The Cation Effect on the Free Volume and the Solubility of H2S and CO2 in Ionic Liquids Based on Bis(2-Ethylhexyl) Sulfosuccinate Anion
Abstract
1. Introduction
2. Experimental Section
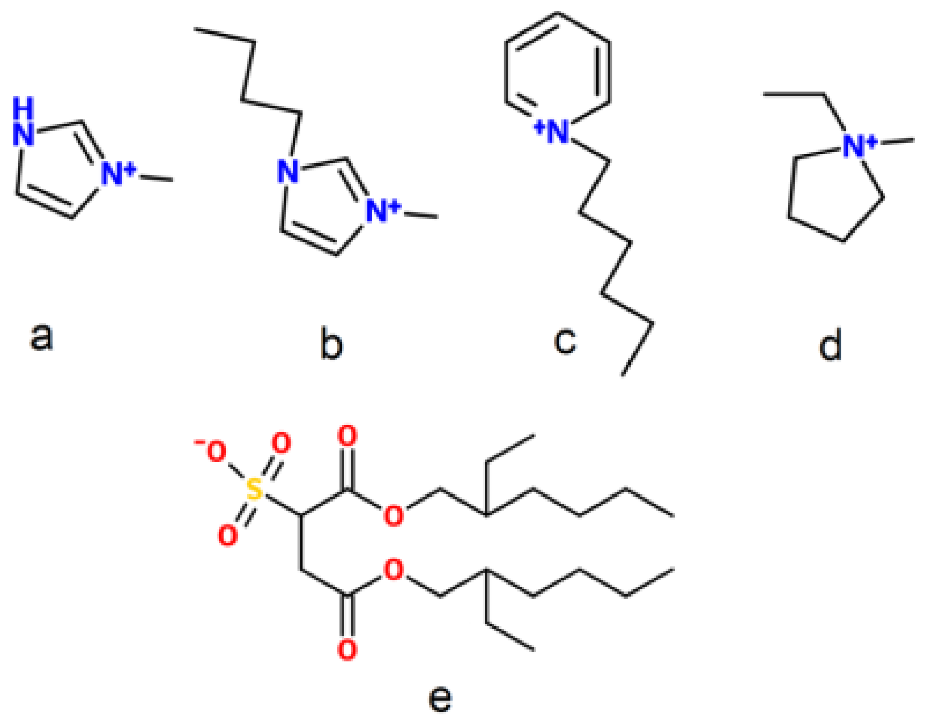
2.1. Synthesis of Ionic Liquids
2.2. IR and NMR Spectroscopy
2.3. Density and Viscosity Measurements
2.4. Differential Scanning Calorimetry
2.5. Determination of Gases’ Solubility
2.6. Computational Methods
3. Results and Discussion
3.1. Thermophysical Properties
3.2. Gas Sorption Properties
4. Conclusions
Supplementary Materials
Author Contributions
Funding
Institutional Review Board Statement
Data Availability Statement
Acknowledgments
Conflicts of Interest
References
- Mokhatab, S.; Poe, W.A.; Speight, J.G. Handbook of Natural Gas Transmission and Processing; Gulf Professional Publishing: Burlington, NJ, USA, 2006; 672p. [Google Scholar]
- Vorotyntsev, V.; Drozdov, P.; Vorotyntsev, I.; Smirnov, K. Germane high purification by membrane gas separation. Desalination 2006, 200, 232–233. [Google Scholar] [CrossRef]
- Trubyanov, M.M.; Kirillov, S.Y.; Vorotyntsev, A.V.; Sazanova, T.S.; Atlaskin, A.A.; Petukhov, A.N.; Kirillov, Y.P.; Vorotyntsev, I.V. Dynamic behavior of unsteady-state membrane gas separation: Modelling of a closed-mode operation for a membrane module. J. Memb. Sci. 2019, 587, 117173. [Google Scholar] [CrossRef]
- Vorotyntsev, I.; Atlaskin, A.; Trubyanov, M.; Petukhov, A.; Gumerova, O.; Akhmetshina, A.; Vorotyntsev, V. Towards the potential of absorbing pervaporation based on ionic liquids for gas mixture separation. Desalin. Water Treat. 2017, 75, 305–313. [Google Scholar] [CrossRef]
- Zulfiqar, S.; Sarwar, M.I.; Mecerreyes, D. Polymeric ionic liquids for CO2 capture and separation: Potential, progress and challenges. Polym. Chem. R. Soc. Chem. 2015, 6, 6435–6451. [Google Scholar] [CrossRef]
- Karkhanechi, H.; Salmani, S.; Asghari, M. A Review on Gas Separation Applications of Supported Ionic Liquid Membranes. ChemBioEng Rev. 2015, 2, 290–302. [Google Scholar] [CrossRef]
- Sanders, D.F.; Smith, Z.P.; Guo, R.; Robeson, L.M.; McGrath, J.E.; Paul, D.R.; Freeman, B.D. Energy-efficient polymeric gas separation membranes for a sustainable future: A review. Polymer 2013, 54, 4729–4761. [Google Scholar] [CrossRef]
- Atlaskin, A.A.; Kryuchkov, S.S.; Yanbikov, N.R.; Smorodin, K.A.; Petukhov, A.N.; Trubyanov, M.M.; Vorotyntsev, V.M.; Vorotyntsev, I.V. Comprehensive experimental study of acid gases removal process by membrane-assisted gas absorption using imidazolium ionic liquids solutions absorbent. Sep. Purif. Technol. 2020, 239, 116578. [Google Scholar] [CrossRef]
