Cellulose Acetate Membranes Modification by Aminosilane Grafting in Supercritical Carbon Dioxide towards Antibiofilm Properties
Abstract
:1. Introduction
2. Materials and Methods
2.1. Materials
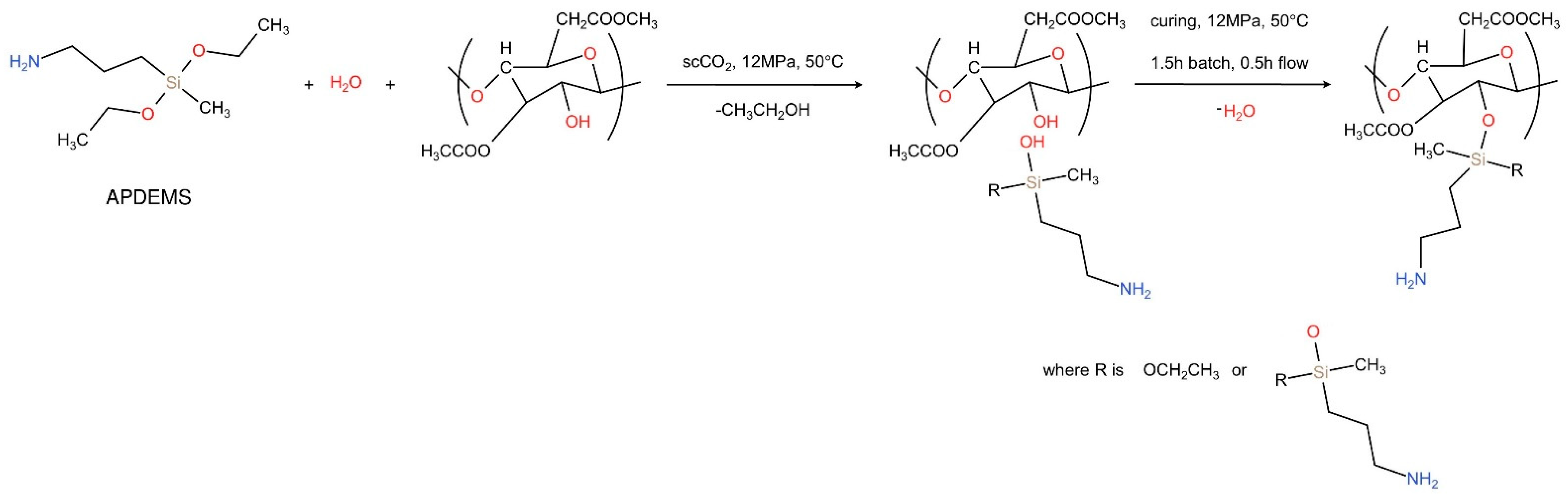
2.2. Grafting Reaction in Supercritical Carbon Dioxide
2.3. FTIR Analyses
2.4. Structural Properties Investigation
2.5. Contact Angle Measurements
2.6. Test in a Cross-Filtration Unit
2.7. Investigations of Bacterial Adhesion to the Membranes
3. Results and Discussion
3.1. Grafting in scCO2
3.2. FTIR Analyses
3.3. Structural Properties Investigation
3.4. Contact Angle Measurements
3.5. Tests in the Cross Filtration Unit
3.6. Evaluation of Bacterial Adhesion to the Membranes
4. Conclusions
Author Contributions
Funding
Acknowledgments
Conflicts of Interest
Appendix A

The Solvent Casting Method



References
- Nguyen, T.; Roddick, F.; Fan, L. Biofouling of Water Treatment Membranes: A Review of the Underlying Causes, Monitoring Techniques and Control Measures. Membranes 2012, 2, 804–840. [Google Scholar] [CrossRef] [Green Version]
- Flemming, H.-C.; Schaule, G.; Griebe, T.; Schmitt, J.; Tamachkiarowa, A. Biofouling—The Achilles Heel of Membrane Processes. Desalination 1997, 113, 215–225. [Google Scholar] [CrossRef]
- Pejman, M.; Firouzjaei, M.D.; Aktij, S.A.; Das, P.; Zolghadr, E.; Jafarian, H.; Shamsabadi, A.A.; Elliott, M.; Esfahani, M.R.; Sangermano, M.; et al. Improved Antifouling and Antibacterial Properties of Forward Osmosis Membranes through Surface Modification with Zwitterions and Silver-Based Metal Organic Frameworks. J. Membr. Sci. 2020, 611, 118352. [Google Scholar] [CrossRef]
- Zizovic, I.; Trusek, A.; Tyrka, M.; Moric, I.; Senerovic, L. Functionalization of Polyamide Microfiltration Membranes by Supercritical Solvent Impregnation. J. Supercrit. Fluids 2021, 174, 105250. [Google Scholar] [CrossRef]
- Woźniak-Budych, M.J. Polymeric Membranes for Biomedical Applications. Phys. Sci. Rev. 2021, 6, 20210052. [Google Scholar] [CrossRef]
- Amara, I.; Miled, W.; Ben Slama, R.; Chevallier, P.; Mantovani, D.; Ladhari, N. Surface Modifications by Plasma Treatment, Chemical Grafting and over Dyeing of Polyamide Nets to Improve the Antifouling Performance in the Aquaculture Field. Dyes Pigments 2019, 166, 107–113. [Google Scholar] [CrossRef]
- Lee, X.J.; Show, P.L.; Katsuda, T.; Chen, W.-H.; Chang, J.-S. Surface Grafting Techniques on the Improvement of Membrane Bioreactor: State-of-the-Art Advances. Bioresour. Technol. 2018, 269, 489–502. [Google Scholar] [CrossRef] [PubMed]
- Zhou, M.; Liu, H.; Kilduff, J.E.; Langer, R.; Anderson, D.G.; Belfort, G. High Throughput Synthesis and Screening of New Protein Resistant Surfaces for Membrane Filtration. AIChE J. 2009, 56, 1932–1945. [Google Scholar] [CrossRef]
