Impact of Polymer Membrane Properties on the Removal of Pharmaceuticals
Abstract
:1. Introduction
2. Methodology
2.1. Materials
2.2. Research Equipment
2.3. Analytical Methods
2.3.1. FTIR—Fourier Transform Infrared Spectroscopy
2.3.2. LC—Liquid Chromatography
2.3.3. SEM Microscopic Analysis
2.3.4. Determination of Contact Angle and Free Surface Energy (FSE)
2.3.5. X-Ray Photoelectron Spectroscopy (XPS)
3. Results and Discussion
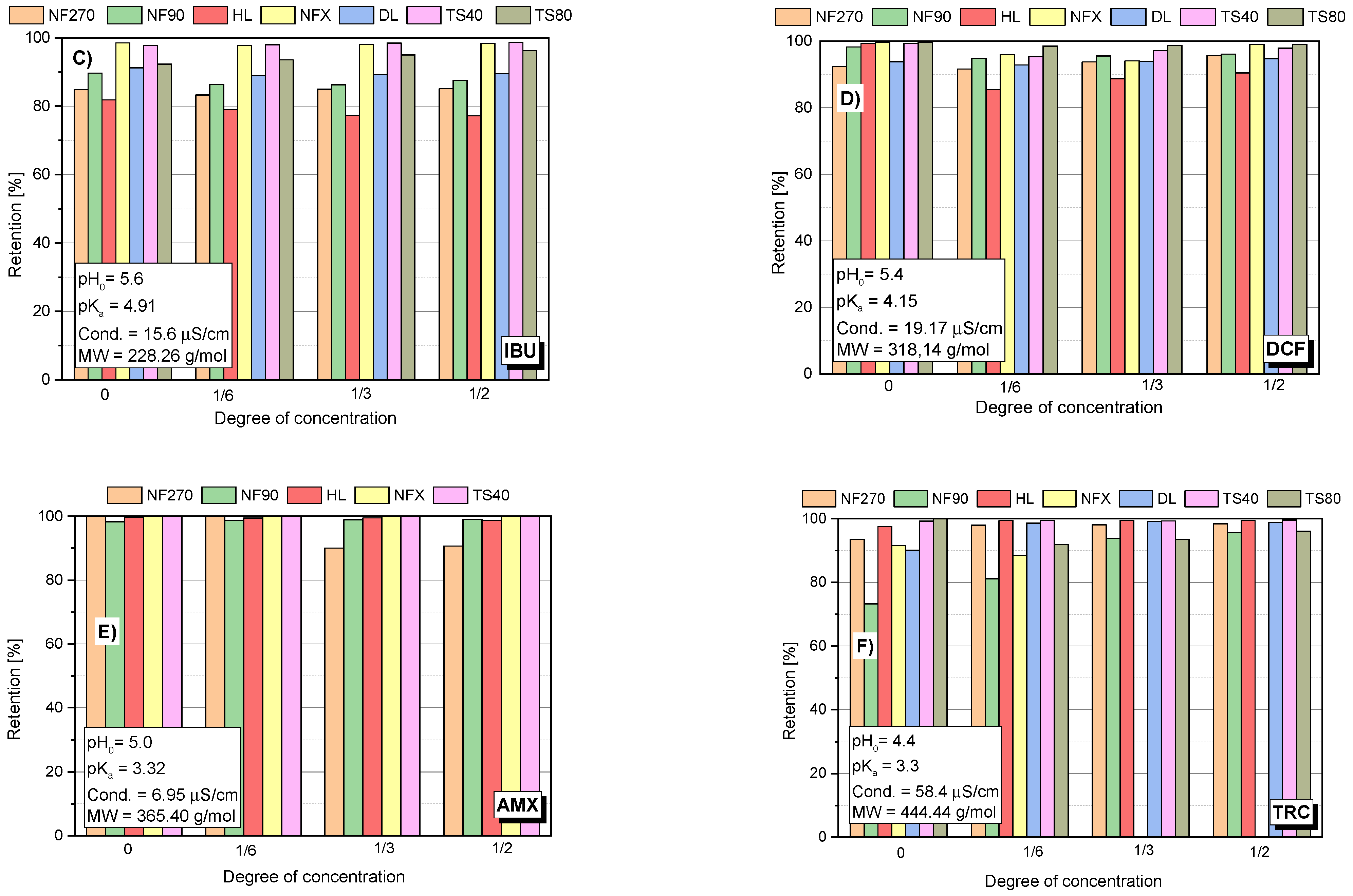
3.1. The Influence of Molecule Structure on Their Retention
3.2. The Influence of Molecule Structure on Filtrate Flux
3.3. Influence of pH on Retention Coefficient
3.4. Influence of pH on Filtrate Flux
3.5. Influence of Membrane Properties on Filtration Parameters
4. Conclusions
Supplementary Materials
Author Contributions
Funding
Institutional Review Board Statement
Informed Consent Statement
Data Availability Statement
Conflicts of Interest
References
- Halling-Sørensen, B.; Nielsen, S.N.; Lanzky, P.; Ingerslev, F.; Lützhøft, H.H.; Jørgensen, S. Occurrence, fate and effects of pharmaceutical substances in the environment- A review. Chemosphere 1998, 36, 357–393. [Google Scholar] [CrossRef]
- Yangali-Quintanilla, V.; Sadmani, A.; McConville, M.; Kennedy, M.; Amy, G. A QSAR model for predicting rejection of emerging contaminants (pharmaceuticals, endocrine disruptors) by nanofiltration membranes. Water Res. 2010, 44, 373–384. [Google Scholar] [CrossRef] [PubMed]
- Vaudin, P.; Augé, C.; Just, N.; Mhaouty-Kodja, S.; Mortaud, S.; Pillon, D. When pharmaceutical drugs become environmental pollutants: Potential neural effects and underlying mechanisms. Environ. Res. 2021, 205, 112495. [Google Scholar] [CrossRef] [PubMed]
- Ahmad, H.A.; Ahmad, S.; Cui, Q.; Wang, Z.; Wei, H.; Chen, X.; Ni, S.-Q.; Ismail, S.; Awad, H.M.; Tawfik, A. The environmental distribution and removal of emerging pollutants, highlighting the importance of using microbes as a potential degrader: A review. Sci. Total Environ. 2021, 809, 151926. [Google Scholar] [CrossRef] [PubMed]
- Radjenovic, J.; Petrovic, M.; Ventura, F.; Barceló, D. Rejection of pharmaceuticals in nanofiltration and reverse osmosis membrane drinking water treatment. Water Res. 2008, 42, 3601–3610. [Google Scholar] [CrossRef]
- Benotti, M.J.; Trenholm, R.A.; Vanderford, B.J.; Holady, J.C.; Stanford, B.D.; Snyder, S. Pharmaceuticals and Endocrine Disrupting Compounds in U.S. Drinking Water. Environ. Sci. Technol. 2009, 43, 597–603. [Google Scholar] [CrossRef] [Green Version]
- Huerta-Fontela, M.; Galceran, M.T.; Ventura, F. Occurrence and removal of pharmaceuticals and hormones through drinking water treatment. Water Res. 2011, 45, 1432–1442. [Google Scholar] [CrossRef]
- Focazio, M.J.; Kolpin, D.W.; Barnes, K.K.; Furlong, E.; Meyer, M.; Zaugg, S.D.; Barber, L.B.; Thurman, E.M. A national reconnaissance for pharmaceuticals and other organic wastewater contaminants in the United States—II. Untreated drinking water sources. Sci. Total Environ. 2008, 402, 201–216. [Google Scholar] [CrossRef]
- Ahmad, J.; Naeem, S.; Ahmad, M.; Usman, A.R.; Al-Wabel, M.I. A critical review on organic micropollutants contamination in wastewater and removal through carbon nanotubes. J. Environ. Manag. 2019, 246, 214–228. [Google Scholar] [CrossRef]