- Akhmetshina, A.I.; Petukhov, A.N.; Gumerova, O.R.; Vorotyntsev, A.V.; Nyuchev, A.V.; Vorotyntsev, I.V. Solubility of H2S and CO2 in imidazolium-based ionic liquids with bis(2-ethylhexyl) sulfosuccinate anion. J. Chem. Thermodyn. 2019, 130, 173–182. [Google Scholar] [CrossRef]
- Cadena, C.; Zhao, Q.; Snurr, R.Q.; Maginn, E.J. Molecular modeling and experimental studies of the thermodynamic and transport properties of pyridinium-based ionic liquids. J. Phys. Chem. B 2006, 110, 2821–2832. [Google Scholar] [CrossRef]
- Xu, C.; Zhu, J.; Li, D.; Qian, X.; Chen, G.; Yang, H. Unveiling the Effects of Solvent Polarity within Graphene Based Electric Double-Layer Capacitors. Energies 2022, 15, 9487. [Google Scholar] [CrossRef]
- Xu, C.; Xu, Z.; Wang, Y.; Yang, J.; Chen, H.; Liu, Q.; Chen, G.; Yang, H. Molecular Dynamics Simulation of the Interfacial Structure and Differential Capacitance of [BMI+][PF6−] Ionic Liquids on MoS2 Electrode. Processes 2023, 11, 380. [Google Scholar] [CrossRef]
- Klamt, A.; Eckert, F. COSMO-RS: A novel and efficient method for the a priori prediction of thermophysical data of liquids. Fluid Phase Equilib. 2000, 172, 43–72. [Google Scholar] [CrossRef]
- Zhang, X.; Liu, Z.; Wang, W. Screening of ionic liquids to capture CO2 by COSMO-RS and experiments. AIChE J. 2008, 54, 2717–2728. [Google Scholar] [CrossRef]
- Swatloski, R.P.; Holbrey, J.D.; Rogers, R.D. Ionic liquids are not always green: Hydrolysis of 1-butyl-3-methylimidazolium hexafluorophosphate. Green Chem. 2003, 5, 361–363. [Google Scholar] [CrossRef]
- Yu, G.; Zhang, S.; Zhaou, G.; Liu, X.; Chen, X. Structure, interaction and property of amino-functionalized imidazolium ILs by molecular dynamics simulation and Ab initio calculation. AIChE J. 2007, 53, 3210–3221. [Google Scholar] [CrossRef]
- Wang, C.; Luo, X.; Luo, H.; Jiang, D.-e.; Li, H.; Dai, S. Tuning the Basicity of Ionic Liquids for Equimolar CO2 Capture. Angew. Chem. Int. Ed. 2011, 50, 4918–4922. [Google Scholar] [CrossRef]
- Chiarotto, I.; Feroci, M.; Inesi, A. First direct evidence of N-heterocyclic carbene in BMIm acetate ionic liquids. An electrochemical and chemical study on the role of temperature. New J. Chem. 2017, 41, 7840–7843. [Google Scholar] [CrossRef]
- Macherey, A.C.; Dansette, P.M. Biotransformations Leading to Toxic Metabolites: Chemical Aspect. Pract. Med. Chem. 2008, 674–696. [Google Scholar] [CrossRef]
- Anderson, J.L.; Dixon, J.K.; Brennecke, J.F. Solubility of CO2, CH4, C2H6, C2H4, O2, and N2 in 1-hexyl-3-methylpyridinium bis(trifluoromethylsulfonyl)imide: Comparison to other ionic liquids. Acc. Chem. Res. 2007, 40, 1208–1216. [Google Scholar] [CrossRef]
