLine 2021, 54, 158–163. [Google Scholar] [CrossRef]
- Geraldes, V.; Pereira, N.E.; de Pinho, M.N. Simulation and Optimization of Medium-Sized Seawater Reverse Osmosis Processes with Spiral-Wound Modules. Ind. Eng. Chem. Res. 2005, 44, 1897–1905. [Google Scholar] [CrossRef]
- Schock, G.; Miquel, A. Mass transfer and pressure loss in spiral wound modules. Desalination 1987, 64, 339–352. [Google Scholar] [CrossRef]
- Duan, R.; Lv, X.; Yan, W.; Zhou, Y.; Gao, C. Fabrication of high boron removal reverse osmosis membrane with broad industrial application prospect by introducing sulfonate groups through a polyvinyl alcohol coating. J. Membr. Sci. 2022, 664, 121079. [Google Scholar] [CrossRef]
- Li, C.; Zhao, Y.; Lai, G.S.; Wang, R. Fabrication of fluorinated polyamide seawater reverse osmosis membrane with enhanced boron removal. J. Membr. Sci. 2022, 662, 121009. [Google Scholar] [CrossRef]
- Boussouga, Y.A.; Richards, B.S.; Schäfer, A.I. Renewable energy powered membrane technology: System resilience under solar irradiance fluctuations during the treatment of fluoride-rich natural waters by different nanofiltration/reverse osmosis membranes. J. Membr. Sci. 2021, 617, 118452. [Google Scholar] [CrossRef]







| Number | SWMM Model | Sm (m) | h (m) | Rej (%) | A (m Pa−1 s−1) | B (m s−1) |
|---|---|---|---|---|---|---|
| 1 | Toray RO TSW-LE-400 | 37.16 | 99.69 | |||
| 2 | Toray RO TM800V-440 | 40.88 | 99.86 | |||
| 3 | Toray RO TM800V-400 | 37.16 | 99.86 | |||
| 4 | Hydraunautics SWC6-LD-400 | 37.16 | 99.69 | |||
| 5 | Hydraunautics SWC4-MAX | 40.88 | 99.85 | |||
| 6 | Hydraunautics SWC4-LD | 37.16 | 99.85 | |||
| 7 | Filmtec™ SW30XLE-400 | 37.16 | 99.86 | |||
| 8 | Filmtec™ SW30HRLE-400 | 37.16 | 99.85 | |||
| 9 | Filmtec™ SW30XHR-440 | 40.88 | 99.86 |
| SWMM Model | |||||||||
|---|---|---|---|---|---|---|---|---|---|
| Parameter | 1 | 2 | 3 | 4 | 5 | 6 | 7 | 8 | 9 |
| (bar) | 45.25 | 45.25 | 48.50 | 45.5 | 49.50 | 49.50 | 46.75 | 49.25 | 49.50 |
| (m h) | 5.7 | 5.7 | 5.9 | 5.7 | 5.9 | 5.7 | 5.8 | 5.8 | 5.8 |
| R (%) | 47.16 | 46.96 | 49.12 | 47.35 | 49.1 | 47.36 | 48.06 | 48.21 | 48.2 |
| (mg L) | 378.82 | 263.88 | 238.22 | 373.43 | 201.75 | 195.62 | 235.14 | 190.08 | 172.54 |
| (bar) | 44.54 | 44.17 | 47.76 | 44.79 | 48.35 | 48.75 | 45.45 | 47.91 | 48.35 |
| SEC (kWh m) | 2.665 | 2.677 | 2.743 | 2.670 | 2.801 | 2.903 | 2.702 | 2.838 | 2.853 |
| Permeate flow | |
| Water permeability coefficient | |
| Temperature correction factor (If C) | |
| Temperature correction factor (If C) | |
| Transmembrane pressure | |
| Feed-brine pressure drop | |
| Friction factor [67,68] | |
| Reynolds number | |
| Hydraulic diameter | |
| Feed-brine solution density [33] | |
| Empirical parameter [33] | |
| Feed-brine concentration | |
| Osmotic pressure | |
| Concentration on membrane surface | |
| Polarization factor | |
| Sherwood number [68] | |
