Synthesis of Anion Exchange Membranes Containing PVDF/PES and Either PEI or Fumion®
Abstract
:1. Introduction
2. Experimental Section
2.1. Reagents
2.2. Membrane Preparation
2.2.1. Quaternization of PEI/PVDF Membranes
2.2.2. Alkaline Treatment of Membranes
2.3. Membrane Characterization
2.3.1. Fourier Transform Infrared (FT-IR) Spectroscopy
2.3.2. Scanning Electron Microscopy (SEM), Energy Dispersive Spectroscopy (EDS) and Atomic Force Microscopy (AFM)
2.3.3. Thermogravimetric Analysis (TGA)
2.3.4. Water Uptake (WU) and Swelling Ratio (SR)
2.3.5. Ion Exchange Capacity (IEC)
2.3.6. Hydroxide Ion Conductivity
2.3.7. Hydroxide Ion Exchange Rate (HIER)
2.3.8. Oxidative Stability of Membranes
3. Results and Discussion
3.1. Synthesized Membranes
3.2. FT-IR Analysis
3.3. Scanning Electron Microscope (SEM), Energy Dispersive Spectroscopy (EDS) and Atomic Force Microscope (AFM)
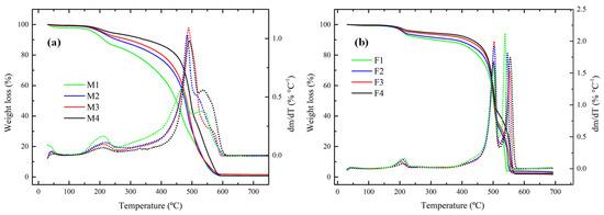
3.4. Thermogravimetric Analysis (TGA)
3.5. Water Uptake, Swelling Ratio, Ion Exchange Capacity and Hydroxide Conductivity
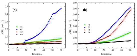
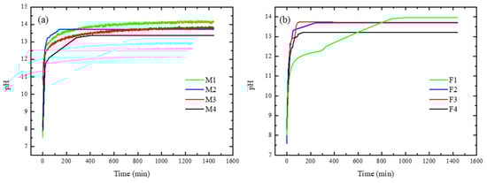
3.6. Hydroxide Ions Exchange Rate (HIER)
3.7. Oxidative Stability
4. Conclusions
Supplementary Materials
Author Contributions
Funding
Data Availability Statement
Acknowledgments
Conflicts of Interest
References
- Owusu, P.A.; Asumadu-Sarkodie, S. A Review of Renewable Energy Sources, Sustainability Issues and Climate Change Mitigation. Cogent Eng. 2016, 3, 1167990. [Google Scholar] [CrossRef]
- Abbasi, T.; Premalatha, M.; Abbasi, S.A. The Return to Renewables: Will It Help in Global Warming Control? Renew. Sustain. Energy Rev. 2011, 15, 891–894. [Google Scholar] [CrossRef]
- Peterson, T.C.; Connolley, W.M.; Fleck, J. The Myth of the 1970s Global Cooling Scientific Consensus. Bull. Am. Meteorol. Soc. 2008, 89, 1325–1337. [Google Scholar] [CrossRef]
- Yang, Z.; Zhang, J.; Kintner-Meyer, M.C.W.; Lu, X.; Choi, D.; Lemmon, J.P.; Liu, J. Electrochemical Energy Storage for Green Grid. Chem. Rev. 2011, 111, 3577–3613. [Google Scholar] [CrossRef] [PubMed]
- Sun, C.; Negro, E.; Vezzù, K.; Pagot, G.; Cavinato, G.; Nale, A.; Herve Bang, Y.; Di Noto, V. Hybrid Inorganic-Organic Proton-Conducting Membranes Based on SPEEK Doped with WO3 Nanoparticles for Application in Vanadium Redox Flow Batteries. Electrochim. Acta 2019, 309, 311–325. [Google Scholar] [CrossRef]
- Worighi, I.; Maach, A.; Hafid, A.; Hegazy, O.; Van Mierlo, J. Integrating Renewable Energy in Smart Grid System: Architecture, Virtualization and Analysis. Sustain. Energy Grids Netw. 2019, 18, 100226. [Google Scholar] [CrossRef]
- Razmjoo, A.; Gakenia Kaigutha, L.; Vaziri Rad, M.A.; Marzband, M.; Davarpanah, A.; Denai, M. A Technical Analysis Investigating Energy Sustainability Utilizing Reliable Renewable Energy Sources to Reduce CO2 Emissions in a High Potential Area. Renew. Energy 2021, 164, 46–57. [Google Scholar] [CrossRef]