- Khanzada, N.K.; Farid, M.U.; Kharraz, J.; Choi, P.J.; Tang, C.Y.; Nghiem, L.D.; Jang, A.; An, A.K. Removal of organic micropollutants using advanced membrane-based water and wastewater treatment: A review. J. Membr. Sci. 2020, 598, 117672. [Google Scholar] [CrossRef]
- Liu, Y.-L.; Wang, X.-M.; Yang, H.-W.; Xie, Y.F. Quantifying the influence of solute-membrane interactions on adsorption and rejection of pharmaceuticals by NF/RO membranes. J. Membr. Sci. 2018, 551, 37–46. [Google Scholar] [CrossRef]
- Garcia-Ivars, J.; Martella, L.; Massella, M.; Carbonell-Alcaina, C.; Alcaina-Miranda, M.I.; Iborra-Clar, M.-I. Nanofiltration as tertiary treatment method for removing trace pharmaceutically active compounds in wastewater from wastewater treatment plants. Water Res. 2017, 125, 360–373. [Google Scholar] [CrossRef] [PubMed]
- Wang, J.; Wang, S. Removal of pharmaceuticals and personal care products (PPCPs) from wastewater: A review. J. Environ. Manag. 2016, 182, 620–640. [Google Scholar] [CrossRef] [PubMed]
- Li, S.; Hu, J. Photolytic and photocatalytic degradation of tetracycline: Effect of humic acid on degradation kinetics and mechanisms. J. Hazard. Mater. 2016, 318, 134–144. [Google Scholar] [CrossRef] [PubMed]
- Martínez, F.; López-Muñoz, M.-J.; Aguado, J.; Melero, J.A.; Arsuaga, J.; Sotto, A.; Molina, R.; Segura, Y.; Pariente, M.I.; Revilla, A.; et al. Coupling membrane separation and photocatalytic oxidation processes for the degradation of pharmaceutical pollutants. Water Res. 2013, 47, 5647–5658. [Google Scholar] [CrossRef] [PubMed]
- Vergili, I. Application of nanofiltration for the removal of carbamazepine, diclofenac and ibuprofen from drinking water sources. J. Environ. Manag. 2013, 127, 177–187. [Google Scholar] [CrossRef]
- Kim, S.D.; Cho, J.; Kim, I.S.; Vanderford, B.J.; Snyder, S.A. Occurrence and removal of pharmaceuticals and endocrine disruptors in South Korean surface, drinking, and waste waters. Water Res. 2007, 41, 1013–1021. [Google Scholar] [CrossRef]
- Al-Rifai, J.; Khabbaz, H.; Schaefer, A. Removal of pharmaceuticals and endocrine disrupting compounds in a water recycling process using reverse osmosis systems. Sep. Purif. Technol. 2011, 77, 60–67. [Google Scholar] [CrossRef]
- Taheran, M.; Brar, S.K.; Verma, M.; Surampalli, R.; Zhang, T.; Valero, J. Membrane processes for removal of pharmaceutically active compounds (PhACs) from water and wastewaters. Sci. Total Environ. 2016, 547, 60–77. [Google Scholar] [CrossRef]
- Belkacem, M.; Bensadok, K.; Refes, A.; Charvier, P.; Nezzal, G. Water produce for pharmaceutical industry: Role of reverse osmosis stage. Desalination 2008, 221, 298–302. [Google Scholar] [CrossRef]
- Shojaee Nasirabadi, P.; Saljoughi, E.; Mousavi, S.M. Membrane processes used for removal of pharmaceuticals, hormones, endocrine disruptors and their metabolites from wastewaters: A review. Desalin. Water Treat. 2016, 57, 24146–24175. [Google Scholar] [CrossRef]
- Kim, S.; Chu, K.H.; Al-Hamadani, Y.A.; Park, C.M.; Jang, M.; Kim, D.-H.; Yu, M.; Heo, J.; Yoon, Y. Removal of contaminants of emerging concern by membranes in water and wastewater: A review. Chem. Eng. J. 2018, 335, 896–914. [Google Scholar] [CrossRef]
- Nghiem, L.D.; Schäfer, A.I.; Elimelech, M. Removal of Natural Hormones by Nanofiltration Membranes: Measurement, Modeling, and Mechanisms. Environ. Sci. Technol. 2004, 38, 1888–1896. [Google Scholar] [CrossRef] [PubMed]
