Novel Side-Chain Type Sulfonated Poly(phenylquinoxaline) Proton Exchange Membranes for Direct Methanol Fuel Cells
Abstract
1. Introduction
2. Materials and Methods
2.1. Materials
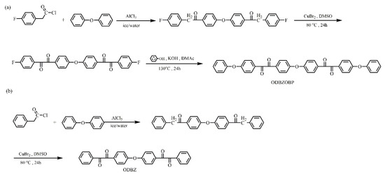
2.2. Monomer Synthesis
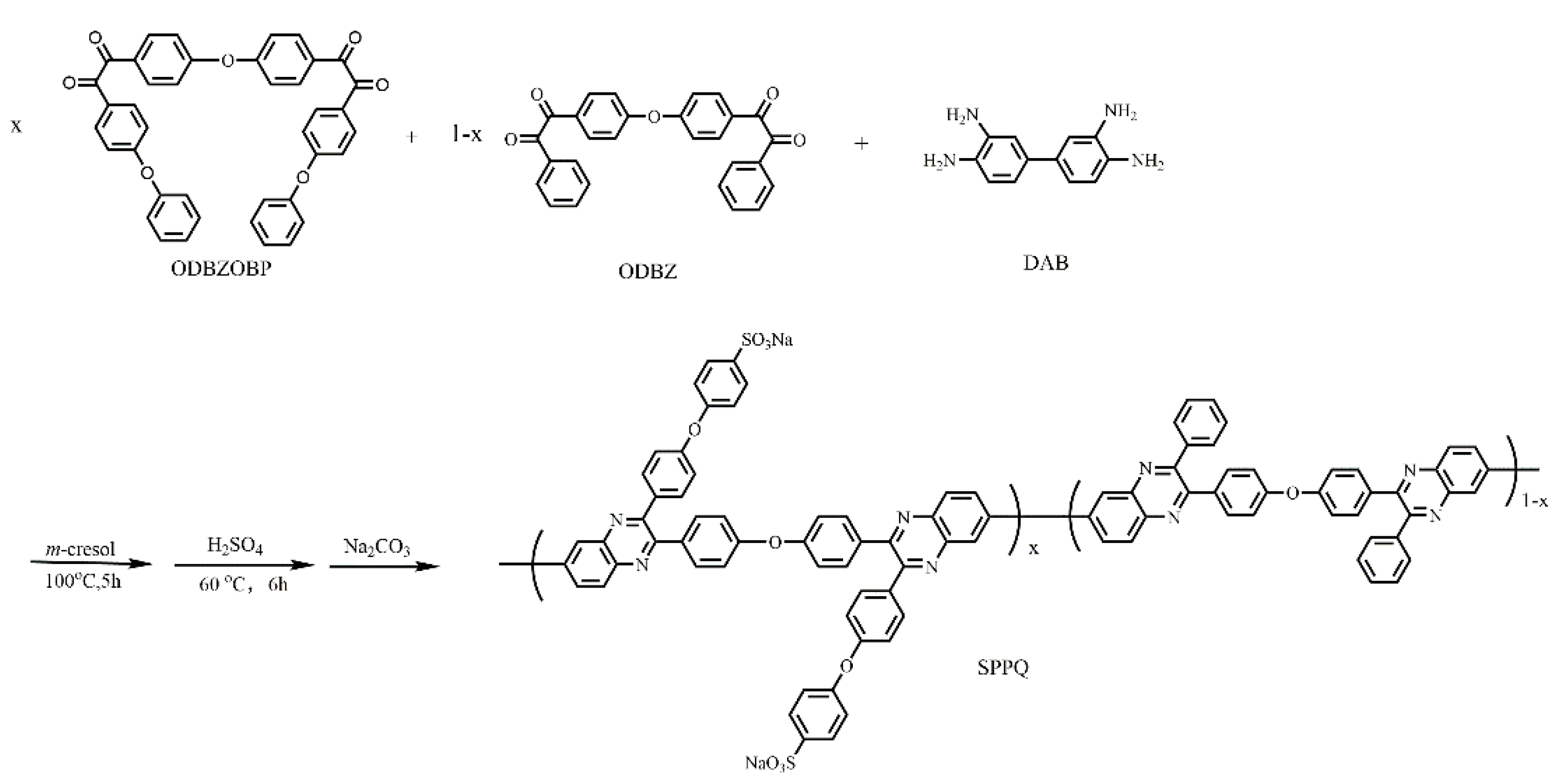
2.3. Polymer Synthesis
2.4. Membrane Formation
2.5. Measurements
3. Results and Discussion
3.1. Characterization of monomers
3.2. Characterization of Polymers
3.3. Ionic Exchange Capacity
3.4. Water Uptake and Size Change
3.5. Thermal Properties, Mechanical Properties and Oxidative Stability
3.6. Proton Conductivity
3.7. DMFC Performance
4. Conclusions
Author Contributions
Funding
Institutional Review Board Statement
Data Availability Statement
Conflicts of Interest
Patents
References
- Wang, S.Y.; Jiang, S.P. Prospects of fuel cell technologies. Natl. Sci. Rev. 2017, 4, 163–166. [Google Scholar] [CrossRef]
- Mukherjee, R.; Banerjee, S.; Komber, H. Carboxylic acid functionalized fluorinated sulfonated poly (arylene ether sulfone) copolymers with enhanced oxidative stability. J. Membr. Sci. 2016, 510, 497–509. [Google Scholar] [CrossRef]
- Min, C.; Lee, S.; Ahn, M. Preparation of polymer electrolyte membranes based on poly (phenylene oxide) with different side chain lengths of phosphonic acid. J. Polym. Sci. Part A Polym Chem. 2019, 57, 1180–1188. [Google Scholar] [CrossRef]
- Parcero, E.; Herrera, R.; Nunes, S.P. Phosphonated and sulfonated polyhphenylsulfone membranes for fuel cell application. J. Membr. Sci. 2006, 285, 206–213. [Google Scholar] [CrossRef]
- Kusoglu, A.; Weber, A.Z. New insights into perfluorinated sulfonic-acid ionomers. Chem. Rev. 2017, 117, 987–1104. [Google Scholar] [CrossRef]
- Ma, J.; Ni, H.J.; Su, D.Y. The research status of Nafion ternary composite membrane. Int. J. Hydrogen Energy 2012, 37, 13185–13190. [Google Scholar] [CrossRef]
- Christiani, L.; Sasaki, K.; Nishihara, M. Aliphatic SPI charge-transfer complex hybrid films for high temperature polymer electrolyte membrane fuel cells. J. Appl. Polym. Sci. 2018, 135, 46087. [Google Scholar] [CrossRef]
- Gindt, B.P.; Tang, Z.; Watkins, D.L. Effects of sulfonated side chains used in polysulfone based PEMs for VRFB separator. J. Membr. Sci. 2017, 532, 58–67. [Google Scholar] [CrossRef]
- Shao, Z.; Zhao, C. Poly (ether ether ketone) grafted with sulfoalkylamine as proton exchange membrane. High Perform. Polym. 2018, 31, 528–537. [Google Scholar] [CrossRef]
- Zhang, W.; Chen, S.; Chen, D. Sulfonated binaphthyl-containing poly (arylene ether ketone)s with rigid backbone and excellent film-forming capability for proton exchange membranes. Polymers 2018, 10, 1287. [Google Scholar] [CrossRef] [PubMed]