- Sinsel, S.R.; Riemke, R.L.; Hoffmann, V.H. Challenges and Solution Technologies for the Integration of Variable Renewable Energy Sources—A Review. Renew. Energy 2020, 145, 2271–2285. [Google Scholar] [CrossRef]
- Ketter, W.; Collins, J.; Saar-Tsechansky, M.; Marom, O. Information Systems for a Smart Electricity Grid. ACM Trans. Manag. Inf. Syst. 2018, 9, 1–22. [Google Scholar] [CrossRef]
- Vidal-Amaro, J.J.; Østergaard, P.A.; Sheinbaum-Pardo, C. Optimal Energy Mix for Transitioning from Fossil Fuels to Renewable Energy Sources—The Case of the Mexican Electricity System. Appl. Energy 2015, 150, 80–96. [Google Scholar] [CrossRef]
- Ellabban, O.; Abu-Rub, H.; Blaabjerg, F. Renewable Energy Resources: Current Status, Future Prospects and Their Enabling Technology. Renew. Sustain. Energy Rev. 2014, 39, 748–764. [Google Scholar] [CrossRef]
- Chen, H.; Cong, T.N.; Yang, W.; Tan, C.; Li, Y.; Ding, Y. Progress in Electrical Energy Storage System: A Critical Review. Prog. Nat. Sci. 2009, 19, 291–312. [Google Scholar] [CrossRef]
- Vazquez, S.; Lukic, S.; Galvan, E.; Franquelo, L.; Carrasco, J.; Leon, J. Recent Advances on Energy Storage Systems. In Proceedings of the IECON 2011—37th Annual Conference of the IEEE Industrial Electronics, Melbourne, VIC, Australia, 7–10 November 2011; IEEE: New York, NY, USA, 2012; pp. 4636–4640. [Google Scholar]
- Ibrahim, H.; Ilinca, A.; Perron, J. Energy Storage Systems-Characteristics and Comparisons. Renew. Sustain. Energy Rev. 2008, 12, 1221–1250. [Google Scholar] [CrossRef]
- Wang, Y.-J.; Qiao, J.; Baker, R.; Zhang, J. Alkaline Polymer Electrolyte Membranes for Fuel Cell Applications. Chem. Soc. Rev. 2013, 42, 5768–5786. [Google Scholar] [CrossRef]
- Merle, G.; Wessling, M.; Nijmeijer, K. Anion Exchange Membranes for Alkaline Fuel Cells: A Review. J. Memb. Sci. 2011, 377, 1–35. [Google Scholar] [CrossRef]
- Brouzgou, A.; Podias, A.; Tsiakaras, P. PEMFCs and AEMFCs Directly Fed with Ethanol: A Current Status Comparative Review. J. Appl. Electrochem. 2013, 43, 119–136. [Google Scholar] [CrossRef]
- Firouzjaie, H.A.; Mustain, W.E. Catalytic Advantages, Challenges, and Priorities in Alkaline Membrane Fuel Cells. ACS Catal. 2020, 10, 225–234. [Google Scholar] [CrossRef]
- Gutru, R.; Turtayeva, Z.; Xu, F.; Maranzana, G.; Vigolo, B.; Desforges, A. A Comprehensive Review on Water Management Strategies and Developments in Anion Exchange Membrane Fuel Cells. Int. J. Hydrogen Energy 2020, 45, 19642–19663. [Google Scholar] [CrossRef]
- Ziv, N.; Mustain, W.E.; Dekel, D.R. The Effect of Ambient Carbon Dioxide on Anion-Exchange Membrane Fuel Cells. ChemSusChem 2018, 11, 1136–1150. [Google Scholar] [CrossRef]
- Das, G.; Choi, J.-H.; Nguyen, P.K.T.; Kim, D.-J.; Yoon, Y.S. Anion Exchange Membranes for Fuel Cell Application: A Review. Polymers 2022, 14, 1197. [Google Scholar] [CrossRef]
- Maurya, S.; Shin, S.-H.; Kim, Y.; Moon, S.-H. A Review on Recent Developments of Anion Exchange Membranes for Fuel Cells and Redox Flow Batteries. RSC Adv. 2015, 5, 37206–37230. [Google Scholar] [CrossRef]
