Proton-Conducting Polymeric Membranes Based on 1,2,4-Triazole
Abstract
1. Introduction
2. Physicochemical and Electrophysical Properties of Poly-1-Vinyl-1,2,4-triazole
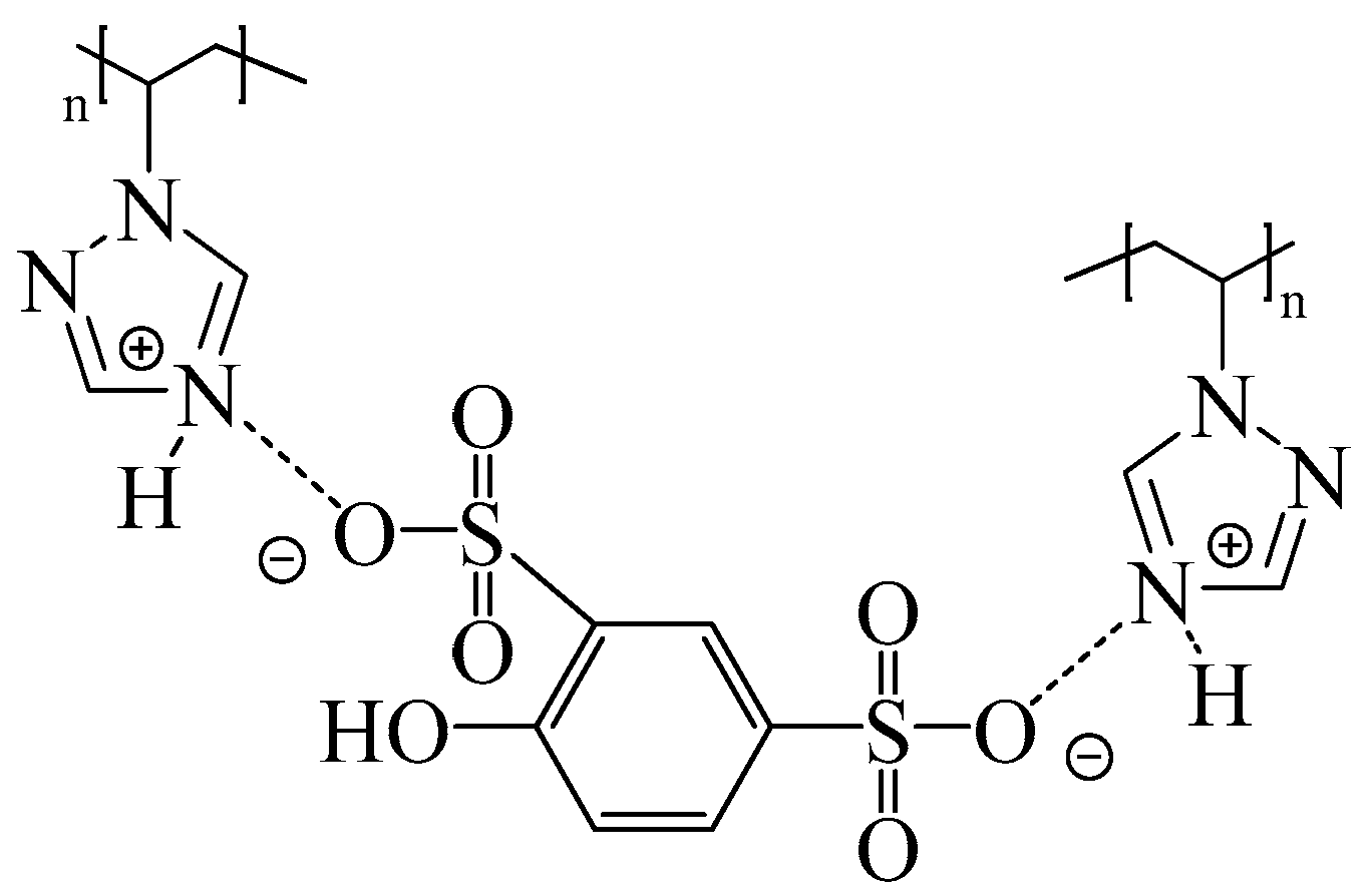
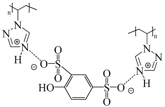
3. Proton-Conducting Membranes Based on 1-Vinyl-1,2,4-triazole Homopolymers
4. Proton-Conducting Membranes Based on 1-Vinyl-1,2,4-triazole Copolymers
5. Conclusions
Author Contributions
Funding
Institutional Review Board Statement
Informed Consent Statement
Data Availability Statement
Conflicts of Interest
References
- De Almeida, S.H.; Kawano, Y. Thermal behavior of Nafion membranes. J. Therm. Anal. Calorim. 1999, 58, 569–577. [Google Scholar] [CrossRef]
- Li, Q.F.; He, R.H.; Jensen, J.O.; Bjerrum, N.J. Approaches and recent development of polymer electrolyte membranes for fuel cells operating above 100 °C. Chem. Mater. 2003, 15, 4896–4915. [Google Scholar] [CrossRef]
- Lufrano, F.; Staiti, P. Conductivity and capacitance properties of a supercapacitor based on Nafion electrolyte in a njnaqueous system. Electrochem. Solid State Let. 2004, 7, A447–A450. [Google Scholar] [CrossRef]
- Wang, J.; Xu, C.; Taya, M.; Kuga, Y. A Flemion-based actuator with ionic liquid as solvent. Smart Mater. Struct. 2007, 16, S214–S219. [Google Scholar] [CrossRef]
- Saito, M.; Hayamizu, K.; Okada, T. Temperature Dependence of Ion and Water Transport in Perfluorinated Ionomer Membranes for Fuel Cells. J. Phys. Chem. 2005, 109, 3112–3119. [Google Scholar] [CrossRef] [PubMed]
- Souzy, R.; Ameduri, B. Functional fluoropolymers for fuel cell membranes. Prog. Polym. Sci. 2005, 30, 644–687. [Google Scholar] [CrossRef]
- Yaroslavtsev, A.B.; Nikonenko, V.V. Ion-exchange membrane materials: Properties, modification, and practical application. Russ. Nanotechnolog. 2009, 4, 137–159. [Google Scholar] [CrossRef]
- Ivanchev, S.S.; Myakin, S.V. Polymeric membranes for fuel cells: Manufacture, structure, modification, properties. Russ. Chem. Rev. 2010, 79, 101–117. [Google Scholar] [CrossRef]
- Lain, L.; Barragan, V.M. Swelling properties of alkali-metal doped polymeric anion exchange membranes in alcohol media for application in fuel cells. Int. J. Hydrogen Energy 2016, 41, 14160–14170. [Google Scholar] [CrossRef]
- Karimi, M.B.; Hooshyari, K.; Salarizadeh, P.; Beydaghi, H.; Ortiz-Martınez, V.M.; Ortiz, A.; Ortiz Uribe, I.; Mohammadi, F. A comprehensive review on the proton conductivity of proton exchange membranes (PEMs) under anhydrous conditions: Proton conductivity upper bound. Int. J. Hydrogen Energy 2021, 46, 34413–34437. [Google Scholar] [CrossRef]
- Carretta, N.; Tricoli, V.; Picchioni, F. Ionomeric membranes based on partially sulfonated poly(styrene): Synthesis, proton conduction and methanol permeation. J. Membr. Sci. 2000, 166, 189–197. [Google Scholar] [CrossRef]
- Francisco-Vieira, L.; Benavides, R.; Da Silva, L.; Cuara-Diaz, E.; Morales-Acosta, D. Effect of sulfonating agent in the properties of styrene copolymers for PEMFC membranes. Int. J. Hydrogen Energy 2022, 47, 30303–30314. [Google Scholar] [CrossRef]