- Jang, S.; Yoon, Y.G.; Lee, Y.S. One-step fabrication and characterization of reinforced microcomposite membranes for polymer electrolyte membrane fuel cells. J. Membr. Sci. 2018, 563, 896–902. [Google Scholar] [CrossRef]
- Hergenrother, P.M. Polyphenylquinoxalines: Synthesis, characterization, and mechanical properties. J. Appl. Polym. Sci. 1974, 18, 1779–1791. [Google Scholar] [CrossRef]
- Bae, J.M.; Honma, I.; Murata, M.; Yamamotoet, T. Properties of selected sulfonated polymers as proton-conducting electrolytes for polymer electrolyte fuel cells. Solid State Ion 2002, 147, 189–194. [Google Scholar] [CrossRef]
- Belomoina, N.M.; Bulycheva, E.G.; Pisarev, R.V. Sulfonated polyphenylquinoxalines: Synthesis, thermal stability, and proton conductivity. Polym Sci Ser C+ 2020, 62, 222–230. [Google Scholar] [CrossRef]
- Zhang, C.; Lai, Z.G.; Lu, F.C. Conducting polyphenylquinoxaline. Polymer 1991, 32, 3075–3079. [Google Scholar]
- Kopitzke, R.W.; Linkous, C.A.; Nelson, G.L. Sulfonation of a poly(phenylquinoxaline) film. J. Polym. Sci. Part A Polym Chem. 1998, 36, 1197–1199. [Google Scholar] [CrossRef]
- Kopitzke, R.W.; Linkous, C.A.; Anderson, H.R.; Nelson, G.L. Thermal stability of high temperature polymers and their sulfonated derivatives under inert and saturated vapor conditions. Polym. Degrad. Stab. 2000, 67, 335–344. [Google Scholar] [CrossRef]
- Rusanov, A.L.; Belomoina, N.M.; Bulycheva, E.G. Preparation and characterization of sulfonated polyphenylquinoxalines. High Perform. Polym. 2008, 20, 627–641. [Google Scholar] [CrossRef]
- Li, C.; Li, Z.; Liu, J.G.; Yang, H.X. Multi-Methyl-Substituted polyphenylquinoxalines with high solubility and high glass transition temperatures: Synthesis and characterization. J. Macromol. Sci. Pure Appl. Chem. 2010, 47, 248–253. [Google Scholar] [CrossRef]
- Gong, F.X.; Li, N.W.; Zhang, S.B. Synthesis and properties of novel sulfonated poly(phenylquinoxaline)s as proton exchange membranes. Polymer 2009, 50, 6001–6008. [Google Scholar] [CrossRef]
- Liu, L.; Chen, K.C. Post-sulfonation for precisely controllable preparation of main-chain type sulfonated poly(phenylquinoxaline)s and their properties for proton exchange membrane. Acta Polym. Sin. 2020, 51, 393–402. [Google Scholar]
- Buzin, M.I.; Bulycheva, E.G.; Belomoina, N.M.; Nikiforova, G.G.; Volkov, I.O.; Shchegolikhin, A.N.; Bedin, S.A. Sulfonated films of polyphenylquinoxaline. preparation and properties. Dokl Phys. Chem. 2021, 500, 97–100. [Google Scholar] [CrossRef]
- Wang, C.Y.; Li, N.; Shin, D.W. Fluorene-Based poly(arylene ether sulfone)s containing clustered flexible pendant sulfonic acids as proton exchange membranes. Macromolecules 2011, 44, 7296–7306. [Google Scholar] [CrossRef]