- Iravaninia, M.; Azizi, S.; Rowshanzamir, S. A Comprehensive Study on the Stability and Ion Transport in Cross-Linked Anion Exchange Membranes Based on Polysulfone for Solid Alkaline Fuel Cells. Int. J. Hydrogen Energy 2017, 42, 17229–17241. [Google Scholar] [CrossRef]
- Ran, J.; Wu, L.; He, Y.; Yang, Z.; Wang, Y.; Jiang, C.; Ge, L.; Bakangura, E.; Xu, T. Ion Exchange Membranes: New Developments and Applications. J. Memb. Sci. 2017, 522, 267–291. [Google Scholar] [CrossRef]
- Arges, C.G.; Zhang, L. Anion Exchange Membranes Evolution toward High Hydroxide Ion Conductivity and Alkaline Resiliency. ACS Appl. Energy Mater. 2018, 1, 2991–3012. [Google Scholar] [CrossRef]
- Kirubakaran, A.; Jain, S.; Nema, R.K. A Review on Fuel Cell Technologies and Power Electronic Interface. Renew. Sustain. Energy Rev. 2009, 13, 2430–2440. [Google Scholar] [CrossRef]
- Dekel, D.R. Review of Cell Performance in Anion Exchange Membrane Fuel Cells. J. Power Sources 2018, 375, 158–169. [Google Scholar] [CrossRef]
- Zhiani, M.; Rostami, H.; Majidi, S.; Karami, K. Bis (Dibenzylidene Acetone) Palladium (0) Catalyst for Glycerol Oxidation in Half Cell and in Alkaline Direct Glycerol Fuel Cell. Int. J. Hydrogen Energy 2013, 38, 5435–5441. [Google Scholar] [CrossRef]
- Tanaka, M.; Fukasawa, K.; Nishino, E.; Yamaguchi, S.; Yamada, K.; Tanaka, H.; Bae, B.; Miyatake, K.; Watanabe, M. Anion Conductive Block Poly(Arylene Ether)s: Synthesis, Properties, and Application in Alkaline Fuel Cells. J. Am. Chem. Soc. 2011, 133, 10646–10654. [Google Scholar] [CrossRef]
- Tran, K.; Nguyen, T.Q.; Bartrom, A.M.; Sadiki, A.; Haan, J.L. A Fuel-Flexible Alkaline Direct Liquid Fuel Cell. Fuel Cells 2014, 14, 834–841. [Google Scholar] [CrossRef]
- Zhao, Y.; Setzler, B.P.; Wang, J.; Nash, J.; Wang, T.; Xu, B.; Yan, Y. An Efficient Direct Ammonia Fuel Cell for Affordable Carbon-Neutral Transportation. Joule 2019, 3, 2472–2484. [Google Scholar] [CrossRef]
- Ma, Y.; Ma, C.; Wang, Y.; Wang, K. Advanced Nickel-Based Catalysts for Urea Oxidation Reaction: Challenges and Developments. Catalysts 2022, 12, 337. [Google Scholar] [CrossRef]
- Anaya-Castro, F.d.J.; Beltrán-Gastélum, M.; Morales Soto, O.; Pérez-Sicairos, S.; Lin, S.W.; Trujillo-Navarrete, B.; Paraguay-Delgado, F.; Salazar-Gastélum, L.J.; Romero-Castañón, T.; Reynoso-Soto, E.; et al. Ultra-Low Pt Loading in PtCo Catalysts for the Hydrogen Oxidation Reaction: What Role Do Co Nanoparticles Play? Nanomaterials 2021, 11, 3156. [Google Scholar] [CrossRef]
- Liu, J.; Yao, J.; Chan, K. Fabrication of Porous Polymer Particles with High Anion Exchange Capacity by Amination Reaction in Aqueous Medium. Green Chem. 2006, 11, 386–389. [Google Scholar] [CrossRef]
- Park, H.J.; Lee, S.Y.; Lee, T.K.; Kim, H.-J.; Lee, Y.M. N3-Butyl Imidazolium-Based Anion Exchange Membranes Blended with Poly(Vinyl Alcohol) for Alkaline Water Electrolysis. J. Membr. Sci. 2020, 611, 118355. [Google Scholar] [CrossRef]
