Plant Polyphenol Pyrogallol and Polyamine-Based Co-Deposition for High-Efficiency Nanofiltration Membrane Preparation towards Inorganic Salt Removal
Abstract
1. Introduction
2. Materials and Methods
2.1. Materials
2.2. Preparation of PAN UF Membrane
2.3. Preparation of PG/Polyamine NF Membrane
2.4. Characterizations of PAN Membrane and PG/TEPA Membranes
2.5. Evaluation of Membrane Performances
3. Result and Discussion
3.1. Morphologies of PAN Membrane and PG/TEPA Membrane
3.2. Chemical Characterization of Membranes
3.3. Surface Properties of Membranes
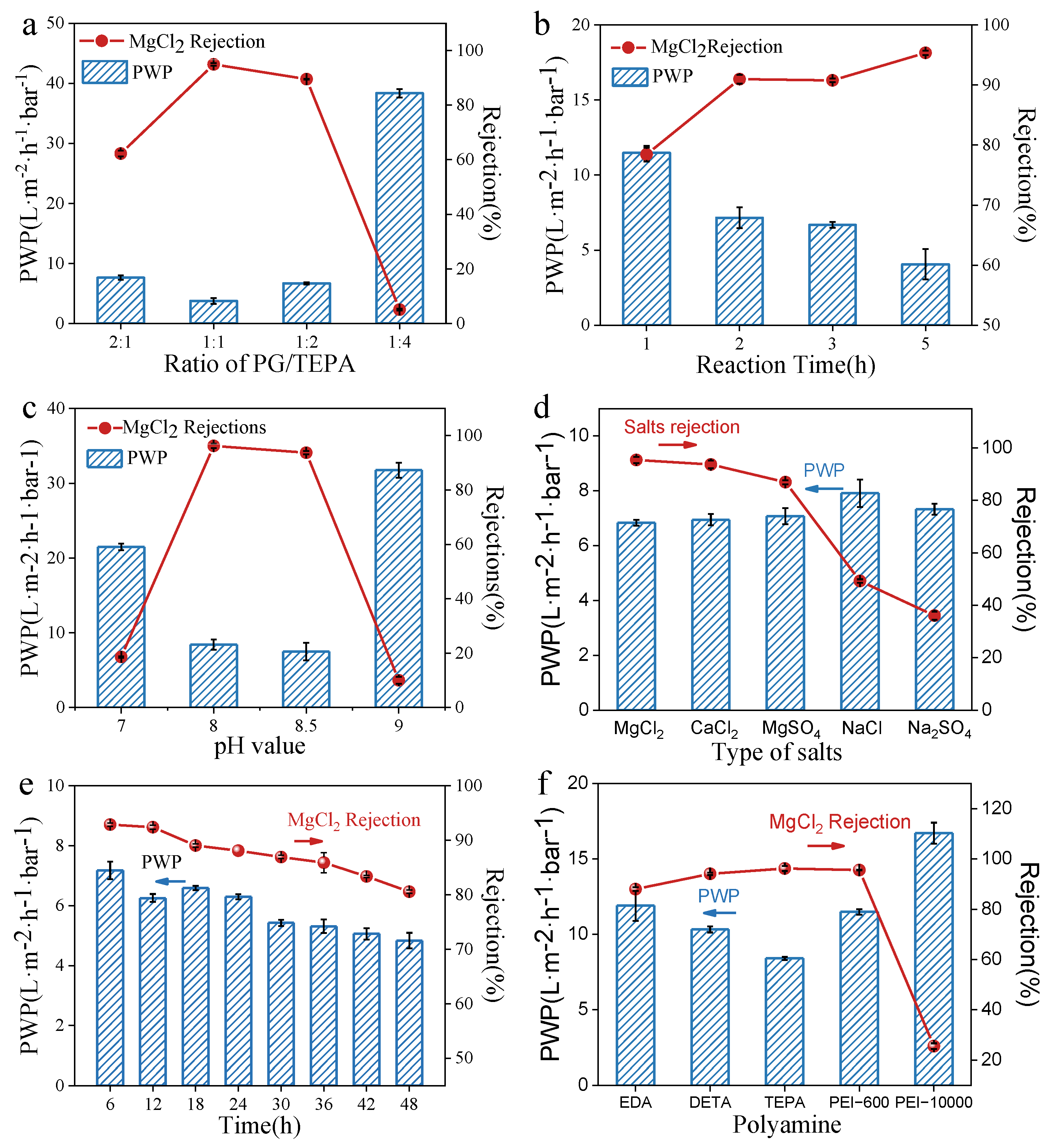
3.4. Nanofiltration Performance of Membranes
4. Conclusions
Author Contributions
Funding
Institutional Review Board Statement
Informed Consent Statement
Data Availability Statement
Conflicts of Interest
References
- Yang, H.Y.; Han, Z.J.; Yu, S.F.; Pey, K.L.; Ostrikov, K.; Karnik, R. Carbon nanotube membranes with ultrahigh specific adsorption capacity for water desalination and purification. Nat. Commun. 2013, 4, 2220. [Google Scholar] [CrossRef]
- Han, B.; Chakraborty, A. Highly efficient adsorption desalination employing protonated-amino-functionalized MOFs. Desalination 2022, 541, 116045. [Google Scholar] [CrossRef]
- Kim, M.; Choi, O.K.; Cho, Y.; Lee, J.W.; Cho, A.E. Elucidation of the desalination mechanism of solvent extraction method through molecular modeling studies. Desalination 2020, 496, 114704. [Google Scholar] [CrossRef]
- Lopes, A.R.; Wang, H.; Dong, J.; Han, J.; Hatakeyama, E.S.; Hoelen, T.P.; Lowry, G.V. Impact of polymer molecular weight on the efficiency of temperature swing solvent extraction for desalination of concentrated brines. Desalination 2022, 543, 116104. [Google Scholar] [CrossRef]
- Xia, P.; Wang, C.; He, Q.; Ye, Z.; Sirés, I. MOF-derived single-atom catalysts: The next frontier in advanced oxidation for water treatment. Chem. Eng. J. 2022, 452, 139446. [Google Scholar] [CrossRef]
- Saravanan, A.; Deivayanai, V.C.; Kumar, P.S.; Rangasamy, G.; Hemavathy, R.V.; Harshana, T.; Gayathri, N.; Alagumalai, K. A detailed review on advanced oxidation process in treatment of wastewater: Mechanism, challenges and future outlook. Chemosphere 2022, 308, 136524. [Google Scholar] [CrossRef]
- Gin, D.L.; Noble, R.D. Designing the Next Generation of Chemical Separation Membranes. Science 2011, 332, 674–676. [Google Scholar] [CrossRef] [PubMed]