- Ganiyu, S.O.; van Hullebusch, E.D.; Cretin, M.; Esposito, G.; Oturan, M.A. Coupling of membrane filtration and advanced oxidation processes for removal of pharmaceutical residues: A critical review. Sep. Purif. Technol. 2015, 156, 891–914. [Google Scholar] [CrossRef]
- Verliefde, A.; Cornelissen, E.; Heijman, S.; Verberk, J.; Amy, G.; Van der Bruggen, B.; van Dijk, J. The role of electrostatic interactions on the rejection of organic solutes in aqueous solutions with nanofiltration. J. Membr. Sci. 2008, 322, 52–66. [Google Scholar] [CrossRef]
- Wadekar, S.S.; Vidic, R.D. Influence of Active Layer on Separation Potentials of Nanofiltration Membranes for Inorganic Ions. Environ. Sci. Technol. 2017, 51, 5658–5665. [Google Scholar] [CrossRef] [PubMed]
- Al-Amoudi, A.; Williams, P.; Mandale, S.; Lovitt, R.W. Cleaning results of new and fouled nanofiltration membrane characterized by zeta potential and permeability. Sep. Purif. Technol. 2007, 54, 234–240. [Google Scholar] [CrossRef]
- Artuğ, G.; Roosmasari, I.; Richau, K.; Hapke, J. A Comprehensive Characterization of Commercial Nanofiltration Membranes. Sep. Sci. Technol. 2007, 42, 2947–2986. [Google Scholar] [CrossRef]
- Childress, A.E.; Elimelech, M. Relating Nanofiltration Membrane Performance to Membrane Charge (Electrokinetic) Characteristics. Environ. Sci. Technol. 2000, 34, 3710–3716. [Google Scholar] [CrossRef]
- Gomes, D.; Cardoso, M.; Martins, R.C.; Quinta-Ferreira, R.M.; Gando-Ferreira, L. Removal of a mixture of pharmaceuticals sulfamethoxazole and diclofenac from water streams by a polyamide nanofiltration membrane. Water Sci. Technol. 2020, 81, 732–743. [Google Scholar] [CrossRef]
- Nghiem, L.D.; Hawkes, S. Effects of membrane fouling on the nanofiltration of pharmaceutically active compounds (PhACs): Mechanisms and role of membrane pore size. Sep. Purif. Technol. 2007, 57, 176–184. [Google Scholar] [CrossRef]
- Schaep, J.; Vandecasteele, C. Evaluating the charge of nanofiltration membranes. J. Membr. Sci. 2001, 188, 129–136. [Google Scholar] [CrossRef]
- Chang, E.-E.; Yang, S.-Y.; Huang, C.-P.; Liang, C.-H.; Chiang, P.-C. Assessing the fouling mechanisms of high-pressure nanofiltration membrane using the modified Hermia model and the resistance-in-series model. Sep. Purif. Technol. 2011, 79, 329–336. [Google Scholar] [CrossRef]
- Al-Rashdi, B.; Johnson, D.; Hilal, N. Removal of heavy metal ions by nanofiltration. Desalination 2013, 315, 2–17. [Google Scholar] [CrossRef]
- Gao, L.; Wang, H.; Zhang, Y.; Wang, M. Nanofiltration Membrane Characterization and Application: Extracting Lithium in Lepidolite Leaching Solution. Membr. 2020, 10, 178. [Google Scholar] [CrossRef] [PubMed]
- Licona, K.; Geaquinto, L.D.O.; Nicolini, J.; Figueiredo, N.; Chiapetta, S.; Habert, A.; Yokoyama, L. Assessing potential of nanofiltration and reverse osmosis for removal of toxic pharmaceuticals from water. J. Water Process Eng. 2018, 25, 195–204. [Google Scholar] [CrossRef]
- Tang, C.Y.; Kwon, Y.-N.; Leckie, J.O. Effect of membrane chemistry and coating layer on physiochemical properties of thin film composite polyamide RO and NF membranes: I. FTIR and XPS characterization of polyamide and coating layer chemistry. Desalination 2009, 242, 149–167. [Google Scholar] [CrossRef]
- Dolar, D.; Košutić, K. Removal of Pharmaceuticals by Ultrafiltration (UF), Nanofiltration (NF), and Reverse Osmosis (RO). Compr. Anal. Chem. 2013, 62, 319–344. [Google Scholar] [CrossRef]
