Investigation of Photocatalytic PVDF Membranes Containing Inorganic Nanoparticles for Model Dairy Wastewater Treatment
Abstract
1. Introduction
2. Materials and Methods
3. Results
3.1. Investigation of the Stability of Nanoparticle-Coated Membranes
3.2. Characterization of Nanoparticle-Coated Membranes
3.2.1. Surface Roughness
3.2.2. Water Contact Angle Measurements
3.2.3. Zeta Potential of TiO2-Coated PVDF Membranes
3.3. Filtration Performance of Pristine and Physically Coated PVDF Membranes
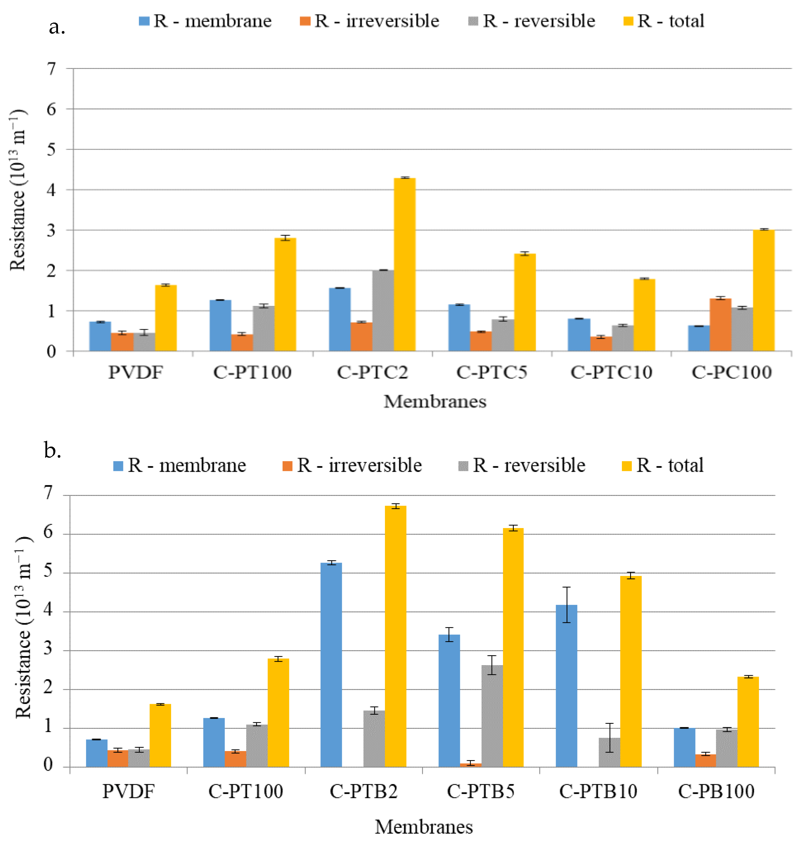
3.3.1. Effects of Nanoparticle Coating on Flux and Filtration Resistances during the Filtration of Model Wastewaters
3.3.2. Effects of Nanoparticle Coating on the Rejection of BSA
3.3.3. Regeneration of Physically Modified Fouled Membranes
3.4. Photocatalytic Blended Ultrafiltration Membranes
3.4.1. Contact Angle, Water Flux, and Rejection Performance of Blended Membranes
3.4.2. Filtration Resistances of Blended PVDF–TiO2 Photocatalytic UF Membranes
3.4.3. Regeneration of BSA-Fouled Blended PVDF–TiO2 Photocatalytic UF Membranes
4. Discussion
5. Conclusions
Supplementary Materials
Author Contributions
Funding
Institutional Review Board Statement
Data Availability Statement
Acknowledgments
Conflicts of Interest
References
- Chadha, U.; Selvaraj, S.K.; Thanu, S.V.; Cholapadath, V.; Abraham, A.M.; Zaiyan, M.; Manoharan, M.; Paramsivam, V. A review of the function of using carbon nanomaterials in membrane filtration for contaminant removal from wastewater. Mater. Res. Express 2022, 9, 012003. [Google Scholar] [CrossRef]
- Palani, G.; Arputhalatha, A.; Kannan, K.; Lakkaboyana, S.K.; Hanafiah, M.M.; Kumar, V.; Marella, R.K. Current Trends in the Application of Nanomaterials for the Removal of Pollutants from Industrial Wastewater Treatment—A Review. Molecules 2021, 26, 2799. [Google Scholar] [CrossRef] [PubMed]
- Saranya, R.; Arthanareeswaran, G.; Dionysiou, D.D. Treatment of paper mill effluent using Polyethersulfone/functionalisedmultiwalled carbon nanotubes based nanocomposite membranes. Chem. Eng. J. 2014, 236, 369–377. [Google Scholar] [CrossRef]
- Yang, Z.; Zhou, Y.; Feng, Z.; Rui, X.; Zhang, T.; Zhang, Z. A review on reverse osmosis and nanofiltration membranes for water purification. Polymers 2019, 11, 1252. [Google Scholar] [CrossRef] [PubMed]
- Rahul Krishna, B.; Bhuvaneshwari, S.; Majeed, F.; Manoj, M.M.; Jose, E.; Mohan, A. Different treatment methodologies and reactors employed for dairy effluent treatment—A review. J. Water Process Eng. 2022, 46, 102622. [Google Scholar]
- Ji, J.; Liu, F.; Hashim, N.A.; Abed, M.M.; Li, K. Poly (vinylidene fluoride)(PVDF) membranes for fluid separation. React. Funct. Polym. 2015, 86, 134–153. [Google Scholar] [CrossRef]