- Ang, M.B.M.Y.; Trilles, C.A.; De Guzman, M.R.; Pereira, J.M.; Aquino, R.R.; Huang, S.-H.; Hu, C.-C.; Lee, K.-R.; Lai, J.-Y. Improved performance of thin-film nanocomposite nanofiltration membranes as induced by embedded polydopamine-coated silica nanoparticles. Sep. Purif. Technol. 2019, 224, 113–120. [Google Scholar] [CrossRef]
- Qin, D.; Huang, G.; Terada, D.; Jiang, H.; Ito, M.M.; Gibbons, A.H.; Igarashi, R.; Yamaguchi, D.; Shirakawa, M.; Sivaniah, E.; et al. Nanodiamond mediated interfacial polymerization for high performance nanofiltration membrane. J. Membr. Sci. 2020, 603, 118003. [Google Scholar] [CrossRef]
- Ye, W.; Ye, K.; Lin, F.; Liu, H.; Jiang, M.; Wang, J.; Liu, R.; Lin, J. Enhanced fractionation of dye/salt mixtures by tight ultrafiltration membranes via fast bio-inspired co-deposition for sustainable textile wastewater management. Chem. Eng. J. 2020, 379, 122321. [Google Scholar] [CrossRef]
- Zhang, P.; Liu, W.; Rajabzadeh, S.; Jia, Y.; Shen, Q.; Fang, C.; Kato, N.; Matsuyama, H. Modification of PVDF hollow fiber membrane by co-deposition of PDA/MPC-co-AEMA for membrane distillation application with anti-fouling and anti-scaling properties. J. Membr. Sci. 2021, 636, 119596. [Google Scholar] [CrossRef]
- Nguyen, C.M.; Bang, S.; Cho, J.; Kim, K.-W. Performance and mechanism of arsenic removal from water by a nanofiltration membrane. Desalination 2009, 245, 82–94. [Google Scholar] [CrossRef]
- Xu, Y.; You, F.; Sun, H.; Shao, L. Realizing Mussel-Inspired Polydopamine Selective Layer with Strong Solvent Resistance in Nanofiltration toward Sustainable Reclamation. ACS Sustain. Chem. Eng. 2017, 5, 5520–5528. [Google Scholar] [CrossRef]
- Wang, Z.; Yang, H.-C.; He, F.; Peng, S.; Li, Y.; Shao, L.; Darling, S.B. Mussel-Inspired Surface Engineering for Water-Remediation Materials. Matter 2019, 1, 115–155. [Google Scholar] [CrossRef]
- Xu, Y.C.; Wang, Z.X.; Cheng, X.Q.; Xiao, Y.C.; Shao, L. Positively charged nanofiltration membranes via economically mussel-substance-simulated co-deposition for textile wastewater treatment. Chem. Eng. J. 2016, 303, 555–564. [Google Scholar] [CrossRef]
- Xu, Y.; Guo, D.; Li, T.; Xiao, Y.; Shen, L.; Li, R.; Jiao, Y.; Lin, H. Manipulating the mussel-inspired co-deposition of tannic acid and amine for fabrication of nanofiltration membranes with an enhanced separation performance. J. Colloid Interface Sci. 2020, 565, 23–34. [Google Scholar] [CrossRef]
- Zhang, N.; Jiang, B.; Zhang, L.; Huang, Z.; Sun, Y.; Zong, Y.; Zhang, H. Low-pressure electroneutral loose nanofiltration membranes with polyphenol-inspired coatings for effective dye/divalent salt separation. Chem. Eng. J. 2019, 359, 1442–1452. [Google Scholar] [CrossRef]