- Dobrovolsky, Y.A.; Chikin, A.I.; Sanginov, E.A.; Chub, A.V. Proton-exchange membranes based on heteropoly compounds for low temperature fuel cells. Altern. Energy Ecol. (ISJAEE) 2015, 168, 22–45. [Google Scholar] [CrossRef]
- Li, Q.; He, R.; Jensen, J.O.; Bjerrum, N.J. PBI-based polymer membranes for high temperature fuel cells—Preparation, characterization and fuel cell demonstration. Fuel Cells 2004, 4, 147–159. [Google Scholar] [CrossRef]
- Angioni, S.; Villa, D.C.; Dal Barco, S.; Quartarone, E.; Righetti, P.P.; Tomasi, C.; Mustarelli, P. Polysulfonation of BI-based membranes for HT-PEMFCs: A possible way to maintain high proton transport at a low H3PO4 doping level. J. Mater. Chem. A 2014, 2, 663–671. [Google Scholar] [CrossRef]
- Villa, D.C.; Angioni, S.; Dal Barco, S.; Mustarelli, P.; Quartarone, E. Polysulfonated fluoro-oxyPBI membranes for PEMFCs: An efficient strategy to achieve good fuel cell perfomances with low H3PO4 doping levels. Adv. Energy Mater. 2014, 4, 1031949. [Google Scholar] [CrossRef]
- Mack, F.; Aniol, K.; Ellwein, C.; Kerres, J.; Zeis, R. Novel phosphoric acid-doped PBI-blends as membranes for high-temperature PEM fuel cells. J. Mater. Chem. A 2015, 3, 10864–10874. [Google Scholar] [CrossRef]
- Fisher, K.; Qian, G.; Benicewicz, B.C. PBI membranes via the PPA process. In High Temperature Polymer Membrane Fuel Cells; Li, Q., Aili, D., Hjuler, H.A., Jensen, J.O., Eds.; Springer: Berlin/Heidelberg, Germany, 2016; pp. 217–238. [Google Scholar]
- Melchior, J.-P.; Majer, G.; Kreuer, K.-D. Why do proton conducting polybenzimidazole phosphoric acid membranes perform well in high-temperature PEM fuel cells? Phys. Chem. Chem. Phys. 2017, 19, 601–612. [Google Scholar] [CrossRef]
- Quartarone, E.; Angioni, S.; Mustarelli, P. Polymer and Composite Membranes for Proton-Conducting, High-Temperature Fuel Cells: A Critical Review. Materials 2017, 10, 687. [Google Scholar] [CrossRef]
- Noda, A.; Susan, M.; Abu Bin, H.; Kudo, K.; Mitsushima, S.; Hayamizu, K.; Watanabe, M. Brønsted Acid-Base Ionic Liquids as Proton-Conducting Nonaqueous Electrolytes. J. Phys. Chem. B 2003, 107, 4024–4033. [Google Scholar] [CrossRef]
- Deng, W.; Molinero, V.; Goddard, W.A. Fluorinated Imidazoles as Proton Carriers for Water-Free Fuel Cell Membranes. J. Am. Chem. Soc. 2004, 126, 15644–15645. [Google Scholar] [CrossRef]
- Li, S.; Zhou, Z.; Zhang, Y.; Liu, M. 1H-1,2,4-Triazole: An Effective Solvent for Proton-Conducting Electrolytes. Chem. Mater. 2005, 17, 5884–5886. [Google Scholar] [CrossRef]
- Luo, J.; Hu, J.; Saak, W.; Beckhaus, R.; Wittstock, G.; Vankelecom, I.F.J.; Agert, C.; Conrad, O. Protic ionic liquid and ionic melts prepared from methanesulfonic acid and 1H-1,2,4-triazole as high temperature PEMFC electrolytes. J. Mater. Chem. 2011, 21, 10426–10436. [Google Scholar] [CrossRef]
- Gunday, S.T.; Bozkurt, A. Preparation and Proton Conductivity of Polymer Electrolytes Based on Alginic Acid and 1,2,4-Triazole. Polym. J. 2008, 40, 104–108. [Google Scholar] [CrossRef]
- Sasa, D.; Sinirlioglu, D.; Bozkurt, A. Synthesis and characterization of 1H-1,2,4-triazole functional polymer electrolyte membranes (PEMs) based on PVDF and 4-(chloromethyl)styrene via photoinduced grafting. J. Polym. Res. 2013, 20, 313. [Google Scholar] [CrossRef]