- Niu, M.; Zhang, C.; He, G.; Zhang, F.; Wu, X. Pendent Piperidinium-Functionalized Blend Anion Exchange Membrane for Fuel Cell Application. Int. J. Hydrogen Energy 2019, 44, 15482–15493. [Google Scholar] [CrossRef]
- Morandi, C.G.; Peach, R.; Krieg, H.M.; Kerres, J. Novel Morpholinium-Functionalized Anion-Exchange PBI–Polymer Blends. J. Mater. Chem. A 2015, 3, 1110–1120. [Google Scholar] [CrossRef]
- Konovalova, A.; Kim, H.; Kim, S.; Lim, A.; Park, H.S.; Kraglund, M.R.; Aili, D.; Jang, J.H.; Kim, H.-J.; Henkensmeier, D. Blend Membranes of Polybenzimidazole and an Anion Exchange Ionomer (FAA3) for Alkaline Water Electrolysis: Improved Alkaline Stability and Conductivity. J. Membr. Sci. 2018, 564, 653–662. [Google Scholar] [CrossRef]
- Jung, M.; Lee, W.; Noh, C.; Konovalova, A.; Yi, G.S.; Kim, S.; Kwon, Y.; Henkensmeier, D. Blending Polybenzimidazole with an Anion Exchange Polymer Increases the Efficiency of Vanadium Redox Flow Batteries. J. Membr. Sci. 2019, 580, 110–116. [Google Scholar] [CrossRef]
- Msomi, P.; Nonjola, P.; Ndungu, P.; Ramontja, J. Quaternized Poly (2,6 Dimethyl–1,4 Phenylene Oxide)/Polysulfone Blended Anion Exchange Membrane for Alkaline Fuel Cells Application. Mater. Today Proc. 2018, 5, 10496–10504. [Google Scholar] [CrossRef]
- Lee, N.; Duong, D.T.; Kim, D. Cyclic Ammonium Grafted Poly (Arylene Ether Ketone) Hydroxide Ion Exchange Membranes for Alkaline Water Electrolysis with High Chemical Stability and Cell Efficiency. Electrochim. Acta 2018, 271, 150–157. [Google Scholar] [CrossRef]
- Eyal, A.M.; Canari, R. PH Dependence of Carboxylic and Mineral Acid Extraction by Amine-Based Extractants: Effects of PKa, Amine Basicity, and Diluent Properties. Ind. Eng. Chem. Res. 1995, 34, 1789–1798. [Google Scholar] [CrossRef]
- Quiñonez-Angulo, P.; Hutchinson, R.A.; Licea-Claveríe, Á.; Saldívar-Guerra, E.; Zapata-González, I. The Influences of Monomer Structure and Solvent on the Radical Copolymerization of Tertiary Amine and PEGylated Methacrylates. Polym. Chem. 2021, 12, 5289–5302. [Google Scholar] [CrossRef]
- García-Limón, B.Y.; Salazar-Gastélum, M.I.; Lin, S.W.; Calva-Yañez, J.C.; Pérez-Sicairos, S. Preparation and Characterization of PVFD/PES/Nafion® 117 Membranes with Potential Application in Vanadium Redox Flow Batteries. Rev. Mex. Ing. Química 2019, 18, 477–486. [Google Scholar] [CrossRef]
- Villafaña-López, L.; Reyes-valadez, D.M.; González-vargas, O.A. Custom-Made Ion Exchange Membranes at Laboratory Scale for Reverse Electrodialysis. Membranes 2019, 9, 145. [Google Scholar] [CrossRef]
- Kim, J.-D.; Ohira, A.; Nakao, H. Chemically Crosslinked Sulfonated Polyphenylsulfone (CSPPSU) Membranes for PEM Fuel Cells. Membranes 2020, 10, 31. [Google Scholar] [CrossRef]
- Lu, X.; Peng, Y.; Qiu, H.; Liu, X.; Ge, L. Anti-fouling membranes by manipulating surface wettability and their anti-fouling mechanism. Desalination 2017, 413, 127–135. [Google Scholar] [CrossRef]