- Zhang, S.; Yuan, X.; Chen, Y.; Zhang, X. Solubilities of CO2 in 1-Butyl-3-methylimidazolium Hexafluorophosphate and 1,1,3,3-Tetramethylguanidium Lactate at Elevated Pressures. J. Chem. Eng. Data. 2005, 50, 1582–1585. [Google Scholar] [CrossRef]
- Deng, Y.; Morrissey, S.; Gathergood, N.; Delort, A.-M.; Husson, P.; Costa Gomes, M.F. The Presence of Functional Groups Key for Biodegradation in Ionic Liquids: Effect on Gas Solubility. ChemSusChem 2010, 3, 377–385. [Google Scholar] [CrossRef] [PubMed]
- Pensado, A.S.; Pádua, A.A.H.; Costa Gomes, M.F. Influence of ester functional groups on the liquid-phase structure and solvation properties of imidazolium-based ionic liquids. J. Phys. Chem. B 2011, 115, 3942–3948. [Google Scholar] [CrossRef] [PubMed]
- Mortazavi-Manesh, S.; Satyro, M.A.; Marriott, R.A. Screening ionic liquids as candidates for separation of acid gases: Solubility of hydrogen sulfide, methane, and ethane. AIChE J. 2013, 59, 2993–3005. [Google Scholar] [CrossRef]
- Muldoon, M.J.; Aki, S.N.V.K.; Anderson, J.L.; Dixon, J.K.; Brennecke, J.F. Improving carbon dioxide solubility in ionic liquids. J. Phys. Chem. B 2007, 111, 9001–9009. [Google Scholar] [CrossRef]
- Earle, M.J.; McCormac, P.B.; Seddon, K.R. Diels–Alder reactions in ionic liquids. A safe recyclable alternative to lithium perchlorate–diethyl ether mixtures. Green Chem. 1999, 1, 23–25. [Google Scholar] [CrossRef]
- Stuart, B.H. Infrared Spectroscopy: Fundamentals and Applications; John Wiley & Sons, Ltd: Chichester, UK; Hoboken, NJ, USA, 2004; 223p. [Google Scholar]
- Akhmetshina, A.A.; Davletbaeva, I.M.; Grebenschikova, E.S.; Sazanova, T.S.; Petukhov, A.N.; Atlaskin, A.A.; Razov, E.N.; Zaripov, I.I.; Martins, C.F.; Neves, L.A.; et al. The Effect of Microporous Polymeric Support Modification on Surface and Gas Transport Properties of Supported Ionic Liquid Membranes. Membranes 2016, 6, 4. [Google Scholar] [CrossRef] [PubMed]
- Davletbaeva, I.M.; Akhmetshina, A.I.; Davletbaev, R.S.; Zaripov, I.; Gumerov, A.; Sharifullin, R. Optically transparent mesoporous polymers based on anionic macroinitiators and 2,4-toluene diisocyanate. Polym. Sci.–Ser. B 2014, 56, 814–821. [Google Scholar] [CrossRef]
- Davletbaeva, I.M.; Nurgaliyeva, G.; Akhmetshina, A.I.; Davletbaev, R.S.; Atlaskin, A.A.; Sazanova, T.S.; Efimov, S.; Klochkov, V.V.; Vorotyntsev, I.V. Porous polyurethanes based on hyperbranched amino ethers of boric acid. RSC Advances 2016, 6, 111109–111119. [Google Scholar] [CrossRef]