- Sinirlioglu, D.; Aslan, A.; Muftuoglu, A.; Bozkurt, A. Synthesis and proton conductivity studies of methacrylate/methacrylamide-based azole functional novel polymer electrolytes. J. Appl. Polym. Sci. 2014, 131, 39915. [Google Scholar] [CrossRef]
- Boroglu, M.S.; Sevim Unugur Celik, S.U.; Boz, I.; Bozkurt, A. Sulfonated poly(vinyl alcohol)/triazole blends as anhydrous proton conducting membranes for polymer electrolyte membrane fuel cells. J. Mater. Res. 2013, 28, 1458–1465. [Google Scholar] [CrossRef]
- Erkartal, M.; Aslan, A.; Erkilic, U.; Dadi, S.; Yazaydin, O.; Usta, H.; Sen, U. Anhydrous proton conducting poly(vinyl alcohol) (PVA)/poly(2-acrylamido-2-methylpropane sulfonic acid) (PAMPS)/1,2,4-triazole composite membrane. Int. J. Hydrogen Energy 2016, 41, 11321–11330. [Google Scholar] [CrossRef]
- Jang, J.; Kim, D.-H.; Min, C.-M.; Pak, C.; Lee, J.-S. Azole structures influence fuel cell performance of phosphoric acid-doped poly(phenylene oxide) with azoles on side chains. J. Membran. Sci. 2020, 605, 118096. [Google Scholar] [CrossRef]
- Song, M.-K.; Zhu, X.; Liu, M. A triazole-based polymer electrolyte membrane for fuel cells operated in a wide temperature range (25–150 °C) with little humidification. J. Power Sources 2013, 241, 219–224. [Google Scholar] [CrossRef]
- Haoa, J.; Lia, X.; Yu, S.; Jiang, Y.; Luo, J.; Shao, Z.; Yi, B. Development of proton-conducting membrane based on incorporating a proton conductor 1,2,4-triazolium methanesulfonate into the Nafion membrane. J. Energy Chem. 2015, 24, 199–206. [Google Scholar] [CrossRef]
- Prozorova, G.F.; Pozdnyakov, A.S.; Kuznetsova, N.P.; Korzhova, S.A.; Emel’yanov, A.I.; Ermakova, T.G.; Fadeeva, T.V.; Sosedova, L.M. Green synthesis of water-soluble nontoxic polymeric nanocomposites containing silver nanoparticles. Int. J. Nanomed. 2014, 9, 1883–1889. [Google Scholar] [CrossRef] [PubMed]
- Pozdnyakov, A.S.; Emel’yanov, A.I.; Kuznetsova, N.P.; Ermakova, T.G.; Fadeeva, T.V.; Sosedova, L.M.; Prozorova, G.F. Nontoxic hydrophilic polymeric nanocomposites containing silver nanoparticles with strong antimicrobial activity. Int. J. Nanomed. 2016, 11, 1295–1304. [Google Scholar] [CrossRef] [PubMed]
- Pozdnyakov, A.S.; Emel’yanov, A.I.; Kuznetsova, N.P.; Ermakova, T.G.; Bolgova, Y.I.; Trofimova, O.M.; Albanov, A.I.; Borodina, T.N.; Smirnov, V.I.; Prozorova, G.F. A Polymer Nanocomposite with CuNP Stabilized by 1-Vinyl-1,2,4-triazole and Acrylonitrile Copolymer. Synlett 2016, 27, 900–904. [Google Scholar]
- Pozdnyakov, A.S.; Emel’yanov, A.I.; Kuznetsova, N.P.; Ermakova, T.G.; Khutsishvili, S.S.; Vakul’skaya, T.I.; Prozorova, G.F. Synthesis and Characterization of silver containing nanocomposites based on 1-Vinyl-1,2,4-triazole and Acrylonitrile Copolymer. J. Nanomat. 2019, 2019, 4895192. [Google Scholar] [CrossRef]
- Prozorova, G.F.; Kuznetsova, N.P.; Shaulina, L.P.; Bolgova, Y.I.; Trofimova, O.M.; Emel’yanov, A.I.; Pozdnyakov, A.S. Synthesis and sorption activity of novel cross-linked 1-vinyl-1,2,4-triazole–(trimethoxysilyl)methyl-2-methacrylate copolymers. J. Organomet. Chem. 2020, 916, 121273. [Google Scholar] [CrossRef]