- Moarefian, A.; Golestani, H.A.; Bahmanpour, H. Removal of amoxicillin from wastewater by self-made Polyethersulfone membrane using nanofiltration. J. Environ. Health Sci. Eng. 2014, 12, 127. [Google Scholar] [CrossRef] [PubMed]
- Ma, Y.; Liu, W.-J.; Zhang, N.; Li, Y.-S.; Jiang, H.; Sheng, G.-P. Polyethylenimine modified biochar adsorbent for hexavalent chromium removal from the aqueous solution. Bioresour. Technol. 2014, 169, 403–408. [Google Scholar] [CrossRef]
- Lai, C.Y.; Groth, A.; Gray, S.; Duke, M. Investigation of the Dispersion of Nanoclays into PVDF for Enhancement of Physical Membrane Properties. Desalin. Water Treat. 2011, 34, 251–256. [Google Scholar] [CrossRef]
- Xu, X.; Song, C.; Andresen, J.M.; Miller, B.G.; Scaroni, A.W. Novel Polyethylenimine-Modified Mesoporous Molecular Sieve of MCM-41 Type as High-Capacity Adsorbent for CO2 Capture. Energy Fuels 2002, 16, 1463–1469. [Google Scholar] [CrossRef]
- Reyes-Aguilera, J.A.; Villafaña-López, L.; Rentería-Martínez, E.C.; Anderson, S.M.; Jaime-Ferrer, J.S. Electrospinning of Polyepychlorhydrin and Polyacrylonitrile Anionic Exchange Membranes for Reverse Electrodialysis. Membranes 2021, 11, 717. [Google Scholar] [CrossRef]
- Kaczur, J.J.; Yang, H.; Liu, Z.; Sajjad, S.D.; Masel, R.I. Carbon Dioxide and Water Electrolysis Using New Alkaline Stable Anion Membranes. Front. Chem. 2018, 6, 263. [Google Scholar] [CrossRef] [PubMed]
- Jheng, L.-C.; Hsu, S.L.-C.; Lin, B.-Y.; Hsu, Y.-L. Quaternized Polybenzimidazoles with Imidazolium Cation Moieties for Anion Exchange Membrane Fuel Cells. J. Membr. Sci. 2014, 460, 160–170. [Google Scholar] [CrossRef]
- Khan, M.I.; Zheng, C.; Mondal, A.N.; Hossain, M.M.; Wu, B.; Emmanuel, K.; Wu, L.; Xu, T. Preparation of Anion Exchange Membranes from BPPO and Dimethylethanolamine for Electrodialysis. Desalination 2017, 402, 10–18. [Google Scholar] [CrossRef]
- Gohil, J.M.; Dutta, K. Structures and Properties of Polymers in Ion Exchange Membranes for Hydrogen Generation by Water Electrolysis. Polym. Adv. Technol. 2021, 32, 4598–4615. [Google Scholar] [CrossRef]
- Oh, B.H.; Kim, A.R.; Yoo, D.J. Profile of Extended Chemical Stability and Mechanical Integrity and High Hydroxide Ion Conductivity of Poly(Ether Imide) Based Membranes for Anion Exchange Membrane Fuel Cells. Int. J. Hydrogen Energy 2019, 44, 4281–4292. [Google Scholar] [CrossRef]
- Zhang, X.; Shi, Q.; Chen, P.; Zhou, J.; Li, S.; Xu, H.; Chen, X.; An, Z. Block Poly(Arylene Ether Sulfone) Copolymers Tethering Aromatic Side-Chain Quaternary Ammonium as Anion Exchange Membranes. Polym. Chem. 2018, 9, 699–711. [Google Scholar] [CrossRef]














| Name | Chemical Composition | Thickness (μm) | Name | Chemical Composition | Thickness (μm) |
|---|---|---|---|---|---|
| M1 | PVDF 10%/PES 0%/PEI 6% | 60 | F1 | PVDF 10%/PES 0%/Fumion® 6% | 36 |
| M2 | PVDF 10%/PES 1%/PEI 5% | 30 | F2 | PVDF 10%/PES 1%/Fumion® 5% | 36 |
| M3 | PVDF 10%/PES 2%/PEI 4% | 41 | F3 | PVDF 10%/PES 2%/Fumion® 4% | 54 |
| M4 | PVDF 10%/PES 3%/PEI 3% | 35 | F4 | PVDF 10%/PES 3%/Fumion® 3% | 35 |