- Sanches, S.; Penetra, A.; Rodrigues, A.; Ferreira, E.; Cardoso, V.V.; Benoliel, M.J.; Crespo, M.T.B.; Pereira, V.J.; Crespo, J.G. Nanofiltration of hormones and pesticides in different real drinking water sources. Sep. Purif. Technol. 2012, 94, 44–53. [Google Scholar] [CrossRef]
- Comerton, A.M.; Andrews, R.C.; Bagley, D.; Yang, P. Membrane adsorption of endocrine disrupting compounds and pharmaceutically active compounds. J. Membr. Sci. 2007, 303, 267–277. [Google Scholar] [CrossRef]
- Verliefde, A.; Heijman, S.; Cornelissen, E.; Amy, G.; Van der Bruggen, B.; van Dijk, J. Influence of electrostatic interactions on the rejection with NF and assessment of the removal efficiency during NF/GAC treatment of pharmaceutically active compounds in surface water. Water Res. 2007, 41, 3227–3240. [Google Scholar] [CrossRef] [PubMed]
- Verliefde, A.; Cornelissen, E.; Heijman, S.; Petrinic, I.; Luxbacher, T.; Amy, G.; Van der Bruggen, B.; van Dijk, J. Influence of membrane fouling by (pretreated) surface water on rejection of pharmaceutically active compounds (PhACs) by nanofiltration membranes. J. Membr. Sci. 2009, 330, 90–103. [Google Scholar] [CrossRef]
- Kim, J.-H.; Park, P.-K.; Lee, C.-H.; Kwon, H.-H. Surface modification of nanofiltration membranes to improve the removal of organic micro-pollutants (EDCs and PhACs) in drinking water treatment: Graft polymerization and cross-linking followed by functional group substitution. J. Membr. Sci. 2008, 321, 190–198. [Google Scholar] [CrossRef]
- Koyuncu, I.; Arikan, O.A.; Wiesner, M.R.; Rice, C. Removal of hormones and antibiotics by nanofiltration membranes. J. Membr. Sci. 2008, 309, 94–101. [Google Scholar] [CrossRef]
- Zazouli, M.A.; Susanto, H.; Nasseri, S.; Ulbricht, M. Influences of solution chemistry and polymeric natural organic matter on the removal of aquatic pharmaceutical residuals by nanofiltration. Water Res. 2009, 43, 3270–3280. [Google Scholar] [CrossRef] [PubMed]
- Żyłła, R.; Foszpańczyk, M.; Olak-Kucharczyk, M.; Marszałek, J.; Ledakowicz, S. Removal of Organic Compounds with an Amino Group during the Nanofiltration Process. Membranes 2021, 12, 58. [Google Scholar] [CrossRef]
- Tang, C.Y.; Kwon, Y.-N.; Leckie, J.O. Effect of membrane chemistry and coating layer on physiochemical properties of thin film composite polyamide RO and NF membranes: II. Membrane physiochemical properties and their dependence on polyamide and coating layers. Desalination 2009, 242, 168–182. [Google Scholar] [CrossRef]
- Acero, J.L.; Benitez, F.J.; Real, F.J.; Teva, F. Micropollutants removal from retentates generated in ultrafiltration and nanofiltration treatments of municipal secondary effluents by means of coagulation, oxidation, and adsorption processes. Chem. Eng. J. 2016, 289, 48–58. [Google Scholar] [CrossRef]
- Feng, G.; Chu, H.; Dong, B. Fouling effects of algogenic organic matters during nanofiltration of naproxen. Desalination 2014, 350, 69–78. [Google Scholar] [CrossRef]
- Nicolini, J.V.; Borges, C.P.; Ferraz, H.C. Selective rejection of ions and correlation with surface properties of nanofiltration membranes. Sep. Purif. Technol. 2016, 171, 238–247. [Google Scholar] [CrossRef]
- Tu, K.L.; Nghiem, L.; Chivas, A. Coupling effects of feed solution pH and ionic strength on the rejection of boron by NF/RO membranes. Chem. Eng. J. 2011, 168, 700–706. [Google Scholar] [CrossRef] [Green Version]