- Sobola, D.; Kaspar, P.; Částková, K.; Dallaev, R.; Papež, N.; Sedlák, P.; Trčka, T.; Orudzhev, F.; Kaštyl, J.; Weiser, A.; et al. PVDF fibers modification by nitrate salts doping. Polymers 2021, 13, 2439. [Google Scholar] [CrossRef]
- Kaspar, P.; Sobola, D.; Částková, K.; Dallaev, R.; Šťastná, E.; Sedlák, P.; Knápek, A.; Trčka, T.; Holcman, V. Case study of polyvinylidene fluoride doping by carbon nanotubes. Materials 2021, 14, 1428. [Google Scholar] [CrossRef]
- Chang, Y.R.; Lee, Y.J.; Lee, D.J. Membrane fouling during water or wastewater treatments: Current research updated. J. Taiwan Inst. Chem. Eng. 2019, 94, 88–96. [Google Scholar] [CrossRef]
- Leong, S.; Razmjou, A.; Wang, K.; Hapgood, K.; Zhang, X.; Wang, H. TiO2 based photocatalytic membranes: A review. J. Membr. Sci. 2014, 472, 167–184. [Google Scholar] [CrossRef]
- Akhavan, O. Journal of Colloid and Interface Science Lasting antibacterial activities of Ag–TiO2/Ag/a-TiO two nanocomposite thin-film photocatalysts under solar light irradiation. J. Colloid Interface Sci. 2009, 336, 117–124. [Google Scholar] [CrossRef] [PubMed]
- Farahani MH, D.A.; Vatanpour, V. A comprehensive study on the performance and antifouling enhancement of the PVDF mixed matrix membranes by embedding different nanoparticles: Clay, functionalized carbon nanotube, SiO2 and TiO2. Sep. Purif. Technol. 2018, 197, 372–381. [Google Scholar] [CrossRef]
- Zouzelka, R.; Kusumawati, Y.; Remzova, M.; Rathousky, J.; Pauporté, T. Photocatalytic activity of porous multiwalled carbon nanotube-TiO2 composite layers for pollutant degradation. J. Hazard. Mater. 2016, 317, 52–59. [Google Scholar] [CrossRef]
- Sisay, E.J.; László, Z. Trend and Novel Possibilities of Dairy Wastewater Treatment by Membrane Filtration. J. Eng. Sci. Technol. Rev. 2021, 14, 46–55. [Google Scholar] [CrossRef]
- Malathi, A.; Arunachalam, P.; Kirankumar, V.S.; Madhavan, J.; Al-Mayouf, A.M. An efficient visible light driven bismuth ferrite incorporated bismuth oxyiodide (BiFeO3/BiOI) composite photocatalytic material for degradation of pollutants. Opt. Mater. 2018, 84, 227–235. [Google Scholar] [CrossRef]
- Ratova, M.; Redfern, J.; Verran, J.; Kelly, P.J. Highly efficient photocatalytic bismuth oxide coatings and their antimicrobial properties under visible light irradiation. Appl. Catal. B Environ. 2018, 239, 223–232. [Google Scholar] [CrossRef]
- Orimolade, B.O.; Arotiba, O.A. Bismuth vanadate in photoelectrocatalytic water treatment systems for the degradation of organics: A review on recent trends. J. Electroanal. Chem. 2020, 878, 114724. [Google Scholar] [CrossRef]