- Ulbricht, M.; Belfort, G. Surface Modification of Ultrafiltration Membranes by Low Temperature Plasma II. Graft Polymerization onto Polyacrylonitrile and Polysulfone. J. Membr. Sci. 1996, 111, 193–215. [Google Scholar] [CrossRef]
- He, W.; Zhang, Z.; Zheng, Y.; Qiao, S.; Xie, Y.; Sun, Y.; Qiao, K.; Feng, Z.; Wang, X.; Wang, J. Preparation of Aminoalkyl-grafted Bacterial Cellulose Membranes with Improved Antimicrobial Properties for Biomedical Applications. J. Biomed. Mater. Res. A 2020, 108, 1086–1098. [Google Scholar] [CrossRef] [PubMed]
- Achoundong, C.S.K.; Bhuwania, N.; Burgess, S.K.; Karvan, O.; Johnson, J.R.; Koros, W.J. Silane Modification of Cellulose Acetate Dense Films as Materials for Acid Gas Removal. Macromolecules 2013, 46, 5584–5594. [Google Scholar] [CrossRef]
- Darpentigny, C.; Sillard, C.; Menneteau, M.; Martinez, E.; Marcoux, P.R.; Bras, J.; Jean, B.; Nonglaton, G. Antibacterial Cellulose Nanopapers via Aminosilane Grafting in Supercritical Carbon Dioxide. ACS Appl. Bio Mater. 2020, 3, 8402–8413. [Google Scholar] [CrossRef]
- Perrut, M. Supercritical Fluid Applications: Industrial Developments and Economic Issues. Ind. Eng. Chem. Res. 2000, 39, 4531–4535. [Google Scholar] [CrossRef]
- Knez, Ž.; Markočič, E.; Leitgeb, M.; Primožič, M.; Knez Hrnčič, M.; Škerget, M. Industrial Applications of Supercritical Fluids: A Review. Energy 2014, 77, 235–243. [Google Scholar] [CrossRef]
- Brunner, G. Applications of Supercritical Fluids. Annu. Rev. Chem. Biomol. Eng. 2010, 1, 321–342. [Google Scholar] [CrossRef]
- de Jesus, S.S.; Filho, R.M. Recent Advances in Lipid Extraction Using Green Solvents. Renew. Sustain. Energy Rev. 2020, 133, 110289. [Google Scholar] [CrossRef]
- Nalawade, S.P.; Picchioni, F.; Janssen, L.P.B.M. Supercritical Carbon Dioxide as a Green Solvent for Processing Polymer Melts: Processing Aspects and Applications. Prog. Polym. Sci. 2006, 31, 19–43. [Google Scholar] [CrossRef] [Green Version]
- Weidner, E. Impregnation via Supercritical CO2–What We Know and What We Need to Know. J. Supercrit. Fluids 2018, 134, 220–227. [Google Scholar] [CrossRef]
- Rojas, A.; Torres, A.; José Galotto, M.; Guarda, A.; Julio, R. Supercritical Impregnation for Food Applications: A Review of the Effect of the Operational Variables on the Active Compound Loading. Crit. Rev. Food Sci. Nutr. 2020, 60, 1290–1301. [Google Scholar] [CrossRef]
- Zizovic, I. Supercritical Fluid Applications in the Design of Novel Antimicrobial Materials. Molecules 2020, 25, 2491. [Google Scholar] [CrossRef]
- Champeau, M.; Thomassin, J.-M.; Tassaing, T.; Jérôme, C. Drug Loading of Polymer Implants by Supercritical CO 2 Assisted Impregnation: A Review. J. Control. Release 2015, 209, 248–259. [Google Scholar] [CrossRef] [PubMed]
- Gamse, T.; Marr, R.; Wolf, C.; Lederer, K. Supercritical CO2 Impregnation of Polyethylene Components for Medical Purposes. Hem. Ind. 2007, 61, 229–232. [Google Scholar] [CrossRef]