- Pozdnyakov, A.S.; Ivanova, A.A.; Emel’yanov, A.I.; Bolgova, Y.I.; Trofimova, O.M.; Prozorova, G.F. Water-soluble stable polymer nanocomposites with AuNPs based on the functional poly(1-vinyl-1,2,4-triazole-co-N-vinylpyrrolidone). J. Organomet. Chem. 2020, 922, 121352. [Google Scholar] [CrossRef]
- Shurygina, I.A.; Prozorova, G.F.; Trukhan, I.S.; Korzhova, S.A.; Fadeeva, T.V.; Pozdnyakov, A.S.; Dremina, N.N.; Emel’yanov, A.I.; Kuznetsova, N.P.; Shurygin, M.G. NonToxic Silver/Poly-1-Vinyl-1,2,4-Triazole Nanocomposite Materials with Antibacterial Activity. Nanomaterials 2020, 10, 1477. [Google Scholar] [CrossRef]
- Tsivileva, O.M.; Perfileva, A.I.; Ivanova, A.A.; Pozdnyakov, A.S.; Prozorova, G.F. The Effect of Selenium- or Metal-Nanoparticles Incorporated Nanocomposites of Vinyl Triazole Based Polymers on Fungal Growth and Bactericidal Properties. J. Polym. Environ. 2021, 29, 1287–1297. [Google Scholar] [CrossRef]
- Zezin, A.A.; Zharikov, A.A.; Emel’yanov, A.I.; Pozdnyakov, A.S.; Prozorova, G.F.; Abramchuk, S.S.; Zezina, E.A. One-Pot Preparation of Metal–Polymer Nanocomposites in Irradiated Aqueous Solutions of 1-Vinyl-1,2,4-triazole and Silver Ions. Polymers 2021, 13, 4235. [Google Scholar] [CrossRef] [PubMed]
- Prozorova, G.F.; Pozdnyakov, A.S. Synthesis, Properties, and Biological Activity of Poly(1-vinyl-1,2,4-triazole) and Silver Nanocomposites Based on It. Polym. Sci. Ser. C 2022, 2022, 62–72. [Google Scholar] [CrossRef]
- Myachina, G.F.; Sufianov, R.F.; Kashik, T.N.; Ermakova, T.G. Electrophysical properties of poly-1-vinyl-1,2,4-triazole. Polym. Sci. Ser. B. 1991, 32, 312–314. [Google Scholar]
- Abbas, M.; Cakmak, G.; Tekin, N.; Kara, A.; Guney, H.Y.; Arici, E.; Sariciftci, N.S. Water soluble poly(1-vinyl-1,2,4-triazole) as novel dielectric layer for organic field effect transistors. Org. Electron. 2011, 12, 497–503. [Google Scholar] [CrossRef] [PubMed]
- Bulyshev, Y.S.; Kashirskii, I.M.; Sinitskii, V.V.; Myatchina, G.F.; Ermakova, T.G.; Lopyrev, V.A. Trapping Centres in Poly-1-vinyl-1,2,4-Triazole. Phys. Stat. Sol. 1982, 70, 139–143. [Google Scholar] [CrossRef]
- Bulyshev, Y.S.; Kashirskii, I.M.; Sinitskii, V.V.; Myatchina, G.F.; Ermakova, T.G.; Lopyrev, V.A. Photoinjection of Charge Carries in Poly-1-vinyl-1,2,4-Triazole. Phys. Stat. Sol. 1982, 69, 637–641. [Google Scholar] [CrossRef]
- Kurik, M.V.; Myachina, G.F.; Ermakova, T.G. Electronic Properties of Structurized Poly-1-Vinyl-1,2,4-Triazole. Mol. Cryst. Liq. Cryst. 2007, 468, 317–326. [Google Scholar] [CrossRef]
- Kavas, H.; Durmus, Z.; Baykal, A.; Aslan, A.; Bozkurt, A.; Toprak, M.S. Synthesis and conductivity evaluation of PVTri–Fe3O4 nanocomposite. J. Non Crystall. Sol. 2010, 356, 484–489. [Google Scholar] [CrossRef]
- Durmus, Z.; Unal, B.; Toprak, M.S.; Aslan, A.; Baykal, A. Synthesis and characterization of poly(1-vinyl-1,2,4-triazole) (PVTri)-barium hexaferrite nanocomposite. Phys. B Condens. Matt. 2011, 406, 2298–2302. [Google Scholar] [CrossRef]
- Unal, B.; Durmus, Z.; Baykal, A.; Toprak, M.S.; Sozeri, H.; Bozkurt, A. Synthesis, dielectric and magnetic characteristics of poly(1-vinyl-1,2,4-triazole) (PVTri)–barium hexaferrite composite. J. Alloys Compod. 2011, 509, 8199–8206. [Google Scholar] [CrossRef]