- Jung, J.-Y.; Lee, D.; Lee, Y.-S. CNT-embedded hollow TiO2 nanofibers with high adsorption and photocatalytic activity under UV irradiation. J. Alloys Compd. 2015, 622, 651–656. [Google Scholar] [CrossRef]
- Cao, Q.; Yu, Q.; Connell, D.W.; Yu, G. Titania/carbon nanotube composite (TiO2/CNT) and its application for removal of organic pollutants. Clean Technol. Environ. Policy 2013, 15, 871–880. [Google Scholar] [CrossRef]
- Coelho, F.E.B.; Deemter, D.; Candelario, V.M.; Boffa, V.; Malato, S.; Magnacca, G. Development of a photocatalytic zirconia-titania ultrafiltration membrane with antifouling and self-cleaning properties. J. Environ. Chem. Eng. 2021, 9, 106671. [Google Scholar]
- Riaz, S.; Park, S.J. An overview of TiO2-based photocatalytic membrane reactors for water and wastewater treatments. J. Ind. Eng. Chem. 2020, 84, 23–41. [Google Scholar] [CrossRef]
- Sisay, E.J.; Veréb, G.; Pap, Z.; Gyulavári, T.; Ágoston, Á.; Kopniczky, J.; Hodúr, C.; Arthanareeswaran, G.; Arumugam, G.K.S.; László, Z. Visible-light-driven photocatalytic PVDF-TiO2/CNT/BiVO4 hybrid nanocomposite ultrafiltration membrane for dairy wastewater treatment. Chemosphere 2022, 307, 135589. [Google Scholar] [CrossRef] [PubMed]
- Kusworo, T.D.; Ariyanti, N.; Utomo, D.P. Effect of nano-TiO2 loading in polysulfone membranes on the removal of pollutant following natural-rubber wastewater treatment. J. Water Process Eng. 2020, 35, 101190. [Google Scholar] [CrossRef]
- Kovács, I.; Veréb, G.; Kertész, S.; Hodúr, C.; László, Z. Fouling mitigation and cleanability of TiO2 photocatalyst-modified PVDF membranes during ultrafiltration of model oily wastewater with different salt contents. Environ. Sci. Pollut. Res. 2018, 25, 34912–34921. [Google Scholar] [CrossRef]
- Sisay, E.J.; Bagi, K.; Fazekas, Á.; Kertész Sz Veréb, G.; László, Z. Filtration of proteins through TiO2 photocatalyst modified PVDF membrnaes. Desalination Water Treat. 2020, 192, 392–399. [Google Scholar]
- Nascimben Santos, E.; Agoston, A.; Kertész, S.; Hodúr, C.; László, Z.; Pap, Z.; Veréb, G. Investigation of the applicability of TiO2, BiVO4, and WO3 nanomaterials for advanced photocatalytic membranes used for oil-in-water emulsion separation. Asia-Pac. J. Chem. Eng. 2020, 15, e2549. [Google Scholar] [CrossRef]
- Srivastava, H.P.; Arthanareeswaran, G.; Anantharaman, N.; Starov, V.M. Performance of modified poly(vinylidene fluoride) membrane for textile wastewater ultrafiltration. Desalination 2011, 282, 87–94. [Google Scholar] [CrossRef]
- Ding, Y.; Ma, B.; Liu, H.; Qu, J. Effects of protein properties on ultrafiltration membrane fouling performance in water treatment. J. Environ. Sci. 2019, 77, 273–281. [Google Scholar] [CrossRef]
