Density Functional Theory Study of B, N, and Si Doped Penta-Graphene as the Potential Gas Sensors for NH3 Detection
Abstract
:1. Introduction
2. Calculation Method and Details
3. Results and Discussion
3.1. Electronic Properties and Stability of Doped PG
3.2. Adsorption of NH3, H2S and SO2 on Pristine PG
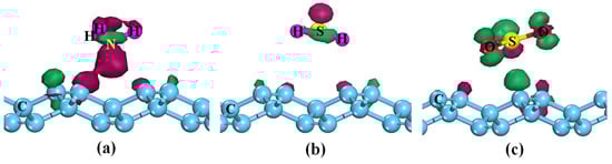
3.3. Adsorption of NH3, H2S, and SO2 on Doped PG
3.4. Recovery of Doped PG after Sensing Toxic Gases
4. Conclusions
Author Contributions
Funding
Institutional Review Board Statement
Data Availability Statement
Acknowledgments
Conflicts of Interest
References
- Zhang, Y.; Zhang, J.; Jiang, Y.; Duan, Z.; Liu, B.; Zhao, Q.; Wang, S.; Yuan, Z.; Tai, H. Ultrasensitive flexible NH3 gas sensor based on polyaniline/SrGe4O9 nanocomposite with ppt-level detection ability at room temperature. Sens. Actuators B Chem. 2020, 319, 128293. [Google Scholar] [CrossRef]
- Deng, Z.; Meng, G.; Fang, X.; Dong, W.; Shao, J.; Wang, S.; Tong, B. A novel ammonia gas sensors based on p-type delafossite AgAlO2. J. Alloy. Compd. 2019, 777, 52–58. [Google Scholar] [CrossRef]
- Xiao, B.; Li, Y.-C.; Yu, X.-F.; Cheng, J.-B. MXenes: Reusable materials for NH3 sensor or capturer by controlling the charge injection. Sens. Actuators B Chem. 2016, 235, 103–109. [Google Scholar] [CrossRef]
- Khakbaz, P.; Moshayedi, M.; Hajian, S.; Soleimani, M.; Narakathu, B.B.; Bazuin, B.J.; Pourfath, M.; Atashbar, M.Z. Titanium car-bide MXene as NH3 sensor: Realistic first-principles study. J. Phys. Chem. C 2019, 123, 29794–29803. [Google Scholar] [CrossRef]
- Xu, Y.; Meng, R.; Xiong, D.; Xiang, S.; Wang, S.; Jing, X.; Chen, X. Monolayer ZnS as a promising candidate for NH3 sensor: A first-principle study. IEEE Sens. J. 2017, 17, 6515. [Google Scholar] [CrossRef]
- Xiong, H.; Liu, B.; Zhang, H.; Qin, J. Theoretical insight into two-dimensional M-Pc monolayer as an excellent material for formaldehyde and phosgene sensing. Appl. Surf. Sci. 2021, 543, 148805. [Google Scholar] [CrossRef]
- Wang, D.; Lan, T.; Pan, J.; Liu, Z.; Yang, A.; Yang, M.; Chu, J.; Yuan, H.; Wang, X.; Li, Y.; et al. Janus MoSSe monolayer: A highly strain-sensitive gas sensing material to detect SF6 decompositions. Sens. Actuators A Phys. 2020, 311, 112049. [Google Scholar] [CrossRef]
- Salih, E.; Ayesh, A.I. First principle investigation of H2Se, H2Te and PH3 sensing based on graphene oxide. Phys. Lett. A 2020, 384, 126775. [Google Scholar] [CrossRef]
- Jia, N.; Liu, L.; Wang, C.; Guo, G.; Wang, R. Adsorption of gas molecules on 2D Na3Bi monolayer: A first-principles study. Phys. Lett. A 2021, 399, 127280. [Google Scholar] [CrossRef]
- Hong, L.X.; Shan, L.S.; Liang, Y.Y.; Zhou, Z.R. Adsorption of NH3 onto vacancy-defected Ti2CO2 monolayer by first-principles calculations. Appl. Surf. Sci. 2020, 504, 144325. [Google Scholar] [CrossRef]