| Schmidt number | |
| Solute diffusivity | |
| Permeate concentration | |
| Concentration factor | |
| Flux recovery | |
| Specific energy consumption | |
| Power input |
| SWMM Model | Parameter | SWMM Position | ||||||
|---|---|---|---|---|---|---|---|---|
| 1 | 2 | 3 | 4 | 5 | 6 | 7 | ||
| 1 | (bar) | 45.25 | 45.08 | 44.95 | 44.85 | 44.76 | 44.68 | 44.60 |
| (m h) | 5.70 | 4.80 | 4.18 | 3.75 | 3.46 | 3.26 | 3.12 | |
| (%) | 15.86 | 12.90 | 10.12 | 7.74 | 5.84 | 4.42 | 3.40 | |
| PF | 1.51 | 1.38 | 1.28 | 1.20 | 1.14 | 1.11 | 1.08 | |
| SEC (kWh m) | 7.93 | 9.71 | 12.34 | 16.10 | 21.29 | 28.08 | 36.44 | |
| 2 | (bar) | 45.25 | 44.99 | 44.80 | 44.64 | 44.50 | 44.38 | 44.27 |
| (m h) | 5.70 | 4.80 | 4.17 | 3.74 | 3.45 | 3.26 | 3.12 | |
| (%) | 15.86 | 13.07 | 10.25 | 7.73 | 5.70 | 4.17 | 3.09 | |
| PF | 1.40 | 1.30 | 1.22 | 1.16 | 1.11 | 1.08 | 1.06 | |
| SEC (kWh m) | 7.93 | 9.56 | 12.14 | 16.04 | 21.69 | 29.56 | 39.80 | |
| 3 | (bar) | 48.50 | 48.32 | 48.18 | 48.07 | 47.98 | 47.90 | 47.82 |
| (m h) | 5.90 | 4.98 | 4.32 | 3.86 | 3.52 | 3.29 | 3.12 | |
| (%) | 15.52 | 13.23 | 10.84 | 8.59 | 6.65 | 5.09 | 3.88 | |
| PF | 1.49 | 1.39 | 1.30 | 1.22 | 1.17 | 1.12 | 1.09 | |
| SEC (kWh m) | 8.68 | 10.15 | 12.35 | 15.54 | 20.04 | 26.14 | 34.24 | |
| 4 | (bar) | 45.50 | 45.33 | 45.20 | 45.10 | 45.00 | 44.93 | 44.86 |
| (m h) | 5.70 | 4.80 | 4.18 | 3.75 | 3.46 | 3.25 | 3.11 | |
| (%) | 15.84 | 12.94 | 10.19 | 7.81 | 5.91 | 4.47 | 3.44 | |
| PF | 1.50 | 1.38 | 1.28 | 1.20 | 1.15 | 1.11 | 1.08 | |
| SEC (kWh m) | 7.98 | 9.73 | 12.32 | 16.04 | 21.15 | 27.92 | 36.22 | |
| 5 | (bar) | 49.50 | 49.22 | 49.01 | 48.84 | 48.69 | 48.56 | 48.45 |
| (m h) | 5.90 | 5.05 | 4.40 | 3.92 | 3.57 | 3.32 | 3.13 | |
| (%) | 14.37 | 12.82 | 10.94 | 8.96 | 7.11 | 5.50 | 4.20 | |
| PF | 1.35 | 1.30 | 1.24 | 1.19 | 1.14 | 1.11 | 1.08 | |
| SEC (kWh m) | 9.57 | 10.66 | 12.44 | 15.14 | 19.02 | 24.53 | 32.04 | |
| 6 | (bar) | 49.50 | 49.33 | 49.19 | 49.07 | 48.98 | 48.89 | 48.82 |
| (m h) | 5.70 | 4.97 | 4.39 | 3.94 | 3.60 | 3.34 | 3.15 | |
| (%) | 12.87 | 11.66 | 10.21 | 8.66 | 7.17 | 5.81 | 4.64 | |
| PF | 1.39 | 1.34 | 1.28 | 1.23 | 1.18 | 1.14 | 1.11 | |
| SEC (kWh m) | 10.68 | 11.75 | 13.38 | 15.74 | 18.98 | 23.37 | 29.23 | |
| 7 | (bar) | 46.75 | 46.44 | 46.20 | 46.01 | 45.85 | 45.71 | 45.58 |
| (m h) | 5.80 | 4.87 | 4.22 | 3.77 | 3.47 | 3.26 | 3.11 | |
| (%) | 15.98 | 13.36 | 10.62 | 8.11 | 6.03 | 4.42 | 3.26 | |
| PF | 1.41 | 1.32 | 1.24 | 1.17 | 1.12 | 1.09 | 1.06 | |
| SEC (kWh m) | 8.13 | 9.66 | 12.08 | 15.76 | 21.12 | 28.73 | 38.84 | |
| 8 | (bar) | 49.25 | 48.93 | 48.68 | 48.48 | 48.31 | 48.16 | 48.03 |
| (m h) | 5.80 | 5.00 | 4.38 | 3.91 | 3.57 | 3.32 | 3.14 | |
| (%) | 13.80 | 12.38 | 10.64 | 8.80 | 7.04 | 5.49 | 4.23 | |
| PF | 1.34 | 1.29 | 1.24 | 1.19 | 1.14 | 1.11 | 1.08 | |
| SEC (kWh m) | 9.91 | 10.98 | 12.71 | 15.30 | 19.06 | 24.37 | 31.54 | |