- Lawrence, N.D.; Perera, J.M.; Iyer, M.; Hickey, M.W.; Stevens, G.W. The use of streaming potential measurements to study the fouling and cleaning of ultrafiltration membranes. Sep. Purif. Technol. 2006, 48, 106–112. [Google Scholar] [CrossRef]
- Vatanpour, V.; Yekavalangi, M.E.; Safarpour, M. Preparation and characterization of nanocomposite PVDF ultrafiltration membrane embedded with nanoporous SAPO-34 to improve permeability and antifouling performance. Sep. Purif. Technol. 2016, 163, 300–309. [Google Scholar] [CrossRef]
- Zhao, X.; Lan, Y.; Yang, K.; Wang, R.; Cheng, L.; Gao, C. Antifouling modification of PVDF membranes via in situ mixed-charge copolymerization and TiO2 mineralization. Appl. Surf. Sci. 2020, 525, 146564. [Google Scholar] [CrossRef]
- Wang, X.L.; Qu, Z.G.; Lai, T.; Ren, G.F.; Wang, W.K. Enhancing water transport performance of gas diffusion layers through coupling manipulation of pore structure and hydrophobicity. J. Power Sources 2022, 525, 231121. [Google Scholar] [CrossRef]
- Wang, X.L.; Qu, Z.G.; Ren, G.F. Collective enhancement in hydrophobicity and electrical conductivity of gas dissfusion layer and the electrochemical performance of PEMFCs. J. Power Sources 2023, 575, 233077. [Google Scholar] [CrossRef]
- Dhand, V.; Hong, S.K.; Li, L.; Kim, J.M.; Kim, S.H.; Rhee, K.Y.; Lee, H.W. Fabrication of robust, ultrathin and light weight, hydrophilic, PVDF-CNT membrane composite for salt rejection. Compos. Part B Eng. 2019, 160, 632–643. [Google Scholar] [CrossRef]
- Ismail, N.; Lau, W.J.; Ismail, A.F.; Goh, P. Preparation and Characterization of Polysulfone/Polyphenylsulfone/Titanium Dioxide Composite Ultrafiltration Membranes for Palm Oil Mill Effluent Treatment. J. Teknol. 2013, 65, 89–94. [Google Scholar] [CrossRef]
- Selvaraj, M.; Hai, A.; Banat, F.; Haija, M.A. Application and prospects of carbon nanostructured materials in water treatment: A review. J. Water Process Eng. 2020, 33, 100996. [Google Scholar] [CrossRef]
- Liu, C.; Wu, L.; Zhang, C.; Chen, W.; Luo, S. Surface hydrophilic modification of PVDF membranes by trace amounts of tannin and polyethyleneimine. Appl. Surf. Sci. 2018, 457, 695–704. [Google Scholar] [CrossRef]
- Yang, C.; Wang, P.; Li, J.; Wang, Q.; Xu, P.; You, S.; Zheng, Q.; Zhang, Q. Photocatalytic PVDF ultrafiltration membrane blended with visible-light responsive Fe(III)-TiO2 catalyst: Degradation kinetics, catalytic performance and reusability. Chem. Eng. J. 2021, 417, 129340. [Google Scholar] [CrossRef]
- Moghadam, M.T.; Lesage, G.; Mohammadi, T.; Mericq, J.-P.; Mendret, J.; Heran, M.; Faur, C.; Brosillon, S.; Hemmati, M.; Naeimpoor, F. Improved antifouling properties of TiO2/PVDF nanocomposite membranes in UV-coupled ultrafiltration. J. Appl. Polym. Sci. 2015, 132, 41731. [Google Scholar] [CrossRef]