- Simon, A.; Nghiem, L.D.; Le-Clech, P.; Khan, S.J.; Drewes, J.E. Effects of membrane degradation on the removal of pharmaceutically active compounds (PhACs) by NF/RO filtration processes. J. Membr. Sci. 2009, 340, 16–25. [Google Scholar] [CrossRef]
- Mouhoumed, E.I.; Szymczyk, A.; Schäfer, A.; Paugam, L.; La, Y.H. Physico-chemical characterization of polyamide NF/RO membranes: Insight from streaming current measurements. J. Membr. Sci. 2014, 461, 130–138. [Google Scholar] [CrossRef] [Green Version]
- Richards, L.; Vuachère, M.; Schäfer, A.I. Impact of pH on the removal of fluoride, nitrate and boron by nanofiltration/reverse osmosis. Desalination 2010, 261, 331–337. [Google Scholar] [CrossRef]
- Shahtalebi, A.; Sarrafzadeh, M.H.; Montazer Rahmati, M.M. Application of Nanofiltration Membrane in the Separation of Amoxicillin from Pharmaceutical Wastewater. Iran. J. Environ. Heal. Sci. Eng. 2011, 8, 109–116. [Google Scholar]
- Benitez, F.J.; Acero, J.L.; Real, F.J.; Roldán, G.; Rodriguez, E. Ultrafiltration and nanofiltration membranes applied to the removal of the pharmaceuticals amoxicillin, naproxen, metoprolol and phenacetin from water. J. Chem. Technol. Biotechnol. 2011, 86, 858–866. [Google Scholar] [CrossRef]
- Ge, T.; Han, J.; Qi, Y.; Gu, X.; Ma, L.; Zhang, C.; Naeem, S.; Huang, D. The toxic effects of chlorophenols and associated mechanisms in fish. Aquat. Toxicol. 2017, 184, 78–93. [Google Scholar] [CrossRef]
- Nghiem, L.; Schäfer, A.I.; Elimelech, M. Role of electrostatic interactions in the retention of pharmaceutically active contaminants by a loose nanofiltration membrane. J. Membr. Sci. 2006, 286, 52–59. [Google Scholar] [CrossRef] [Green Version]
- Xu, R.; Zhang, P.; Wang, Q.; Wang, X.; Yu, K.; Xue, T.; Wen, X. Influences of multi influent matrices on the retention of PPCPs by nanofiltration membranes. Sep. Purif. Technol. 2019, 212, 299–306. [Google Scholar] [CrossRef]
- Xu, L.; Sun, Y.; Du, L.; Zhang, J. Removal of tetracycline hydrochloride from wastewater by nanofiltration enhanced by electro-catalytic oxidation. Desalination 2014, 352, 58–65. [Google Scholar] [CrossRef]
- Li, Z.; Wei, Y.; Gao, X.; Ding, L.; Lu, Z.; Deng, J.; Yang, X.; Caro, J.; Wang, H. Antibiotics Separation with MXene Membranes Based on Regularly Stacked High-Aspect-Ratio Nanosheets. Angew. Chem. Int. Ed. 2020, 59, 9751–9756. [Google Scholar] [CrossRef] [PubMed]
- Kosutic, K.; Dolar, D.; Asperger, D.; Kunst, B. Removal of antibiotics from a model wastewater by RO/NF membranes. Sep. Purif. Technol. 2007, 53, 244–249. [Google Scholar] [CrossRef]
- Dolar, D.; Pelko, S.; Košutić, K.; Horvat, A.J. Removal of anthelmintic drugs and their photodegradation products from water with RO/NF membranes. Process Saf. Environ. Prot. 2012, 90, 147–152. [Google Scholar] [CrossRef]
- Dolar, D.; Vuković, A.; Ašperger, D.; Kosutic, K. Effect of water matrices on removal of veterinary pharmaceuticals by nanofiltration and reverse osmosis membranes. J. Environ. Sci. 2011, 23, 1299–1307. [Google Scholar] [CrossRef]
- Dolar, D.; Kosutic, K.; Vučić, B. RO/NF treatment of wastewater from fertilizer factory—Removal of fluoride and phosphate. Desalination 2011, 265, 237–241. [Google Scholar] [CrossRef]
- Chen, Z.; Luo, J.; Hang, X.; Wan, Y. Physicochemical characterization of tight nanofiltration membranes for dairy wastewater treatment. J. Membr. Sci. 2018, 547, 51–63. [Google Scholar] [CrossRef]