- Yuan, D.; Qin, Y.J.; Li, S.S.; Du, S.H.; Xu, Y.Y.; Weng, Q.; Chen, P.; Chen, X.B.; An, Z.W. Improved performance of novel sulfonated poly(arylene ether sulfone) copolymer via tethering densely sulfonated pendant groups. J. Power Sources 2021, 484, 229265. [Google Scholar] [CrossRef]
- Sutradhar, S.C.; Yoon, S.; Ryu, T.; Zhang, W.; Kim, H.; Jang, H. Branched sulfonimide-based proton exchange polymer membranes from poly(phenylenebenzopheneone)s for fuel cell applications. Membranes 2021, 11, 168. [Google Scholar] [CrossRef]
- Xiao, L.; Chen, X.; Xu, J.J.; Chen, K.C.; Fang, J.H. Synthesis and properties of novel side-chain sulfonated poly (arylene ether sulfone)s for proton exchange membranes. J. Polym. Sci. Part A Polym. Chem. 2019, 57, 2304–2313. [Google Scholar] [CrossRef]
- Roziere, J.; Jones, D.J.; Marrony, M.; Glipa, X. On the doping of sulfonated polybenzimidazole with strong bases. Solid State Ion 2001, 145, 61–68. [Google Scholar] [CrossRef]
- Chen, X.; Xiao, L.; Qiu, X.S.; Chen, K.C. Properties of multiblock sulfonated poly (arylene ether sulfone)s synthesized by precise controllable post-sulfonation for proton exchange membranes. Chin. J. Polym. Sci. 2022, 40, 754–763. [Google Scholar] [CrossRef]
- Govindarasu, R.; Somasundaram, S. Studies on influence of cell temperature in direct methanol fuel cell operation. Processes 2020, 8, 353. [Google Scholar] [CrossRef]
- Li, X.L.; Miao, Z.; Marten, L.; Blankenau, I. Experimental measurements of fuel and water crossover in an active DMFC. Int. J. Hydrog. Energy 2020, 46, 4437–4446. [Google Scholar] [CrossRef]










| Code | DAB-Based Copolymer | IEC (meq g−1) | ƞr (dL/g) | ||
|---|---|---|---|---|---|
| Theo 1 | Titr1 2 | Titr2 2 | |||
| SPPQ-1 | ODBZOBP/ODBZ (2/1) | 1.65 | 1.62 | 1.47 | 2.43 |
| SPPQ-2 | ODBZOBP/ODBZ (3/1) | 1.80 | 1.71 | 1.60 | 2.55 |
| SPPQ-3 | ODBZOBP/ODBZ (4/1) | 1.88 | 1.84 | 1.72 | 2.11 |
| SPPQ-4 | ODBZOBP/ODBZ (5/1) | 1.93 | 1.90 | 1.78 | 2.12 |
| SPPQ-5 | ODBZOBP (homo) | 2.17 | 2.13 | 2.00 | 2.14 |
| m-SPPQ-5 | BZOBP (homo) | 2.21 | 2.06 | 1.87 | 3.35 |
| Code | Solvents | |||||
|---|---|---|---|---|---|---|
| m-cresol | NMP | DMSO | DMAc | CHCl3 | Acetone | |
| PPQ-1 | ++ | ++ | -- | -- | ++ | -- |
| SPPQ-1 | ++ | ++ | ++ | ++ | -- | -- |
| SPPQ-2 | ++ | ++ | ++ | ++ | -- | -- |
| SPPQ-3 | ++ | ++ | ++ | ++ | -- | -- |
| SPPQ-4 | ++ | ++ | ++ | ++ | -- | -- |
| SPPQ-5 | ++ | ++ | ++ | ++ | -- | -- |
| Code | IEC (meq g−1) | Water Uptake (%) | Dimensional Change (%) | λ | |||||||
|---|---|---|---|---|---|---|---|---|---|---|---|