- Beyaz, S.K.; Tekin, N.; Kara, A.; Şimşek, E.; Cakmak, G.; Güney, H.Y.; Lamari, F. In situ polymerization synthesis and characterization of single wall nanotubes/ poly(vinyl)triazole nanocomposites. J. Compos. Mater. 2011, 45, 1523–1531. [Google Scholar] [CrossRef]
- Tekin, N.; Kara, A.; Beyaz, S.K.; Şimşek, E.; Cakmak, G.; Güney, H.Y.; Lamari, F. Preparation, Solubility, and Electrical Properties of Multiwalled Carbon Nanotubes/Poly(1-vinyl-1,2,4-triazole) Composites via in situ Functionalization. Polym. Plast. Technol. Eng. 2014, 53, 840–850. [Google Scholar] [CrossRef]
- Ermakova, T.G.; Korzhova, S.A.; Kuznetsova, N.P.; Mazyar, I.V.; Larina, L.I.; Pozdnyakov, A.S.; Scherbakova, V.S.; Mikhaleva, A.I.; Prozorova, G.F. Preparation and properties of co-oligomers of 1-vinyl-1,2,4-triazole with N-vinyl-2-phenylpyrrole. Russ. J. Gen. Chem. 2015, 85, 472–476. [Google Scholar] [CrossRef]
- Prozorova, G.F.; Ermakova, T.G.; Kuznetsova, N.P.; Posdnyakov, A.S.; Ivanov, A.V.; Trofimov, B.A. Electrical conductivity of copolymers of 1-vinyl-1,2,4-triazole with N-vinyl-4,5,6,7-tetrahydroindole. Russ. Chem. Bull. 2015, 64, 2141–2144. [Google Scholar] [CrossRef]
- Pu, H.; Ye, S.; Wan, D. Anhydrous proton conductivity of acid doped vinyltriazole-based polymers. Electrochem. Acta 2007, 52, 5879–5883. [Google Scholar] [CrossRef]
- Celik, S.Ü.; Aslan, A.; Bozkurt, A. Phosphoric acid-doped poly(1-vinyl-1,2,4-triazole) as water-free proton conducting polymer electrolytes. Solid State Ion. 2008, 179, 683–688. [Google Scholar] [CrossRef]
- Gustian, I.; Çelik, S.; Suratno, W.; Bozkurt, A. Proton conducting composite membranes based on poly(1-vinyl-1,2,4-triazole) and nitrilotri (methyl triphosphonic acid). J. Phys. Chem. Solids 2011, 72, 1377–1380. [Google Scholar] [CrossRef]
- Gustian, I.; Gelik, S.U.; Bozkurt, A. Synthesis of Poly(1-vinyl-1,2,4-triazole) and Preparation of Proton Conducting Membrane for High Temperature Operation. Adv. Mater. Res. 2013, 789, 294–299. [Google Scholar]
- Aslan, A.; Bozkurt, A. Development and characterization of polymer electrolyte membranes based on ionical cross-linked poly(1-vinyl-1,2,4 triazole) and poly(vinylphosphonic acid). J. Power Sources 2009, 191, 442–447. [Google Scholar] [CrossRef]
- Aslan, A.; Sen, U.; Bozkurt, A. Preparation, Properties, and Characterization of Polymer Electrolyte Membranes Based on Poly(1-vinyl-1,2,4 triazole) and Poly(styrene sulfonic acid). J. Electrochem. Soc. 2009, 156, B1112–B1116. [Google Scholar] [CrossRef]
- Ozden, S.; Celik, S.; Bozkurt, A. Polymer Electrolyte Membranes Based on p-Toluenesulfonic Acid Doped Poly(1-vinyl-1,2,4-triazole): Synthesis, Thermal and Proton Conductivity Properties. J. Polym. Sci. Part B Polym. Phys. 2010, 48, 1016–1021. [Google Scholar] [CrossRef]
- Aslan, A.; Celik, S.Ü.; Sen, Ün.; Haser, R.; Bozkurt, A. Intrinsically proton-conducting poly(1-vinyl-1,2,4-triazole)/triflic acid blends. Electrochim. Acta 2009, 54, 2957–2961. [Google Scholar] [CrossRef]
- Aslan, A.; Bozkurt, A. Proton conducting properties of ionically cross-linked poly(1-vinyl-1,2,4 triazole) and poly(2-acrylamido2-methyl-1-propanesulfonic acid) electrolytes. Polym. Bull. 2011, 66, 1099–1110. [Google Scholar] [CrossRef]