- Kwon, Y.-N.; Leckie, J. Hypochlorite degradation of crosslinked polyamide membranes: II. Changes in hydrogen bonding behavior and performance. J. Membr. Sci. 2006, 282, 456–464. [Google Scholar] [CrossRef]
- López, J.; Reig, M.; Gibert, O.; Torres, E.; Ayora, C.; Cortina, J.L. Application of nanofiltration for acidic waters containing rare earth elements: Influence of transition elements, acidity and membrane stability. Desalination 2018, 430, 33–44. [Google Scholar] [CrossRef] [Green Version]
- Do, V.T.; Tang, C.Y.; Reinhard, M.; Leckie, J.O. Degradation of Polyamide Nanofiltration and Reverse Osmosis Membranes by Hypochlorite. Environ. Sci. Technol. 2012, 46, 852–859. [Google Scholar] [CrossRef]
- Hilal, N.; Al-Zoubi, H.; Darwish, N.; Mohammad, A.W. Characterisation of nanofiltration membranes using atomic force microscopy. Desalination 2005, 177, 187–199. [Google Scholar] [CrossRef]
- Park, N.; Lee, S.; Lee, S.-H.; Kim, S.D.; Cho, J. Mass transfer of bacterial by-products (BBP) during nanofiltration: Characterizations, transport, and sherwood relationships. Desalination 2009, 247, 623–635. [Google Scholar] [CrossRef]
- Acero, J.L.; Benitez, F.J.; Teva, F.; Leal, A.I. Retention of emerging micropollutants from UP water and a municipal secondary effluent by ultrafiltration and nanofiltration. Chem. Eng. J. 2010, 163, 264–272. [Google Scholar] [CrossRef]
- Zhao, H.; Yang, L.; Chen, X.; Sheng, M.; Cao, G.; Cai, L.; Meng, S.; Tang, C.Y. Degradation of Polyamide Nanofiltration Membranes by Bromine: Changes of Physiochemical Properties and Filtration Performance. Environ. Sci. Technol. 2021, 55, 6329–6339. [Google Scholar] [CrossRef] [PubMed]
- Al-Amoudi, A.; Williams, P.; Al-Hobaib, A.; Lovitt, R. Cleaning results of new and fouled nanofiltration membrane characterized by contact angle, updated DSPM, flux and salts rejection. Appl. Surf. Sci. 2008, 254, 3983–3992. [Google Scholar] [CrossRef]
- Lin, Y.-L. Effects of organic, biological and colloidal fouling on the removal of pharmaceuticals and personal care products by nanofiltration and reverse osmosis membranes. J. Membr. Sci. 2017, 542, 342–351. [Google Scholar] [CrossRef]
- Suo, Y.; Ren, Y. Research on the mechanism of nanofiltration membrane fouling in zero discharge process of high salty wastewater from coal chemical industry. Chem. Eng. Sci. 2021, 245, 116810. [Google Scholar] [CrossRef]
- Wadekar, S.S.; Vidic, R.D. Comparison of ceramic and polymeric nanofiltration membranes for treatment of abandoned coal mine drainage. Desalination 2018, 440, 135–145. [Google Scholar] [CrossRef]
- Schmidt, C.M.; Sprunk, M.; Löffler, R.; Hinrichs, J. Relating nanofiltration membrane morphology to observed rejection of saccharides. Sep. Purif. Technol. 2020, 239, 116550. [Google Scholar] [CrossRef]
- Liu, P.; Zhang, H.; Feng, Y.; Yang, F.; Zhang, J. Removal of trace antibiotics from wastewater: A systematic study of nanofiltration combined with ozone-based advanced oxidation processes. Chem. Eng. J. 2014, 240, 211–220. [Google Scholar] [CrossRef]
- Banerjee, S.; Kumar, R.; Pal, P. Fermentative production of gluconic acid: A membrane-integrated Green process. J. Taiwan Inst. Chem. Eng. 2018, 84, 76–84. [Google Scholar] [CrossRef]