- Xie, W.; Li, J.; Sun, F.; Dong, W.; Dong, Z. Strategy study of critical flux/threshold flux on alleviating protein fouling of PVDF-TiO2 modified membrane. J. Environ. Chem. Eng. 2021, 9, 106148. [Google Scholar] [CrossRef]















| Membrane | TiO2 (g) | CNT (g) | BiVO4 (g) | Membrane Description |
|---|---|---|---|---|
| PVDF30 | - | - | - | PVDF without nanoparticles |
| C-PT100 | 0.04 | - | - | Coated (C) PVDF with 1% NP (100 wt% TiO2) |
| C-PTC2 | 0.0392 | 0.0008 | - | C-PVDF with 1% NP (98 wt% TiO2 and 2 wt% CNT) |
| C-PTC5 | 0.038 | 0.002 | - | C-PVDF with 1% NP (95 wt% TiO2 and 5 wt% CNT) |
| C-PTC10 | 0.036 | 0.004 | - | C-PVDF with 1% NP (90 wt% TiO2 and 10 wt% CNT) |
| C-PTC100 | - | 0.04 | - | C-PVDF with 1% NP (100 wt% CNT) |
| C-PTB2 | 0.0392 | - | 0.0008 | C-PVDF with 1% NP (98 wt% TiO2 and 2 wt% BiVO4) |
| C-PTB5 | 0.038 | - | 0.002 | C-PVDF with 1% NP (95 wt% TiO2 and 5 wt% BiVO4) |
| C-PTB10 | 0.036 | - | 0.004 | C-PVDF with 1% NP (90 wt% TiO2 and 10 wt% BiVO4) |
| C-PB100 | - | - | 0.04 | C-PVDF with 1% NP (100 wt% BiVO4) |
| Membrane | PVDF (g) | TiO2 (g) | Solvent (NMP, g) | Description |
|---|---|---|---|---|
| B-PDVF | 3.5 | 0 | 16 | Pristine PVDF |
| B-PT1 | 3.465 | 0.035 | 16 | PVDF with 1% TiO2 |
| B-PT1.5 | 3.4475 | 0.0525 | 16 | PVDF with 1.5% TiO2 |
| B-PT2 | 3.43 | 0.07 | 16 | PVDF with 2% TiO2 |
| B-PT2.5 | 3.4125 | 0.0875 | 16 | PVDF with 2.5% TiO2 |
| Filtration Resistances (m−1) | Formula | |
|---|---|---|
| Membrane resistance | (4) | |
| Irreversible resistance | (5) | |
| Reversible resistance | (6) | |
| Total resistance | (7) | |
| No. | Composition (in 200 mL of Distilled Water) | Turbidity (NTU) |
|---|---|---|
| Distilled water only | 0.075 ± 0.00 | |
| 1 | Distilled water above TiO2-coated membrane (40 mg of TiO2) | 1.55 ± 0.07 |
| 2 | 5 mg of TiO2 | 90.63 ± 0.27 |
| 3 | 10 mg of TiO2 | 190 ± 1 |
| 4 | 20 mg of TiO2 | 450.33 ± 2.89 |
| Membrane Type | Water Contact Angle (°) | Water Flux (L·m−2·h−1) | Rejection (%) | |
|---|---|---|---|---|
| BSA | COD | |||
| PVDF | 78.1 ± 4.59 ![]() | 67.22 ± 0.7 | 98.88 ± 0.09 | 99.83 ± 0.08 |
| B-PT1 | 73.45 ± 4.33 ![]() | 82.94 ± 1.56 | 97.59 ± 0.57 | 99.74 ± 0.09 |
| B-PT1.5 | 72.26 ± 4.0.6 ![]() | 90.78 ± 1.33 | 99.06 ± 0.87 | 98.47 ± 0.09 |
| B-PT2 | 70.48 ± 2.82 ![]() | 110.04 ± 1.30 | 97.74 ± 0.84 | 96.27 ± 0.04 |
| B-PT2.5 | 66.72 ± 3.44 ![]() | 157.88 ± 1.41 | 95.8 ± 0.85 | 98.27 ± 0.26 |
| Membrane Type | Method of Preparation | Contact Angle (°) | Water Flux (L·m−2·h−1) | BSA rejection (%) | FRR (%) | |
|---|---|---|---|---|---|---|
| PVDF | blending | 74.04 ± 1.5 | 50.96 ± 8.53 | similar BSA retention | - | [40] |