- Hazarika, M.; Jana, T. Proton exchange membrane developed from novel blends of polybenzimidazole and poly(vinyl-1,2,4-triazole). ACS Appl. Mater. 2012, 4, 5256–5265. [Google Scholar] [CrossRef] [PubMed]
- Boroglu, M.S.; Celik, S.U.; Bozkurt, A.; Ismail Boz, I. Proton-Conducting Blend Membranes of Crosslinked Poly(vinyl alcohol)–Sulfosuccinic Acid Ester and Poly(1-vinyl-1,2,4-triazole) for High Temperature Fuel Cells. Polym. Eng. Sci. 2013, 53, 153–158. [Google Scholar] [CrossRef]
- Lebedeva, O.; Pozhidaev, Y.; Raskulova, T.; Belkovich, A.; Ivanova, A.; Korzhova, S.; Emelyanov, A.; Pozdnyakov, A. Synthesis and characterization of new proton-exchange membranes based on poly-1-vinyl-1,2,4-triazole doped with phenol-2,4-disulfonic acid. Int. J. Energy Res. 2021, 45, 14547–14560. [Google Scholar] [CrossRef]
- Emelyanov, A.I.; Lebedeva, O.V.; Malakhova, E.A.; Raskulova, T.V.; Pozhidaev, Y.N.; Verkhozina, Y.A.; Larina, L.I.; Korzhova, S.A.; Prozorova, G.F.; Pozdnyakov, A.S. Acid–Base Membranes for Solid Polymer Fuel Cells. Membr. Membran. Technol. 2021, 3, 147–154. [Google Scholar] [CrossRef]
- Sevinc, S.; Celik, S.U.; Bozkurt, A. An investigation of proton conductivity of binary matrices sulfonated polysulfone/polyvinyltriazole after doping with inorganic acids. Bull. Mater. Sci. 2015, 38, 573–578. [Google Scholar] [CrossRef]
- Sen, U.; Bozkurt, A.; Ata, I. Nafion/poly(1-vinyl-1,2,4-triazole) blends as proton conducting membranes for polymer electrolyte membrane fuel cells. J. Power Sources 2010, 195, 7720–7726. [Google Scholar] [CrossRef]
- Trofimov, B.A.; Mognonov, D.M.; Ermakova, T.G.; Kuznetsova, N.P.; Myachina, G.F. Method for Preparation of Proton-Conducting Polymer Membranes. RF Patent No 2279906, 20 July 2006. [Google Scholar]
- Trofimov, B.A.; Mognonov, D.M.; Ermakova, T.G.; Kuznetsova, N.P.; Myachina, G.F. Proton-Conducting Polymer Membranes and Method of Their Preparation. RF Patent No 2284214, 27 September 2006. [Google Scholar]
- Myachina, G.F.; Ermakova, T.G.; Kuznetsova, N.P.; Volkova, L.I.; Trofimov, B.A.; Mognonov, D.M. Proton-conducting membranes based on copolymer composites. In Carbon Nanomaterials in Clean Energy Hydrogen Systems; Baranowski, B., Ed.; Springer Science–Business Media: Berlin/Heidelberg, Germany, 2008; pp. 379–384. [Google Scholar]
- Celik, S.U.; Akbey, U.; Graf, R.; Bozkurt, A.; Spiess, H.W. Anhydrous proton-conducting properties of triazole-phosphonic acid copolymers: A combined study with MAS NMR. Phys. Chem. Chem. Phys. 2008, 10, 6058–6066. [Google Scholar] [CrossRef] [PubMed]
- Celik, S.Ü.; Sen, Ün.; Haser, R.; Bozkurt, A. The synthesis and proton-conducting properties of the copolymers based on 1-vinyl-1,2,4-triazole and 2-acrylamido-2-methyl-1-propanesulfonic acid. Solid State Ionics 2010, 181, 525–530. [Google Scholar] [CrossRef]
- Sinirlioglu, D.; Muftuoglu, A.E.; Bozkurt, A. 5-(methacrylamido)tetrazole and vinyl triazole based copolymers as novel anhydrous proton conducting membranes. J. Polym. Res. 2013, 20, 242. [Google Scholar] [CrossRef]
- Çelik, S.Ü.; Bozkurt, A. Novel anhydrous proton conducting copolymers of 1-vinyl-1,2,4-triazole and diisopropyl-p-vinylbenzyl phosphonate. Polym. Adv. Technol. 2014, 25, 191–195. [Google Scholar] [CrossRef]