- Huang, C.-S.; Murat, A.; Babar, V.; Montes, E.; Schwingenschlögl, U. Adsorption of the gas molecules NH3, NO, NO2, and CO on borophene. J. Phys. Chem. C 2018, 122, 14665–14670. [Google Scholar] [CrossRef]
- Yong, Y.; Cui, H.; Zhou, Q.; Su, X.; Kuang, Y.; Li, X. C2N monolayer as NH3 and NO sensors: A DFT study. Appl. Surf. Sci. 2019, 487, 488–495. [Google Scholar] [CrossRef]
- Zhang, J.; Yang, G.; Yuan, D.; Tian, J.; Ma, D. A first-principles study of doped black phosphorus carbide monolayers as NO2 and NH3 sensors. J. Appl. Phys. 2019, 125, 074501. [Google Scholar] [CrossRef]
- Cui, H.; Zhang, X.; Li, Y.; Chen, D.; Zhang, Y. First-principles insight into Ni-doped InN monolayer as a noxious gases scavenger. Appl. Surf. Sci. 2019, 494, 859–866. [Google Scholar] [CrossRef]
- Zhang, S.; Zhou, J.; Wang, Q.; Chen, X.; Kawazoe, Y.; Jena, P. Penta-graphene: A new carbon allotrope. Proc. Natl. Acad. Sci. USA 2015, 112, 2372–2377. [Google Scholar] [CrossRef] [Green Version]
- Sathishkumar, N.; Wu, S.Y.; Chen, H.T. Charge-modulated/electric-field controlled reversible CO2/H2 capture and storage on metal-free N-doped penta-graphene. Chem. Eng. J. 2019, 391, 123577. [Google Scholar] [CrossRef]
- Chen, D.; Zhang, X.; Tang, J.; Cui, H.; Chen, Z.; Li, Y. Different doping of penta-graphene as adsorbent and gas sensing material for scavenging and detecting SF6 decomposed species. Sustain. Mater. Technol. 2019, 21, e00100. [Google Scholar] [CrossRef]
- Qin, H.; Feng, C.; Luan, X.; Yang, D. First-principles investigation of adsorption behaviors of small molecules on penta-graphene. Nanoscale Res. Lett. 2018, 13, 264. [Google Scholar] [CrossRef] [PubMed]
- Sathishkumar, N.; Wu, S.Y.; Chen, H.T. Boron- and nitrogen-doped penta-graphene as a promising material for hydrogen storage: A computational study. Int. J. Energy Res. 2019, 43, 4867–4878. [Google Scholar] [CrossRef]
- Xiao, B.; Li, Y.-C.; Yu, X.-F.; Cheng, J.-B. Penta-graphene: A promising anode material as the Li/Na-ion battery with both extremely high theoretical capacity and fast charge/discharge rate. ACS Appl. Mater. Interfaces 2016, 8, 35342–35352. [Google Scholar] [CrossRef]
- Dai, X.S.; Shen, T.; Feng, Y.; Liu, H.C. Structure, electronic and optical properties of Al, Si, P doped penta-graphene: A first-principles study. Phys. B Condens. Matter 2019, 574, 411660. [Google Scholar] [CrossRef]
- Wang, J.; Wang, Z.; Zhang, R.J.; Zheng, Y.X.; Chen, L.Y.; Wang, S.Y.; Tsoo, C.C.; Huang, H.J.; Su, W.S. A first-principles study of the electrically tunable band gap in few-layer penta-graphene. Phys. Chem. Chem. Phys. 2018, 20, 18110–18116. [Google Scholar] [CrossRef] [PubMed]
- Cheng, M.-Q.; Chen, Q.; Yang, K.; Huang, W.-Q.; Hu, W.-Y.; Huang, G.-F. Penta-graphene as a potential gas sensor for NOx detection. Nanoscale Res. Lett. 2019, 14, 306. [Google Scholar] [CrossRef] [Green Version]