| Membrane | N (at.%) | F (at.%) | C (at.%) | N/F | N/C | Membrane | N (at.%) | F (at.%) | C (at.%) | N/F | N/C |
|---|---|---|---|---|---|---|---|---|---|---|---|
| M1 | 22.44 | 17.38 | 56.58 | 1.29 | 0.40 | F1 | 17.61 | 10.46 | 62.14 | 1.68 | 0.28 |
| M2 | 22.75 | 15.00 | 56.88 | 1.51 | 0.40 | F2 | 17.51 | 9.00 | 62.63 | 1.95 | 0.28 |
| M3 | 21.72 | 14.85 | 56.74 | 1.46 | 0.38 | F3 | 16.89 | 10.61 | 62.23 | 1.59 | 0.27 |
| M4 | 21.16 | 15.51 | 58.22 | 1.36 | 0.36 | F4 | 15.78 | 10.41 | 62.51 | 1.51 | 0.25 |
| Membrane | IEC (meq g−1) | σ (mS cm−1) | ER (Ω cm2) | Ref. |
|---|---|---|---|---|
| M1 | 0.316 | 1.538 | 2.005 a [52] | This work |
| M2 | 0.076 | 0.345 | 7.263 a | |
| M3 | 0.044 | 0.522 | 7.101 a | |
| M4 | 0.034 | 0.927 | 3.886 a | |
| F1 | 0.144 | 1.419 | 2.533 a | |
| F2 | 0.080 | 0.615 | 5.8555 a | |
| F3 | 0.050 | 0.237 | 21.062 a | |
| F4 | 0.049 | 0.004 | 875.895 a | |
| Polybenzimidazol | 0.960 | 0.91 | 8.300 | [53,54] |
| Neosepta | 1.250 | b | >50.000 | [53,55] |
| Sustainion 37–50 | b | 0.080 | 0.045 | [53,56] |
| AMI-7001 | 6.000 | 1.300 | 2.000 | [53,57] |
| Membrane | HIER () |
|---|---|
| M1 | 7.45 × 1016 |
| M2 | 1.56 × 1016 |
| M3 | 8.56 × 1016 |
| M4 | 1.68 × 1015 |
| F1 | 1.26 × 1015 |
| F2 | 6.27 × 1015 |
| F3 | 4.59 × 1015 |
| F4 | 2.58 × 1015 |
| FUMAPEM® | 7.53 × 1015 |
Publisher’s Note: MDPI stays neutral with regard to jurisdictional claims in published maps and institutional affiliations. |
© 2022 by the authors. Licensee MDPI, Basel, Switzerland. This article is an open access article distributed under the terms and conditions of the Creative Commons Attribution (CC BY) license (https://creativecommons.org/licenses/by/4.0/).
Share and Cite
Salazar-Gastelum, L.J.; Garcia-Limon, B.Y.; Lin, S.W.; Calva-Yañez, J.C.; Zizumbo-Lopez, A.; Romero-Castañón, T.; Salazar-Gastelum, M.I.; Pérez-Sicairos, S. Synthesis of Anion Exchange Membranes Containing PVDF/PES and Either PEI or Fumion®. Membranes 2022, 12, 959. https://doi.org/10.3390/membranes12100959
Salazar-Gastelum LJ, Garcia-Limon BY, Lin SW, Calva-Yañez JC, Zizumbo-Lopez A, Romero-Castañón T, Salazar-Gastelum MI, Pérez-Sicairos S. Synthesis of Anion Exchange Membranes Containing PVDF/PES and Either PEI or Fumion®. Membranes. 2022; 12(10):959. https://doi.org/10.3390/membranes12100959
Chicago/Turabian StyleSalazar-Gastelum, Luis Javier, Brenda Yazmin Garcia-Limon, Shui Wai Lin, Julio Cesar Calva-Yañez, Arturo Zizumbo-Lopez, Tatiana Romero-Castañón, Moises Israel Salazar-Gastelum, and Sergio Pérez-Sicairos. 2022. "Synthesis of Anion Exchange Membranes Containing PVDF/PES and Either PEI or Fumion®" Membranes 12, no. 10: 959. https://doi.org/10.3390/membranes12100959
APA StyleSalazar-Gastelum, L. J., Garcia-Limon, B. Y., Lin, S. W., Calva-Yañez, J. C., Zizumbo-Lopez, A., Romero-Castañón, T., Salazar-Gastelum, M. I., & Pérez-Sicairos, S. (2022). Synthesis of Anion Exchange Membranes Containing PVDF/PES and Either PEI or Fumion®. Membranes, 12(10), 959. https://doi.org/10.3390/membranes12100959