| 9 | (bar) | 49.50 | 49.23 | 49.02 | 48.84 | 48.70 | 48.57 | 48.45 |
| (m h) | 5.80 | 5.02 | 4.41 | 3.94 | 3.59 | 3.33 | 3.14 | |
| (%) | 13.47 | 12.20 | 10.61 | 8.87 | 7.19 | 5.67 | 4.40 | |
| PF | 1.32 | 1.28 | 1.23 | 1.19 | 1.15 | 1.11 | 1.08 | |
| SEC (kWh m) | 10.21 | 11.21 | 12.83 | 15.30 | 18.81 | 23.79 | 30.59 | |
| Position of the Fouled SWMM | R (%) for SWMM Model 2 | ||||
|---|---|---|---|---|---|
| = 0.9 | = 0.8 | = 0.7 | = 0.6 | = 0.5 | |
| 1 | 46.87 | 46.77 | 46.65 | 46.51 | 46.34 |
| 2 | 46.88 | 46.80 | 46.69 | 46.57 | 46.43 |
| 3 | 46.89 | 46.82 | 46.73 | 46.62 | 46.49 |
| 4 | 46.90 | 46.83 | 46.75 | 46.65 | 46.54 |
| 5 | 46.91 | 46.84 | 46.77 | 46.68 | 46.58 |
| 6 | 46.91 | 46.86 | 46.79 | 46.72 | 46.62 |
| 7 | 46.92 | 46.87 | 46.82 | 46.75 | 46.67 |
| Position of the Fouled SWMM | R (%) for SWMM Model 2 | ||||
|---|---|---|---|---|---|
| = 0.9 | = 0.8 | = 0.7 | = 0.6 | = 0.5 | |
| 1 | 48.03 | 47.86 | 47.66 | 47.44 | 47.19 |
| 2 | 48.05 | 47.89 | 47.71 | 47.51 | 47.28 |
| 3 | 48.07 | 47.92 | 47.76 | 47.57 | 47.35 |
| 4 | 48.08 | 47.95 | 47.79 | 47.62 | 47.42 |
| 5 | 48.09 | 47.96 | 47.82 | 47.66 | 47.47 |
| 6 | 48.10 | 47.98 | 47.85 | 47.69 | 47.51 |
| 7 | 48.10 | 47.99 | 47.87 | 47.73 | 47.56 |
Disclaimer/Publisher’s Note: The statements, opinions and data contained in all publications are solely those of the individual author(s) and contributor(s) and not of MDPI and/or the editor(s). MDPI and/or the editor(s) disclaim responsibility for any injury to people or property resulting from any ideas, methods, instructions or products referred to in the content. |
© 2023 by the authors. Licensee MDPI, Basel, Switzerland. This article is an open access article distributed under the terms and conditions of the Creative Commons Attribution (CC BY) license (https://creativecommons.org/licenses/by/4.0/).
Share and Cite
Ruiz-García, A.; Al-Obaidi, M.A.; Nuez, I.; Mujtaba, I.M. Impact of SWMM Fouling and Position on the Performance of SWRO Systems in Operating Conditions of Minimum SEC. Membranes 2023, 13, 676. https://doi.org/10.3390/membranes13070676
Ruiz-García A, Al-Obaidi MA, Nuez I, Mujtaba IM. Impact of SWMM Fouling and Position on the Performance of SWRO Systems in Operating Conditions of Minimum SEC. Membranes. 2023; 13(7):676. https://doi.org/10.3390/membranes13070676
Chicago/Turabian StyleRuiz-García, Alejandro, Mudhar A. Al-Obaidi, Ignacio Nuez, and Iqbal M. Mujtaba. 2023. "Impact of SWMM Fouling and Position on the Performance of SWRO Systems in Operating Conditions of Minimum SEC" Membranes 13, no. 7: 676. https://doi.org/10.3390/membranes13070676
APA StyleRuiz-García, A., Al-Obaidi, M. A., Nuez, I., & Mujtaba, I. M. (2023). Impact of SWMM Fouling and Position on the Performance of SWRO Systems in Operating Conditions of Minimum SEC. Membranes, 13(7), 676. https://doi.org/10.3390/membranes13070676