- Tang, S.; Xu, L.; Peng, B.; Xiong, F.; Chen, T.; Luo, X.; Huang, X.; Li, H.; Zeng, J.; Ma, Z.; et al. Ga-doped Pd/CeO2 model catalysts for CO oxidation reactivity: A density functional theory study. Appl. Surf. Sci. 2021, 575, 151655. [Google Scholar] [CrossRef]
- Xiong, H.; Xie, J.; Dong, J. Insight into rare earth yttrium and nitrogen co-decorated graphene as a promising material for NOx detection. Phys. Lett. A 2020, 384, 126910–126918. [Google Scholar] [CrossRef]
- Zhang, C.-P.; Li, B.; Shao, Z.-G. First-principle investigation of CO and CO2 adsorption on Fe-doped penta-graphene. Appl. Surf. Sci. 2019, 469, 641–646. [Google Scholar] [CrossRef]
- Habibpour, R.; Ahmadi, A.; Faghihnasiri, M.; Amani, P. A comparative investigation of penta-graphene and Pt single atom@penta-graphene in H2 and O2 detection: DFT study with assessment of the van der Waals density functionals. Appl. Surf. Sci. 2020, 528, 147043–147055. [Google Scholar] [CrossRef]
- Delley, B. From molecules to solids with the DMol3 approach. J. Chem. Phys. 2000, 113, 7756–7764. [Google Scholar] [CrossRef]
- Perdew, J.P.; Burke, K.; Ernzerhof, M. Generalized gradient approximation made simple. Phys. Rev. Lett. 1996, 77, 3865. [Google Scholar] [CrossRef] [PubMed] [Green Version]
- Delley, B. Hardness conserving semilocal pseudopotentials. Phys. Rev. B 2002, 66, 155125. [Google Scholar] [CrossRef]
- Grimme, S. Semiempirical GGA-type density functional constructed with a long-range dispersion correction. J. Comput. Chem. 2006, 27, 1787–1799. [Google Scholar] [CrossRef] [PubMed]
- Vozzi, C.; Negro, M.; Calegari, F.; Sansone, G.; Nisoli, M.; De Silvestri, S.; Stagira, S. Generalized molecular orbital tomography. Nat. Phys. 2011, 7, 822–826. [Google Scholar] [CrossRef]
- Yang, S.; Zhang, B.; Zheng, X.; Chen, G.; Ju, Y.; Chen, B.Z. Insight into the adsorption mechanisms of CH4, CO2, and H2O mol-ecules on illite (001) surfaces: A first-principles study. Surf. Interfaces 2021, 23, 101039–101047. [Google Scholar] [CrossRef]
- Song, M.; Chen, Y.; Liu, X.; Xu, W.; Zhao, Y.; Zhang, M.; Zhang, C. A first-principles study of gas molecule adsorption on hydrogen-substituted graphdiyne. Phys. Lett. A 2020, 384, 126332–126338. [Google Scholar] [CrossRef]
- Zhao, K.; Guo, Y.; Wang, Q. Contact properties of a vdW heterostructure composed of penta-graphene and penta-BN2 sheets. J. Appl. Phys. 2018, 124, 165103. [Google Scholar] [CrossRef] [Green Version]
- Guo, H.; Zhang, W.; Lu, N.; Zhuo, Z.; Zeng, X.C.; Wu, X.; Yang, J. CO2 Capture on h-BN Sheet with High Selectivity Controlled by External Electric Field. J. Phys. Chem. C 2015, 119, 6912–6917. [Google Scholar] [CrossRef]
- Sun, Q.; Li, Z.; Searles, D.J.; Chen, Y.; Lu, G. (Max); Du, A. charge-controlled switchable CO2 Capture on boron nitride nanomaterials. J. Am. Chem. Soc. 2013, 135, 8246–8253. [Google Scholar] [CrossRef]