- Jacquemin, J.; Husson, P.; Majer, V.; Costa Gomes, M.F. Low-pressure solubilities and thermodynamics of solvation of eight gases in 1-butyl-3-methylimidazolium hexafluorophosphate. Fluid Phase Equilib. 2006, 240, 87–95. [Google Scholar] [CrossRef]
- Jacquemin, J.; Gomes, M.F.C.; Husson, P.; Majer, V. Solubility of carbon dioxide, ethane, methane, oxygen, nitrogen, hydrogen, argon, and carbon monoxide in 1-butyl-3-methylimidazolium tetrafluoroborate between temperatures 283 K and 343 K and at pressures close to atmospheric. J. Chem. Thermodyn. 2006, 38, 490–502. [Google Scholar] [CrossRef]
- Shokouhi, M.; Adibi, M.; Jalili, A.H.; Hosseini-Jenab, M.; Mehdizadeh, A. Solubility and Diffusion of H2S and CO2 in the Ionic Liquid 1-(2-Hydroxyethyl)-3-methylimidazolium Tetrafluoroborate. J. Chem. Eng. Data 2009, 55, 1663–1668. [Google Scholar] [CrossRef]
- Vorotyntsev, I.V.; Drozdov, P.N.; Mochalov, G.M.; Smirnova, N.; Suvorov, S. Sorption of ammonia and nitrogen on cellulose acetate. Russ. J. Phys. Chem. A 2006, 80, 2020–2023. [Google Scholar] [CrossRef]
- Vorotyntsev, V.M.; Mochalov, G.M.; Matveev, A.K.; Malyshev, A.V. Determination of Trace Impurities of H2, O2, Ar, N2, CO, CO2, and Hydrocarbons in High-Purity Monosilane by Gas Chromatography. J. Anal. Chem. 2003, 58, 156–159. [Google Scholar] [CrossRef]
- Akhmetshina, A.I.; Gumerova, O.R.; Atlaskin, A.A.; Petukhov, A.N.; Sazanova, T.S.; Yanbikov, N.R.; Nyuchev, A.V.; Razov, E.N.; Vorotyntsev, I.V. Permeability and selectivity of acid gases in supported conventional and novel imidazolium-based ionic liquid membranes. Sep. Purif. Technol. 2017, 176, 92–106. [Google Scholar] [CrossRef]
- Sánchez, L.G.; Espel, J.R.; Onink, F.; Meindersma, G.W.; de Haan, A.B. Density, viscosity, and surface tension of synthesis grade imidazolium, pyridinium, and pyrrolidinium based room temperature ionic liquids. J. Chem. Eng. Data 2009, 54, 2803–2812. [Google Scholar] [CrossRef]
- Soriano, A.N.; Doma, B.T.; Li, M.-H. Measurements of the density and refractive index for 1-n-butyl-3-methylimidazolium-based ionic liquids. J. Chem. Thermodyn. 2009, 41, 301–307. [Google Scholar] [CrossRef]
- Kazarina, O.; Agieienko, V.; Nagrimanov, R.; Atlaskina, M.; Petukhov, A.; Moskvichev, A.; Nyuchev, A.; Barykin, A.; Vorotyntsev, I. A rational synthetic approach for producing quaternary ammonium halides and physical properties of the room temperature ionic liquids obtained by this way. J. Mol. Liq. 2021, 344, 117925. [Google Scholar] [CrossRef]
- Tariq, M.; Forte, P.; Gomes, M.C.; Lopes, J.C.; Rebelo, L. Densities and refractive indices of imidazolium- and phosphonium-based ionic liquids: Effect of temperature, alkyl chain length, and anion. J. Chem. Thermodyn. 2009, 41, 790–798. [Google Scholar] [CrossRef]