| 30 °C | 80 °C | 30 °C | 80 °C | 30 °C | 80 °C | ||||||
| ∆lc | ∆tc | Δtc/Δlc | ∆lc | ∆tc | Δtc/Δlc | ||||||
| SPPQ-1 | 1.65 | 26 | 29 | 1.9 | 7.7 | 4.1 | 2.7 | 11.1 | 3.8 | 9 | 10 |
| SPPQ-2 | 1.80 | 32 | 34 | 2.5 | 9.1 | 3.6 | 4.0 | 13.3 | 3.3 | 10 | 11 |
| SPPQ-3 | 1.88 | 33 | 36 | 3.1 | 11.1 | 3.5 | 4.7 | 14.3 | 3.0 | 10 | 11 |
| SPPQ-4 | 1.93 | 36 | 39 | 3.5 | 12 | 3.4 | 5.0 | 15.8 | 3.2 | 10 | 11 |
| SPPQ-5 | 2.17 | 45 | 52 | 4.7 | 12.5 | 2.7 | 7.0 | 17.5 | 2.5 | 11 | 13 |
| m-SPPQ-5 | 2.21 | 35 | 39 | 6.9 | 9.6 | 1.4 | 11 | 13 | 1.2 | 8.8 | 9.9 |
| NR212 | 0.91 | 37 | 44 | 13 | 16 | 1.2 | 17 | 20 | 1.2 | 23 | 27 |
| Code | Mechanical Properties | Oxidative Stability | Proton Conductivity (mS cm−1) | Ea (kJ mol−1) | |||||
|---|---|---|---|---|---|---|---|---|---|
| Y1 (GPa) | S2 (MPa) | E3 (%) | 20 °C (h) | 80 °C (min) | 30 °C | 60 °C | 80 °C | ||
| SPPQ-2 | 1.95 | 55 | 22 | 96 | 148 | 19 | 29 | 34 | 12.1 |
| SPPQ-3 | 1.86 | 51 | 22 | 90 | 145 | 24 | 37 | 46 | 11.4 |
| SPPQ-4 | 1.81 | 47 | 18 | 89 | 140 | 29 | 47 | 56 | 11.3 |
| SPPQ-5 | 1.73 | 57 | 16 | 80 | 120 | 40 | 62 | 76 | 10.6 |
| m-SPPQ-5 | 1.60 | 50 | 20 | 81 | 138 | 34 | 54 | 64 | 15.1 |
| NR 212 | 0.2 | 14 | 325 | >300 | >300 | 86 | 128 | 160 | 10.8 |
Publisher’s Note: MDPI stays neutral with regard to jurisdictional claims in published maps and institutional affiliations. |
© 2022 by the authors. Licensee MDPI, Basel, Switzerland. This article is an open access article distributed under the terms and conditions of the Creative Commons Attribution (CC BY) license (https://creativecommons.org/licenses/by/4.0/).
Share and Cite
Liang, D.; Wu, Q.; Shi, D.; Zhang, Y.; Li, H.; Chen, K. Novel Side-Chain Type Sulfonated Poly(phenylquinoxaline) Proton Exchange Membranes for Direct Methanol Fuel Cells. Membranes 2022, 12, 952. https://doi.org/10.3390/membranes12100952
Liang D, Wu Q, Shi D, Zhang Y, Li H, Chen K. Novel Side-Chain Type Sulfonated Poly(phenylquinoxaline) Proton Exchange Membranes for Direct Methanol Fuel Cells. Membranes. 2022; 12(10):952. https://doi.org/10.3390/membranes12100952
Chicago/Turabian StyleLiang, Dongxia, Qin Wu, Daxin Shi, Yaoyuan Zhang, Hansheng Li, and Kangcheng Chen. 2022. "Novel Side-Chain Type Sulfonated Poly(phenylquinoxaline) Proton Exchange Membranes for Direct Methanol Fuel Cells" Membranes 12, no. 10: 952. https://doi.org/10.3390/membranes12100952
APA StyleLiang, D., Wu, Q., Shi, D., Zhang, Y., Li, H., & Chen, K. (2022). Novel Side-Chain Type Sulfonated Poly(phenylquinoxaline) Proton Exchange Membranes for Direct Methanol Fuel Cells. Membranes, 12(10), 952. https://doi.org/10.3390/membranes12100952