- Bruno, G.; Losurdo, M.; Kim, T.-H.; Brown, A. Adsorption and desorption kinetics of Ga on GaN(0001): Application of Wolkenstein theory. Phys. Rev. B 2010, 82, 075326. [Google Scholar] [CrossRef] [Green Version]
- Wolkenstein, T. Electronic Processes on Semiconductor Surfaces during Chemisorption; Springer: Boston, MA, USA, 1991; pp. 83–124. [Google Scholar]









| Structures | Efor/eV | |
|---|---|---|
| sp2 Hybridized Carbon Atom (C1 Site) | sp3 Hybridized Carbon Atom (C2 Site) | |
| B-doped PG | +0.92 (+0.67) [17] | +1.00 (+0.74) [17] |
| N-doped PG | −0.10 (−0.01) [17] | +1.80 (+1.90) [17] |
| P-doped PG | −0.14 | +0.95 |
| Si-doped PG | +0.87 | +0.96 |
| Al-doped PG | +1.51 | +3.23 |
| Gas Molecules | Eads/eV | QT/e | d/Å | Eg/eV |
|---|---|---|---|---|
| NH3 | −0.382 | 0.058 | 2.970 (N-C) | 2.35 |
| H2S | −0.298 | 0.040 | 3.169 (S-C) | 2.22 |
| SO2 | −0.328 | −0.072 | 2.661 (S-C) | 1.90 |
| Structures | NH3 | H2S | SO2 | ||||||
|---|---|---|---|---|---|---|---|---|---|
| Eads | QT | Eg (Eg’) | Eads | QT | Eg (Eg’) | Eads | QT | Eg (Eg’) | |
| B-doped PG | −2.46 | 0.406 | 1.81/1.23 | −1.63 | 0.360 | 1.81/1.31 | −1.13 | −0.105 | 1.81/1.82 |
| N-doped PG | −1.06 | 0.465 | 1.88/2.27 | −0.20 | 0.009 | 1.88/1.65 | −0.42 | −0.133 | 1.88/0.00 |
| P-doped PG | −0.57 | 0.147 | 0.00/0.00 | −0.40 | 0.067 | 0.00/0.00 | −0.29 | −0.043 | 0.00/1.33 |
| Al-doped PG | −2.17 | 0.312 | 0.54/0.76 | −2.87 | −0.043 | 0.54/0.42 | −0.97 | −0.203 | 0.54/0.46 |
| Si-doped PG | −1.11 | 0.354 | 1.32/0.84 | −0.41 | 0.073 | 1.32/1.20 | −0.35 | −0.168 | 1.32/1.10 |
Publisher’s Note: MDPI stays neutral with regard to jurisdictional claims in published maps and institutional affiliations. |
© 2022 by the authors. Licensee MDPI, Basel, Switzerland. This article is an open access article distributed under the terms and conditions of the Creative Commons Attribution (CC BY) license (https://creativecommons.org/licenses/by/4.0/).
Share and Cite
Chen, G.; Gan, L.; Xiong, H.; Zhang, H. Density Functional Theory Study of B, N, and Si Doped Penta-Graphene as the Potential Gas Sensors for NH3 Detection. Membranes 2022, 12, 77. https://doi.org/10.3390/membranes12010077
Chen G, Gan L, Xiong H, Zhang H. Density Functional Theory Study of B, N, and Si Doped Penta-Graphene as the Potential Gas Sensors for NH3 Detection. Membranes. 2022; 12(1):77. https://doi.org/10.3390/membranes12010077
Chicago/Turabian StyleChen, Guangjun, Lei Gan, Huihui Xiong, and Haihui Zhang. 2022. "Density Functional Theory Study of B, N, and Si Doped Penta-Graphene as the Potential Gas Sensors for NH3 Detection" Membranes 12, no. 1: 77. https://doi.org/10.3390/membranes12010077
APA StyleChen, G., Gan, L., Xiong, H., & Zhang, H. (2022). Density Functional Theory Study of B, N, and Si Doped Penta-Graphene as the Potential Gas Sensors for NH3 Detection. Membranes, 12(1), 77. https://doi.org/10.3390/membranes12010077