- Qiu, W.-Z.; Lv, Y.; Du, Y.; Yang, H.-C.; Xu, Z.-K. Composite nanofiltration membranes via the co-deposition and cross-linking of catechol/polyethylenimine. RCS Adv. 2016, 6, 34096–34102. [Google Scholar] [CrossRef]
- Zhang, W.; Guo, D.; Li, Z.; Shen, L.; Li, R.; Zhang, M.; Jiao, Y.; Xu, Y.; Lin, H. A new strategy to accelerate co-deposition of plant polyphenol and amine for fabrication of antibacterial nanofiltration membranes by in-situ grown Ag nanoparticles. Sep. Purif. Technol. 2022, 280. [Google Scholar] [CrossRef]
- Zhang, C.; Lv, Y.; Qin, W.-Z.; He, A.; Xu, Z.-K. Polydopamine Coatings with Nanopores for Versatile Molecular Separation. ACS Appl. Mater. Interfaces 2017, 9, 14437–14444. [Google Scholar] [CrossRef]
- Lv, Y.; Du, Y.; Chen, Z.-X.; Qiu, W.-Z.; Xu, Z.-K. Nanocomposite membranes of polydopamine/electropositive nanoparticles/polyethyleneimine for nanofiltration. J. Membr. Sci. 2018, 545, 99–106. [Google Scholar] [CrossRef]
- Li, Z.; Zhang, W.; Tao, M.; Shen, L.; Li, R.; Zhang, M.; Jiao, Y.; Hong, H.; Xu, Y.; Lin, H. In-situ growth of UiO-66-NH2 in porous polymeric substrates at room temperature for fabrication of mixed matrix membranes with fast molecular separation performance. Chem. Eng.J. 2022, 435, 134804. [Google Scholar] [CrossRef]
- Xiao, Y.; Zhang, W.; Jiao, Y.; Xu, Y.; Lin, H. Metal-phenolic network as precursor for fabrication of metal-organic framework (MOF) nanofiltration membrane for efficient desalination. J. Membr. Sci. 2021, 624. [Google Scholar] [CrossRef]
- Xu, Y.C.; Tang, Y.P.; Liu, L.F.; Guo, Z.H.; Shao, L. Nanocomposite organic solvent nanofiltration membranes by a highly-efficient mussel-inspired co-deposition strategy. J. Membr. Sci. 2017, 526, 32–42. [Google Scholar] [CrossRef]
- Yang, H.-C.; Wu, M.-B.; Li, Y.-J.; Chen, Y.-F.; Wan, L.-S.; Xu, Z.-K. Effects of polyethyleneimine molecular weight and proportion on the membrane hydrophilization by codepositing with dopamine. J. Appl. Polym. Sci. 2016, 133. [Google Scholar] [CrossRef]
- Kuang, Y.; He, H.; Chen, S.; Wu, J.; Liu, F. Adsorption behavior of CO2 on amine-functionalized polyacrylonitrile fiber. Adsorption 2019, 25, 693–701. [Google Scholar] [CrossRef]
- Zhao, Y.; Liang, B.; Zhao, Z.; Feng, Q. Property and Structure Characterization of High Molecular Weight Polyacrylonitrile Polymers Initiated by 2,2′-Azobis (2-methyl propionamide) Dihydrochloride Using Aqueous Deposited Polymerization Technique. MATEC Web Conf. 2022, 358, 01028. [Google Scholar] [CrossRef]