- Sastry, N.V.; Vaghela, N.M.; Macwan, P.M. Densities, excess molar and partial molar volumes for water + 1-butyl- or, 1-hexyl- or, 1-octyl-3-methylimidazolium halide room temperature ionic liquids at T = (298.15 and 308.15) K. J. Mol. Liq. 2013, 180, 12–18. [Google Scholar] [CrossRef]
- Montalbán, M.G.; Bolívar, C.L.; Baños, F.G.D.; Víllora, G. Effect of Temperature, Anion, and Alkyl Chain Length on the Density and Refractive Index of 1-Alkyl-3-methylimidazolium-Based Ionic Liquids. J. Chem. Eng. Data 2015, 60, 1986–1996. [Google Scholar] [CrossRef]
- Frisch, D.; Eyring, H.; Kincaid, J.F. Pressure and temperature effects on the viscosity of liquids. J. Appl. Phys. 1940, 11, 75–80. [Google Scholar] [CrossRef]
- Kauzmann, W.; Eyring, H. The Viscous Flow of Large Molecules. J. Am. Chem. Soc. 1940, 726, 3113–3125. [Google Scholar] [CrossRef]
- Camper, D.; Scovazzo, P.; Koval, C.; Noble, R. Gas Solubilities in Room-Temperature Ionic Liquids. Ind. Eng. Chem. Res. 2004, 43, 3049–3054. [Google Scholar] [CrossRef]
- Krichevsky, I.R.; Kasarnovsky, J.S. Thermodynamical Calculations of Solubilities of Nitrogen and Hydrogen in Water at High Pressures. J. Am. Chem. Soc. 1935, 57, 2168–2171. [Google Scholar] [CrossRef]
- Sakhaeinia, H.; Taghikhani, V.; Jalili, A.H.; Mehdizadeh, A.; Safekordi, A.A. Solubility of H2S in 1-(2-hydroxyethyl)-3-methylimidazolium ionic liquids with different anions. Fluid Phase Equilib. 2010, 298, 303–309. [Google Scholar] [CrossRef]
- Husson-Borg, P.; Majer, V.; Costa Gomes, M.F. Solubilities of Oxygen and Carbon Dioxide in Butyl Methyl Imidazolium Tetrafluoroborate as a Function of Temperature and at Pressures Close to Atmospheric Pressure. J. Chem. Eng. Data 2003, 48, 480–485. [Google Scholar] [CrossRef]
- Ying, H.; Baltus, R.E. Experimental measurement of the solubility and diffusivity of CO2 in room-temperature ionic liquids using a transient thin-liquid-film method. Ind. Eng. Chem. Res. 2007, 46, 8166–8175. [Google Scholar]






| Parameters | [mim][doc] | [bmim][doc] | [hpyr][doc] | [empyrr][doc] | 
|---|---|---|---|---|
| /g·cm−3 | 1.301 ± 0.001 | 1.3018 ± 0.0005 | 1.318 ± 0.005 | 1.2990 ± 0.0008 | 
| g·cm−3·K−1 | –7.27 ± 0.04 | –7.31 ± 0.02 | –7.4 ± 0.2 | –7.03 ± 0.03 | 
| /g·cm−3 | 1.14 | 0.48 | 5.16 | 0.80 | 
| r2 | 0.99985 | 0.99997 | 0.99705 | 0.99992 | 
| Ionic Liquid | Molar Weight, g mol−1 | Density, g cm−3 | Molar Volume, cm3 mol−1 | Tm, K | Viscosity (313 K), mPa s | Water Content, ppm | Reference | 