- Premachandra, A.; O’Brien, S.; Perna, N.; McGivern, J.; LaRue, R.; Latulippe, D.R. Treatment of complex multi-sourced industrial wastewater—New opportunities for nanofiltration membranes. Chem. Eng. Res. Des. 2021, 168, 499–509. [Google Scholar] [CrossRef]











| Name | Salicylic Acid (SA) | Acetylsalicylic Acid (ASA) | Amoxicillin (AMX) |
|---|---|---|---|
| Chemical structure | ![]() | ![]() | ![]() |
| CAS number | 69-72-7 | 50-78-2 | 26787-78-0 |
| Molar mass (g/mol) | 138.12 | 180.16 | 365.40 g/mol |
| Name | Tertacycline (hydrochloride) (TRC) | Diclofenac (DCF) sodium salt | Ibuprofen (IBU) Sodium salt |
| Chemical structure | ![]() | ![]() | ![]() |
| CAS number | 64-75-5 | 15307-79-6 | 31121-93-4 |
| Molar mass (g/mol) | 444.44 g/mol 480.90 g/mol with HCl | 318.14 g/mol | 228.26 g/mol |
| Characteristic | Type of Membrane | ||||||
|---|---|---|---|---|---|---|---|
| NF270 | NF90 | HL | NFX | DL | TS40 | TS80 | |
| Polymer | Piperazine polyamide [26,47] | Aromatic polyamide [26,47] | Piperazine polyamide [48,49] | Polyamide * | Modified piperazine polyamide [47] | Piperazine polyamide [26] | Aromatic polyamide [26] |
| pH range | 2–10 | 2–11 | 3–9 | 3–10 | 2–10 | 2–11 | 2–11 |
| MCWO (Da) | 200–400 | 200–400 | 150–300 | ~150–300 | ~150–300 | ~200 | ~150 |
| Retention MgSO4/NaCl | 99.2%/n.d. | 99.0%/n.d. | 98.0%/n.d. | 99%/40% | 98%/n.d. | 90.0%/40–60% | 99.0%/80–90% |
| Filtrate flux L/m2·h/MPa | 122–167/0.9 | 78–102/0.9 | 66/0.69 | 32–42/0.76 | 48/1.52 | 32/0.76 | 32.0.76 |
| Producent | Dow Filmtec | Dow Filmtec | GE Osmonics | Synder Filtration TM | GE Osmonics | TriSepTM | TriSepTM |
| Type of Membrane | Isoelectric POINT (IEP) | Zeta Potential in pH = 8.0 (mV) | Medium | Source |
|---|---|---|---|---|
| HL | ~3.3 | −15 | 1 mM KCl | [27] |
| ~3.7 | −20 | 10 mM KCl | [11] | |
| ~4.0 | −20 | 1 mM KCl | [50] | |
| 4.6 | −30 | 1 mM KCl | [26] | |
| 4–4.8 | −30 | 5 mM KCl | [28] | |
| ~4.0 | −7 | 10 mM KCl | [51] | |
| ~4.0 | −7 | 10 mM KCl | [52] | |
| 4.0 | −37 | 1 mM KCl | [53] | |
| ~4.3 | ~ −27 | 20 mM NaCl and 1 mM NaHCO3 | [54] | |
| ~4.0 | ~ −32 | 10 mM KCl | [11] | |
| NF90 | ~3.75 | ~ −20 | 10 mM KCl | [36] |
| NF270 | 2.5 | −52 | 1 mM KCl | [26] |
| 2.8–3 | −88 | 5 mM KCl | [28] | |
| 2.8 | −25 | 10 mM KCl | [51] | |
| 3.33 | ~ −80 | 1 mM KCl | [35] | |
| 2.9 | ~ 87 | 1 mM KCl | [53] | |
| 3.1 | ~30 | 10 mM KCl | [11] | |
| TS40 | 2.5 | −52 | 1 mM KCl | [26] |
| TS80 | 2.5 | −40 | 1 mM KCl | [26] |
| −14 (pH = 7.0) | 10 mM KCl | [42] | ||
| DL | <3.3 | ~−20 | 1 mM KCl | [27] |
| 3.69 | ~−56 | 1 mM KCl | [35] |
| Parameters of XPS Analysis | |
|---|---|
| XPS Analysis for the Full Range of Binding Energy (Widescan) from 1200 eV to 0 eV | High-Resolution XPS Analysis of Elemental Bands (Narrowscan) (Oxygen O 1s, Nitrogen: N 1s, Carbon: C 1s) |
| Anode power: 30 W | Anode power: 150 W |
| Spectrum resolution 1 eV | Spectrum resolution 0.1 eV |
| Scan numbers 2 | Scan numbers 3 |
| Pass Energy 160 eV | Pass Energy: 20 eV |
| Dwell Time 100 ms | Dwell Time 250 ms |
| Type Membrane | HL | DL | NF90 | NF270 | TS40 | TS80 | NFX | |
|---|---|---|---|---|---|---|---|---|
| Influence pH on flux | pH = 8.0 pH = 3.5 | ![]() | ----- | ![]() | ![]() | ![]() | ![]() | ----- |
| Flux increase (%) | 21.4% | 6.5% | 4% | 47% | 55% | |||
| Lp. | Type of Membrane | Contact Angle Θ, Deg | Surface Free Energy SFE, mJ/m2 | ||||
|---|---|---|---|---|---|---|---|
| ΘW | ΘF | ΘDIM | γLW | γAB | γ | ||
| 1 | Virgin Membrane HL | 59.0 ± 6.1 | 51.6 ± 5.2 | 34.8 ± 3.5 | 42.1 | 1.2 | 43.3 |