- Zhu, J.; Yuan, S.; Uliana, A.; Hou, J.; Li, J.; Li, X.; Tian, M.; Chen, Y.; Volodin, A.; Van der Bruggen, B. High-flux thin film composite membranes for nanofiltration mediated by a rapid co-deposition of polydopamine/piperazine. J. Membr. Sci. 2018, 554, 97–108. [Google Scholar] [CrossRef]
- Chen, Y.-N.; Peng, L.; Liu, T.; Wang, Y.; Shi, S.; Wang, H. Poly(vinyl alcohol)-Tannic Acid Hydrogels with Excellent Mechanical Properties and Shape Memory Behaviors. ACS Appl. Mater. Interfaces 2016, 8, 27199–27206. [Google Scholar] [CrossRef]
- Li, J.; Yuan, S.; Zhu, J.; Van der Bruggen, B. High-flux, antibacterial composite membranes via polydopamine-assisted PEI-TiO2/Ag modification for dye removal. Chem. Eng. J. 2019, 373, 275–284. [Google Scholar] [CrossRef]
- Yang, H.-C.; Liao, K.-J.; Huang, H.; Wu, Q.-Y.; Wan, L.-S.; Xu, Z.-K. Mussel-inspired modification of a polymer membrane for ultra-high water permeability and oil-in-water emulsion separation. J. Mater. Chem. A 2014, 2, 10225–10230. [Google Scholar] [CrossRef]
- Li, Y.; Shi, S.; Cao, H.; Cao, R. Robust antifouling anion exchange membranes modified by graphene oxide (GO)-enhanced Co-deposition of tannic acid and polyethyleneimine. J. Membr. Sci. 2021, 625, 119111. [Google Scholar] [CrossRef]
- Qiu, W.-Z.; Wu, G.-P.; Xu, Z.-K. Robust Coatings via Catechol-Amine Codeposition: Mechanism, Kinetics, and Application. ACS Appl. Mater. Interfaces 2018, 10, 5902–5908. [Google Scholar] [CrossRef] [PubMed]
- Wu, M.B.; Fan, X.L.; Yang, H.C.; Yang, J.; Zhu, M.M.; Ren, K.F.; Ji, J.; Xu, Z.K. Ultrafast formation of pyrogallol/polyethyleneimine nanofilms for aqueous and organic nanofiltration. J. Membr. Sci. 2019, 570, 270–277. [Google Scholar] [CrossRef]
- Yuan, Y.; Guo, X.; Feng, L.; Yu, Q.; Lin, K.; Feng, T.; Yan, B.; Fedorovich, K.V.; Wang, N. Charge balanced anti-adhesive polyacrylamidoxime hydrogel membrane for enhancing uranium extraction from seawater. Chem. Eng. J. 2021, 421, 127878. [Google Scholar] [CrossRef]
- Qiu, W.-Z.; Yang, H.-C.; Wan, L.-S.; Xu, Z.-K. Co-deposition of catechol/polyethyleneimine on porous membranes for efficient decolorization of dye water. J. Mater. Chem. A 2015, 3, 14438–14444. [Google Scholar] [CrossRef]
- Guo, D.; Xiao, Y.; Li, T.; Zhou, Q.; Shen, L.; Li, R.; Xu, Y.; Lin, H. Fabrication of high-performance composite nanofiltration membranes for dye wastewater treatment: Mussel-inspired layer-by-layer self-assembly. J. Colloid Interface Sci. 2020, 560, 273–283. [Google Scholar] [CrossRef]