- Sezgin, S.; Sinirlioğlu, D.; Muftuoglu, A.E.; Bozkurt, A. An Investigation of Proton Conductivity of Vinyltriazole-Grafted PVDF Proton Exchange Membranes Prepared via Photoinduced Grafting. J. Chem. 2014, 7, 1–11. [Google Scholar] [CrossRef]
- Nakabayashi., K.; Umeda, A.; Sato, Y.; Mori, H. Synthesis of 1,2,4-triazolium salt-based polymers and block copolymers by RAFT polymerization: Ion conductivity and assembled structures. Polymer 2016, 96, 81–93. [Google Scholar] [CrossRef]
- Mukherjee, N.; Das, A.; Jana, T. Poly(N-vinyl triazole-b-N-vinyl imidazole) Grafted on MWCNTs as Nanofillers to Improve Proton Conducting Membranes. ACS Appl. Nano Mater. 2023, 6, 544–557. [Google Scholar] [CrossRef]



| Sample Name | Temperature, °C | Max. Proton Conductivity, S/cm | Reference |
|---|---|---|---|
| 1H-1,2,4-triazole | 115 120 | 1.5 × 10−4 1.2 × 10−3 | [23] |
| 1H-1,2,4-triazole and 4-dodecylbenzene-sulfonic acid | 120 | 2.0 × 10−2 | [23] |
| 1H-1,2,4-triazole and sulfonated polysulfone | 100 140 | 1.5 × 10−3 5.0 × 10−3 | [23] |
| 1,2,4-triazole and alginic acid | 100 | 1.0 × 10−4 | [25] |
| Poly(vinylidene flouride)–poly(chloromethyl styrene)—1H-1,2,4-triazole and trifilic acid | 120 150 | 1.2 × 10−2 2.0 × 10−2 | [26] |
| Poly(methacryloyl-1,2,4-triazole) and trifilic acid | 150 | 8.7 × 10−4 | [27] |
| Poly(methacryloyl-3-amino-1,2,4-triazole) and trifilic acid | 150 | 2.0 × 10−2 | [27] |
| Poly(vinyl alcohol)—sulfosuccinic acid—3-amino-1,2,4-triazole | 140 | 7.26 × 10−3 | [28] |
| Poly(vinyl alcohol)—poly (2-acrylamido-2-methylpropane sulfonic acid)—1,2,4-triazole | 150 | 2.0 × 10−3 | [29] |
| Poly(phenylene oxide)—1,2,4-triazole and phosphoric acid | 150 | 1.14 × 10−1 | [30] |
| 1,2,4-Triazolium methanesulfonate | 140 190 | 1.86 × 10−2 3.65 × 10−2 | [32] |
| Nafion—1,2,4-triazolium methanesulfonate | 140 180 | 3.67 × 10−3 1.32 × 10−2 | [32] |
| Sample Name | T, °C | σ, S/cm | IEC, mmol/g | WU, % | Reference |
|---|---|---|---|---|---|
| Poly-1-vinyl-1,2,4-triazole and phosphoric acid | 50 | 1.2 × 10−4 | – | – | [55] |
| Poly-1-vinyl-1,2,4-triazole and phosphoric acid | 140 150 | 5.0 × 10−3 4.0 × 10−3 | – | – | [56] |
| Poly-1-vinyl-1,2,4-triazole and nitrilotri(methyl triphosphonic acid) | 150 | 8.5 × 10−4 | – | – | [57] |
| Poly(1-vinyl-1,2,4-triazole) and nitrilotri (methyl triphosphonic acid) | 150 | 8.5 × 10−4 | – | – | [58] |
| Poly(1-vinyl-1,2,4-triazole) and poly(vinylphosphonic acid) | 180 * 100 | 2.5 × 10−5 * 2.2 × 10−2 | – | 150–350 | [59] |
| Poly(1-vinyl-1,2,4-triazole) and poly(styrene sulfonic acid) | 120 150 | 3.3 × 10−2 1.5 × 10−2 | – | – | [60] |
| Poly(1-vinyl-1,2,4-triazole) and toluenesulfonic acid | 110 150 | 1.2 × 10−2 8.0 × 10−4 | – | – | [61] |
| Poly(1-vinyl-1,2,4-triazole) and trifluoromethanesulfonic (triflic) acid | 80 | 1.2 × 10−2 | – | – | [62] |
| Poly(1-vinyl-1,2,4-triazole) and poly(2-acrylamido2-methyl-1-propanesulfonic acid) | 150 * 100 | 1.1 × 10−6 * 3.0 × 10−1 | – | 150–240 | [63] |
| Poly(1-vinyl-1,2,4-triazole) and polybenzimidazole (blends) and phosphoric acid | 160 | 1.1 × 10−1 | – | 33–43 | [64] |
| Poly(1-vinyl-1,2,4-triazole) and poly(vinyl alcohol) with sulfosuccinic acid | 150 * 60 | 2.5 × 10−5 * 2.8 × 10−3 | – | 80–150 | [65] |