|---|---|---|---|---|---|---|---|
| [mim][doc] | 505.12 | 1.0874 | 464.5208755 | 260 | 683.9 | 17.0 | [9] | 
| [bmim][doc] | 561.2 | 1.0875 | 516.045977 | 254 | 692.3 | 25.6 | [9] | 
| [hpyr][doc] | 583.56 | 1.0937 | 533.564963 | - | 1895.2 | 32.8 | in this work | 
| [empyrr][doc] | 535.67 | 1.1125 | 481.5011236 | - | 2670.0 | 22.3 | in this work | 
| Ionic Liquid | E, kJ/mol | Correlation Coefficient, R2 | |
|---|---|---|---|
| [mim][doc] | 2.00 | 56.87 | 0.9980 | 
| [bmim][doc] | 2.00 | 57.03 | 0.9979 | 
| [hpyr][doc] | 2.00 | 60.37 | 0.9983 | 
| [empyrr][doc] | 4.00 | 58.78 | 0.9982 | 
| T/K | /bar | |||||||
|---|---|---|---|---|---|---|---|---|
| [bmim][doc] | ||||||||
| CO2 | H2S | CO2 | H2S | CO2 | H2S | CO2 | H2S | |
| 303.2 | 9.79 | 2.91 | 5.75 | 2.69 | −7.63 | −10.16 | −44.14 | −42.39 | 
| 313.2 | 11.39 | 3.46 | 6.33 | 3.23 | −8.68 | −11.77 | −47.94 | −47.90 | 
| 323.2 | 12.75 | 4.09 | 6.84 | 3.79 | −9.82 | −13.52 | −51.54 | −53.56 | 
| 333.2 | 13.65 | 4.54 | 7.24 | 4.19 | −11.05 | −15.43 | −54.87 | −58.87 | 
| [mim][doc] | ||||||||
| 303.2 | 30.03 | 8.31 | 8.57 | 5.33 | −4.11 | −4.12 | −41.82 | −31.17 | 
| 313.2 | 31.74 | 8.82 | 9.00 | 5.67 | −4.48 | −4.72 | −43.04 | −33.15 | 
| 323.2 | 33.68 | 9.44 | 9.45 | 6.03 | −4.88 | −5.37 | −44.31 | −35.28 | 
| 333.2 | 35.61 | 9.96 | 9.89 | 6.37 | −5.29 | −6.08 | −45.57 | −37.35 | 
| [empyrr][doc] | ||||||||
| 303.2 | 19.14 | 10.63 | 7.44 | 5.96 | −10.08 | −7.47 | −57.76 | −44.28 | 
| 313.2 | 21.33 | 11.63 | 7.96 | 6.38 | −11.35 | −8.49 | −61.68 | −47.51 | 
| 323.2 | 24.78 | 13.02 | 8.62 | 6.89 | −12.73 | −9.60 | −66.07 | −51.03 | 
| 333.2 | 29.55 | 14.74 | 9.38 | 7.45 | −14.22 | −10.79 | −70.80 | −54.76 | 
| [hpyr][doc] | ||||||||
| 303.2 | 16.58 | 8.21 | 7.08 | 5.30 | −11.66 | −7.39 | −61.79 | −41.88 | 
| 313.2 | 19.66 | 9.71 | 7.75 | 5.92 | −13.17 | −8.44 | −66.81 | −45.85 | 
| 323.2 | 23.22 | 10.35 | 8.45 | 6.28 | −14.81 | −9.58 | −71.96 | −49.07 | 
| 333.2 | 27.44 | 11.55 | 9.17 | 6.77 | −16.57 | −10.81 | −77.25 | −52.78 | 
| Ref. | |||||
|---|---|---|---|---|---|
| 303.2 K | 313.2 K | 323.2 K | 333.2 K | ||
| CO2 | |||||
| [bmim][doc] | 9.8 | 11.39 | 12.75 | 13.65 | in this work | 
| [mim][doc] | 30.03 | 31.74 | 33.68 | 35.61 | in this work | 
| [empyrr][doc] | 19.14 | 21.33 | 24.78 | 29.55 | in this work | 
| [hpyr][doc] | 16.58 | 19.66 | 23.22 | 27.44 | in this work | 
| [bmim][PF6] | 59 | - | 81.3 | - | [45] | 
| [bmim][BF4] | 60 | 68 | 75 | 81 | [49] | 
| [bmim][Tf2N] | 42 | 45 | 51 | - | [49] | 
| H2S | |||||
| [bmim][doc] | 2.91 | 3.46 | 4.09 | 4.54 | in this work | 
| [mim][doc] | 8.31 | 8.82 | 9.44 | 9.96 | in this work | 