- Zhang, R.; Su, Y.; Zhao, X.; Li, Y.; Zhao, J.; Jiang, Z. A novel positively charged composite nanofiltration membrane prepared by bio-inspired adhesion of polydopamine and surface grafting of poly(ethylene imine). J. Membr. Sci. 2014, 470, 9–17. [Google Scholar] [CrossRef]








| Membrane * | Deposition Time (h) | Active Layer Thickness (nm) | Testing Time (h) | PWP (L m−2 h−1 bar−1) | MgCl2 Feed Concentration (mg/L) | MgCl2 Rejection (%) | Refs. |
|---|---|---|---|---|---|---|---|
| CCh/PEI-PAN | 6 | 130 | 2 | 2.60 | 2000 | 85.20 | [15] |
| TA/DETA-PAN | 12 | 450 | 1 | 4.50 | 2000 | 83.50 | [16] |
| EGCg/PEI-PES | 6 | 55 | 0.5 | 8.60 | 1000 | 33.00 | [17] |
| CCh/PEI/GA-PSF | 4 | 500 | 1 | 4.17 | 1000 | 88.00 | [18] |
| (TA/DETA/Ag)-PAN | 5 | 135 | 2 | 5.36 | 2000 | 86.5 | [19] |
| PDA-CuSO4/H2O2-PAN | 12 | 105 | 2 | 10 | 1000 | 52 | [20] |
| PDA/GNPs/PEI-PAN | 6 | 125 | 2 | 11 | 1000 | 90 | [21] |
| PG/TEPA-PAN | 2 | 35 | 1 | 8.43 | 1000 | 96.24 | This work |
Publisher’s Note: MDPI stays neutral with regard to jurisdictional claims in published maps and institutional affiliations. |
© 2022 by the authors. Licensee MDPI, Basel, Switzerland. This article is an open access article distributed under the terms and conditions of the Creative Commons Attribution (CC BY) license (https://creativecommons.org/licenses/by/4.0/).
Share and Cite
Wu, J.; Li, Z.; Zhou, Q.; Chigwidi, M.; Jiao, Y.; Xu, Y.; Lin, H. Plant Polyphenol Pyrogallol and Polyamine-Based Co-Deposition for High-Efficiency Nanofiltration Membrane Preparation towards Inorganic Salt Removal. Membranes 2022, 12, 1151. https://doi.org/10.3390/membranes12111151
Wu J, Li Z, Zhou Q, Chigwidi M, Jiao Y, Xu Y, Lin H. Plant Polyphenol Pyrogallol and Polyamine-Based Co-Deposition for High-Efficiency Nanofiltration Membrane Preparation towards Inorganic Salt Removal. Membranes. 2022; 12(11):1151. https://doi.org/10.3390/membranes12111151
Chicago/Turabian StyleWu, Jiawen, Zhiwen Li, Qingfeng Zhou, Mercy Chigwidi, Yang Jiao, Yanchao Xu, and Hongjun Lin. 2022. "Plant Polyphenol Pyrogallol and Polyamine-Based Co-Deposition for High-Efficiency Nanofiltration Membrane Preparation towards Inorganic Salt Removal" Membranes 12, no. 11: 1151. https://doi.org/10.3390/membranes12111151
APA StyleWu, J., Li, Z., Zhou, Q., Chigwidi, M., Jiao, Y., Xu, Y., & Lin, H. (2022). Plant Polyphenol Pyrogallol and Polyamine-Based Co-Deposition for High-Efficiency Nanofiltration Membrane Preparation towards Inorganic Salt Removal. Membranes, 12(11), 1151. https://doi.org/10.3390/membranes12111151

