Interaction Energy between Two Separated Charged Spheres Surrounded Inside and Outside by Electrolyte
Abstract
:1. Introduction
2. Model
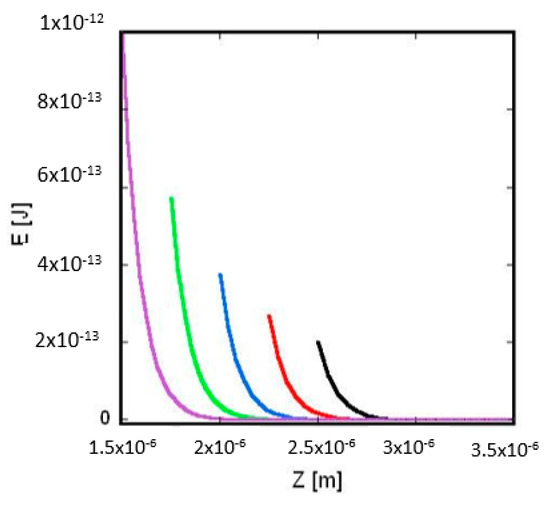
3. Results
4. Discussion
5. Conclusions
Funding
Institutional Review Board Statement
Data Availability Statement
Acknowledgments
Conflicts of Interest
Appendix A
References
- Sugár, I.P. A generalization of the Shell Theorem. Electric potential of charged spheres and vesicles surrounded by electrolyte. AIMS Biophys. 2020, 7, 76–89. [Google Scholar] [CrossRef]
- Newton, I. Philosophiae Naturalis Mathematica; London, UK. 1687. pp. Theorem XXXI. Available online: https://books.google.com.sg/books/about/Philosophiae_naturalis_principia_mathema.html?id=-dVKAQAAIAAJ&redir_esc=y (accessed on 1 August 2022).
- Sugár, I.P. Electric energies of a charged sphere surrounded by electrolyte. AIMS Biophys. 2021, 8, 157–164. [Google Scholar] [CrossRef]
- Griffiths, D.J. Introduction to Electrodynamics, 3rd ed.; Pearson: London, UK; Cambridge University Press: Cambridge, UK, 2005. [Google Scholar]
- Gabriel, J.L.; Chong, P.L.G. Molecular modeling of archaebacterial bipolar tetraether lipid membranes. Chem. Phys. Lipids 2000, 105, 193–200. [Google Scholar] [CrossRef]
- Chong, P. Archaebacterial bipolar tetraether lipids: Physico-chemical and membrane properties. Chem. Phys. Lipids 2010, 163, 253–265. [Google Scholar] [CrossRef] [PubMed]
- Almeida, P.F.F. Thermodynamics of lipid interactions in complex bilayers. Biochim. Biophys. Acta 2009, 1788, 72–85. [Google Scholar] [CrossRef] [PubMed]
- Sugár, I.P.; Thompson, T.E.; Biltonen, R.L. Monte Carlo simulation of two-component bilayers: DMPC/DSPC mixtures. Biophys. J. 1999, 76, 2099–2110. [Google Scholar] [CrossRef]
- Bohinc, K.; Špadina, M.; Reščič, J.; Shimokawa, N.; Spada, S. Influence of Charged Lipid Head Group Structures on Electric Double Layer Properties. J. Chem. Theory Comput. 2022, 18, 448–460. [Google Scholar] [CrossRef] [PubMed]
- Ewald, P.P. Die Berechnung Optischer und Elektrostatischer Gitterpotentiale. Ann. Phys. 1921, 369, 253–287. [Google Scholar] [CrossRef]
- Fetter, A.L.; Walecka, J.D. Theoretical Mechanics of Particles and Continua; Dover Publications: Mineola, NY, USA, 2003; pp. 307–310. [Google Scholar]
- The Collected Papers of Peter J. W. Debye; Interscience Publishers, Inc.: New York, NY, USA, 1954; p. 233.
- Shohet, J.L. Encyclopedia of Physical Science and Technology, 3rd ed.; Academic Press: Cambridge, MA, USA, 2003. [Google Scholar]
- Malmberg, C.G.; Mariott, A.A. Dielectric constant of water from 0 °C to 100 °C. J. Res. Natl. Bur. Stand. 1956, 56, 1–8. [Google Scholar] [CrossRef]
- Bramley, A. Dielectric constants of aqueous solutions of sodium chloride. J. Frankl. Inst. 1928, 205, 649–657. [Google Scholar] [CrossRef]



Publisher’s Note: MDPI stays neutral with regard to jurisdictional claims in published maps and institutional affiliations. |
© 2022 by the author. Licensee MDPI, Basel, Switzerland. This article is an open access article distributed under the terms and conditions of the Creative Commons Attribution (CC BY) license (https://creativecommons.org/licenses/by/4.0/).
Share and Cite
Sugár, I.P. Interaction Energy between Two Separated Charged Spheres Surrounded Inside and Outside by Electrolyte. Membranes 2022, 12, 947. https://doi.org/10.3390/membranes12100947
Sugár IP. Interaction Energy between Two Separated Charged Spheres Surrounded Inside and Outside by Electrolyte. Membranes. 2022; 12(10):947. https://doi.org/10.3390/membranes12100947
Chicago/Turabian StyleSugár, István P. 2022. "Interaction Energy between Two Separated Charged Spheres Surrounded Inside and Outside by Electrolyte" Membranes 12, no. 10: 947. https://doi.org/10.3390/membranes12100947
APA StyleSugár, I. P. (2022). Interaction Energy between Two Separated Charged Spheres Surrounded Inside and Outside by Electrolyte. Membranes, 12(10), 947. https://doi.org/10.3390/membranes12100947