| Poly(1-vinyl-1,2,4-triazole) with phenol-2,4-disulfonic acid and poly(vinyl alcohol) cross-linked with oxalic acid | 80 | 6.0 × 10−2 7.3 × 10−3 6.2 × 10−3 | 0.9–3.4 | 50–200 | [66,67] |
| Poly(1-vinyl-1,2,4-triazole) and sulfonated polysulfone and phosphoric acid | 150 | 3.6 × 10−4 | 3.05 | – | [68] |
| Poly(1-vinyl-1,2,4-triazole) and Nafion (blends) | 220 * 25 | 5.3 × 10−4 * 1.0 × 10−3 | – | 48–140 | [69] |
| Sample Name | T, °C | σ, S/cm | IEC, mmol/g | WU, % | Reference |
|---|---|---|---|---|---|
| Copolymer based on 1-vinyl-1,2,4-triazole and methyl methacrilate doping with phosphoric acid | 25 130 | 1.5 × 10−2 1.1 × 10−1 | – | – | [72] |
| Copolymer based on 1-vinyl-1,2,4-triazole and fluoroalkylmethacrylates doping with phosphoric acid | 25 130 | 2.5 × 10−2 0.8 × 10−1 | – | – | [70,71,72] |
| Copolymer based on 1-vinyl-1,2,4-triazole and vinylphophonic acid | 120 | 1.0 × 10−3 | – | – | [73] |
| Copolymers based on 1-vinyl-1,2,4-triazole and 2-acrylamido-2-methyl-1-propanesulfonic acid | 130 | 2.0 × 10−3 | – | – | [74] |
| Copolymers based on 1-vinyl-1,2,4-triazole and 5-(methacrylamido)tetrazole doping with phosphoric acid | 150 | 1.6 × 10−2 | – | – | [75] |
| Copolymers based on 1-vinyl-1,2,4-triazole and diisopropyl-p-vinylbenzyl phosphonate doping with phosphoric acid | 150 | 5.0 × 10−3 | 6.1–7.6 | [76] | |
| Copolymers based on 1-vinyl-1,2,4-triazole and poly(vinylidene fluoride) doping with triflic acid | 150 | 6.0 × 10−3 | – | – | [77] |
| Block copolymers based on 1-vinyl-1,2,4-triazole, 1-vinyl-1,2,4-triazolium salts and N-vinyl pyrrolidone | 90 | 3.1 × 10−4 | – | – | [78] |
| Block copolymer based on poly-N-vinyl-1,2,4-triazole and poly-N-vinyl imidazole on the surface of a multiwalled carbon nanotube | 180 | 1.6 × 10−1 | – | – | [79] |
Disclaimer/Publisher’s Note: The statements, opinions and data contained in all publications are solely those of the individual author(s) and contributor(s) and not of MDPI and/or the editor(s). MDPI and/or the editor(s) disclaim responsibility for any injury to people or property resulting from any ideas, methods, instructions or products referred to in the content. |
© 2023 by the authors. Licensee MDPI, Basel, Switzerland. This article is an open access article distributed under the terms and conditions of the Creative Commons Attribution (CC BY) license (https://creativecommons.org/licenses/by/4.0/).
Share and Cite
Prozorova, G.F.; Pozdnyakov, A.S. Proton-Conducting Polymeric Membranes Based on 1,2,4-Triazole. Membranes 2023, 13, 169. https://doi.org/10.3390/membranes13020169
Prozorova GF, Pozdnyakov AS. Proton-Conducting Polymeric Membranes Based on 1,2,4-Triazole. Membranes. 2023; 13(2):169. https://doi.org/10.3390/membranes13020169
Chicago/Turabian StyleProzorova, Galina F., and Alexander S. Pozdnyakov. 2023. "Proton-Conducting Polymeric Membranes Based on 1,2,4-Triazole" Membranes 13, no. 2: 169. https://doi.org/10.3390/membranes13020169
APA StyleProzorova, G. F., & Pozdnyakov, A. S. (2023). Proton-Conducting Polymeric Membranes Based on 1,2,4-Triazole. Membranes, 13(2), 169. https://doi.org/10.3390/membranes13020169