| PVDF–TiO2 | blending | 63.09 ± 1.28 | 117.95 ± 8.96 | - | [40] | |
| PVDF–TiO2–BiVO4-50 | blending | 62.3 ± 4.24 | 153.56 ± 1 | 97.75 ± 0.03 | 59% (Vis) | [22] |
| PVDF–TiO2–CNT–BiVO4-50 | blending | 69.875 ± 5.01 | 150.52 ± 2.04 | 97.10 ± 0.77 | 50% (Vis) | [22] |
| PVDF | blending | 78.1 ± 4.59 | 67.22 ± 0.7 | 98.88 ± 0.09 | 18% (UV) | this study |
| PVDF–TiO2 | blending | 73.45 ± 4.33 | 82.94 ± 1.56 | 97.59 ± 0.57 | 35% (UV) | this study |
| PVDF | Physical deposition | 75.1 ± 3.63 | 50.73 ± 4.11 | 85.74 ± 0.055 | 60% (UV) 50% (Vis) | this study |
| PVDF–TiO2 | Physical deposition | 0.00 ± 0.00 | 28.8 ± 3.54 | 69.84 ± 0.76 | 97% (UV) | this study |
| PVDF–CNT | Physical deposition | 23.92 ± 0.8 | 42.78 ± 4..01 | 55.75 ± 0.44 | 58% (UV) | this study |
| PVDF–BiVO4 | Physical deposition | 72.22 ± 2.37 | 35.89 ± 2.33 | 75.27 ± 0.69 | 90% (Vis) | this study |
Disclaimer/Publisher’s Note: The statements, opinions and data contained in all publications are solely those of the individual author(s) and contributor(s) and not of MDPI and/or the editor(s). MDPI and/or the editor(s) disclaim responsibility for any injury to people or property resulting from any ideas, methods, instructions or products referred to in the content. |
© 2023 by the authors. Licensee MDPI, Basel, Switzerland. This article is an open access article distributed under the terms and conditions of the Creative Commons Attribution (CC BY) license (https://creativecommons.org/licenses/by/4.0/).
Share and Cite
Sisay, E.J.; Fazekas, Á.F.; Gyulavári, T.; Kopniczky, J.; Hopp, B.; Veréb, G.; László, Z. Investigation of Photocatalytic PVDF Membranes Containing Inorganic Nanoparticles for Model Dairy Wastewater Treatment. Membranes 2023, 13, 656. https://doi.org/10.3390/membranes13070656
Sisay EJ, Fazekas ÁF, Gyulavári T, Kopniczky J, Hopp B, Veréb G, László Z. Investigation of Photocatalytic PVDF Membranes Containing Inorganic Nanoparticles for Model Dairy Wastewater Treatment. Membranes. 2023; 13(7):656. https://doi.org/10.3390/membranes13070656
Chicago/Turabian StyleSisay, Elias Jigar, Ákos Ferenc Fazekas, Tamás Gyulavári, Judit Kopniczky, Béla Hopp, Gábor Veréb, and Zsuzsanna László. 2023. "Investigation of Photocatalytic PVDF Membranes Containing Inorganic Nanoparticles for Model Dairy Wastewater Treatment" Membranes 13, no. 7: 656. https://doi.org/10.3390/membranes13070656
APA StyleSisay, E. J., Fazekas, Á. F., Gyulavári, T., Kopniczky, J., Hopp, B., Veréb, G., & László, Z. (2023). Investigation of Photocatalytic PVDF Membranes Containing Inorganic Nanoparticles for Model Dairy Wastewater Treatment. Membranes, 13(7), 656. https://doi.org/10.3390/membranes13070656