| 2 | Virgin Membrane TS40 | 28.7 ± 5.9 | 44.0 ± 4.6 | 31.5 ± 5.1 | 43.6 | 5.1 | 50.8 |
| 3 | Virgin Membrane TS80 | 53.4 ± 7.3 | 52.5 ± 6.7 | 32.9 ± 4.1 | 43.5 | 7.5 | 48.3 |
| 4 | Virgin Membrane NF90 | 34.0 ± 4.9 | 38.7 ± 2.8 | 29.1 ± 3.4 | 44.6 | 0.8 | 45.4 |
| 5 | Virgin Membrane NFX | 17.6 ± 2.8 | 40.5 ± 4.7 | 28.3 ± 3.9 | 44.9 | 8.1 | 53.0 |
| 6 | Virgin Membrane NF270 | 27.1 ± 0.8 | 29.6 ± 3.4 | 24.4 ± 1.1 | 46.4 | 3.1 | 49.5 |
| Relevant Peaks (cm−1) | HL | TS80 | NF90 | Characteristics |
|---|---|---|---|---|
| Peaks for polyamide top layer | ||||
| 1664 | - | + | - | Amide I band (C=O stretching—dominant contributor, C–N stretching, and C–C–N deformation vibration in a secondary amide group) [37,67] |
| 1630 | + | - | + | Amide I band (poli(piperazineamide)) [37] |
| 1545 | - | + | - | Amide II band (N–H in-plane bending and N–C stretching vibration of a –CO–NH– group) [37,67] |
| Peaks assignable to polysulfone | ||||
| 1487 1585 | + | + | + | Stretching vibrations in the plane of the aromatic ring [37,66] |
| 1350–1280 | + | + | + | Asymmetric stretching vibrations of the -SO2 groups [37,66] |
| 1245 | + | + | + | Asymmetric C-O-C bond vibration of the aryl-O-aryl group [37,66] |
| 1152 | + | + | + | Symmetrical vibrations stretching the -SO2 groups [37,66] |
| Membrane | Oxygen O (% at.) | Nitrogen N (% at.) | Carbon C (% at.) | O/N |
|---|---|---|---|---|
| HL | 16.00 ± 0.41 13.8 * | 11.29 ± 0.26 13.3 * | 72.71 ± 0.31 72.9 * | 1.42 ± 0.06 1.04 |
| TS80 | 16.11 ± 0.12 | 10.66 ± 0.07 | 73.24 ± 0.09 | 1.512 ± 0.19 |
| NF90 | 18.06 ± 0.25 14.0 * | 10.90 ± 0.12 12.1 * | 71.04 ± 0.22 73.9 * | 1.659 ± 0.035 1.16 |
| NF270 | 16.4 * 16.8 ** | 12.5 * 10.7 ** | 71.2 * 72.5 ** | 1.31 1.57 |
| DL | 15.4 * | 12.4 * | 72.3 * | 1.24 |
| Membrane | Component Participation (%) | ||
|---|---|---|---|
| C-C/C-H | C-O/C-N | C=O | |
| HL | 47.8 ± 0.7 | 36.6 ± 0.7 | 15.6 ± 0.13 |
| TS80 | 56.0 ± 1.0 | 30.0 ± 0.9 | 14.0 ± 0.15 |
| NF90 | 46.8 ± 0.2 | 36.9 ± 1.6 | 16.3 ± 0.2 |
Publisher’s Note: MDPI stays neutral with regard to jurisdictional claims in published maps and institutional affiliations. |
© 2022 by the authors. Licensee MDPI, Basel, Switzerland. This article is an open access article distributed under the terms and conditions of the Creative Commons Attribution (CC BY) license (https://creativecommons.org/licenses/by/4.0/).
Share and Cite
Żyłła, R.; Foszpańczyk, M.; Kamińska, I.; Kudzin, M.; Balcerzak, J.; Ledakowicz, S. Impact of Polymer Membrane Properties on the Removal of Pharmaceuticals. Membranes 2022, 12, 150. https://doi.org/10.3390/membranes12020150
Żyłła R, Foszpańczyk M, Kamińska I, Kudzin M, Balcerzak J, Ledakowicz S. Impact of Polymer Membrane Properties on the Removal of Pharmaceuticals. Membranes. 2022; 12(2):150. https://doi.org/10.3390/membranes12020150
Chicago/Turabian StyleŻyłła, Renata, Magdalena Foszpańczyk, Irena Kamińska, Marcin Kudzin, Jacek Balcerzak, and Stanisław Ledakowicz. 2022. "Impact of Polymer Membrane Properties on the Removal of Pharmaceuticals" Membranes 12, no. 2: 150. https://doi.org/10.3390/membranes12020150
APA StyleŻyłła, R., Foszpańczyk, M., Kamińska, I., Kudzin, M., Balcerzak, J., & Ledakowicz, S. (2022). Impact of Polymer Membrane Properties on the Removal of Pharmaceuticals. Membranes, 12(2), 150. https://doi.org/10.3390/membranes12020150