| [empyrr][doc] | 10.63 | 11.63 | 13.02 | 14.74 | in this work | 
| [hpyr][doc] | 8.21 | 9.71 | 10.35 | 11.55 | in this work | 
| [bmim][PF6] | 18.6 | 21.6 | 25.7 | 30.9 | [45] | 
| [bmim][BF4] | 15.5 | 19.1 | 23.4 | 28.5 | [49] | 
| [bmim][Tf2N] | 13.7 | 16.5 | 18.9 | 21.7 | [49] | 
| Disclaimer/Publisher’s Note: The statements, opinions and data contained in all publications are solely those of the individual author(s) and contributor(s) and not of MDPI and/or the editor(s). MDPI and/or the editor(s) disclaim responsibility for any injury to people or property resulting from any ideas, methods, instructions or products referred to in the content. | 
© 2023 by the authors. Licensee MDPI, Basel, Switzerland. This article is an open access article distributed under the terms and conditions of the Creative Commons Attribution (CC BY) license (https://creativecommons.org/licenses/by/4.0/).
Share and Cite
Sazanova, T.S.; Akhmetshina, A.I.; Petukhov, A.N.; Vorotyntsev, A.V.; Suvorov, S.S.; Barysheva, A.V.; Mechergui, A.; Nyuchev, A.V.; Kazarina, O.V.; Stepakova, A.N.; et al. The Cation Effect on the Free Volume and the Solubility of H2S and CO2 in Ionic Liquids Based on Bis(2-Ethylhexyl) Sulfosuccinate Anion. Membranes 2023, 13, 238. https://doi.org/10.3390/membranes13020238
Sazanova TS, Akhmetshina AI, Petukhov AN, Vorotyntsev AV, Suvorov SS, Barysheva AV, Mechergui A, Nyuchev AV, Kazarina OV, Stepakova AN, et al. The Cation Effect on the Free Volume and the Solubility of H2S and CO2 in Ionic Liquids Based on Bis(2-Ethylhexyl) Sulfosuccinate Anion. Membranes. 2023; 13(2):238. https://doi.org/10.3390/membranes13020238
Chicago/Turabian StyleSazanova, Tatyana S., Alsu I. Akhmetshina, Anton N. Petukhov, Andrey V. Vorotyntsev, Sergey S. Suvorov, Alexandra V. Barysheva, Amal Mechergui, Alexander V. Nyuchev, Olga V. Kazarina, Anna N. Stepakova, and et al. 2023. "The Cation Effect on the Free Volume and the Solubility of H2S and CO2 in Ionic Liquids Based on Bis(2-Ethylhexyl) Sulfosuccinate Anion" Membranes 13, no. 2: 238. https://doi.org/10.3390/membranes13020238
APA StyleSazanova, T. S., Akhmetshina, A. I., Petukhov, A. N., Vorotyntsev, A. V., Suvorov, S. S., Barysheva, A. V., Mechergui, A., Nyuchev, A. V., Kazarina, O. V., Stepakova, A. N., Atlaskina, M. E., Atlaskin, A. A., Kryuchkov, S. S., & Vorotyntsev, I. V. (2023). The Cation Effect on the Free Volume and the Solubility of H2S and CO2 in Ionic Liquids Based on Bis(2-Ethylhexyl) Sulfosuccinate Anion. Membranes, 13(2), 238. https://doi.org/10.3390/membranes13020238
 
        





 
       