- Wolf, C.; Maninger, J.; Lederer, K.; Frühwirth-Smounig, H.; Gamse, T.; Marr, R. Stabilisation of Crosslinked Ultra-High Molecular Weight Polyethylene (UHMW-PE)-Acetabular Components with α-Tocopherol. J. Mater. Sci. Mater. Med. 2006, 17, 1323–1331. [Google Scholar] [CrossRef] [PubMed]
- Costa, V.P.; Braga, M.E.M.; Duarte, C.M.M.; Alvarez-Lorenzo, C.; Concheiro, A.; Gil, M.H.; de Sousa, H.C. Anti-Glaucoma Drug-Loaded Contact Lenses Prepared Using Supercritical Solvent Impregnation. J. Supercrit. Fluids 2010, 53, 165–173. [Google Scholar] [CrossRef]
- Costa, V.P.; Braga, M.E.M.; Guerra, J.P.; Duarte, A.R.C.; Duarte, C.M.M.; Leite, E.O.B.; Gil, M.H.; de Sousa, H.C. Development of Therapeutic Contact Lenses Using a Supercritical Solvent Impregnation Method. J. Supercrit. Fluids 2010, 52, 306–316. [Google Scholar] [CrossRef]
- Xu, W.Z.; Yang, L.; Charpentier, P.A. Preparation of Antibacterial Softwood via Chemical Attachment of Quaternary Ammonium Compounds Using Supercritical CO2. ACS Sustain. Chem. Eng. 2016, 4, 1551–1561. [Google Scholar] [CrossRef]
- Zizovic, I.; Tyrka, M.; Matyja, K.; Moric, I.; Senerovic, L.; Trusek, A. Functional Modification of Cellulose Acetate Microfiltration Membranes by Supercritical Solvent Impregnation. Molecules 2021, 26, 411. [Google Scholar] [CrossRef]
- Nowak, M.; Misic, D.; Trusek, A.; Zizovic, I. Polymeric Microfiltration Membranes Modification by Supercritical Solvent Impregnation—Potential Application in Open Surgical Wound Ventilation. Molecules 2021, 26, 4572. [Google Scholar] [CrossRef]
- Francolini, I.; Piozzi, A.; Donelli, G. Efficacy Evaluation of Antimicrobial Drug-Realising Polymer Matrices. In Microbial Biofilms: Methods and Protocols, Methods in Molecular Biology; Donelli, G., Ed.; Springer Science + Business Media: New York, NY, USA, 2014; Volume 1147, pp. 215–225. [Google Scholar]
- ISO 7218; Microbiology of Food and Animal Feeding Stuffs—General Rules for Microbiological Examinations, AMENDMENT 1. ISO 7218:1996/Amd.1:2001(E); ISO: Geneva, Switzerland, 2001.
- Khalf, A.; Singarapu, K.; Madihally, S.V. Cellulose Acetate Core–Shell Structured Electrospun Fiber: Fabrication and Characterization. Cellulose 2015, 22, 1389–1400. [Google Scholar] [CrossRef]
- Milovanovic, S.; Markovic, D.; Aksentijevic, K.; Stojanovic, D.B.; Ivanovic, J.; Zizovic, I. Application of Cellulose Acetate for Controlled Release of Thymol. Carbohydr. Polym. 2016, 147, 344–353. [Google Scholar] [CrossRef]
- Sabeti Dehkordi, F.; Pakizeh, M.; Namvar-Mahboub, M. Properties and Ultrafiltration Efficiency of Cellulose Acetate/Organically Modified Mt (CA/OMMt) Nanocomposite Membrane for Humic Acid Removal. Appl. Clay Sci. 2015, 105–106, 178–185. [Google Scholar] [CrossRef]
- Andrade, P.F.; de Faria, A.F.; Quites, F.J.; Oliveira, S.R.; Alves, O.L.; Arruda, M.A.Z.; do Carmo Gonçalves, M. Inhibition of Bacterial Adhesion on Cellulose Acetate Membranes Containing Silver Nanoparticles. Cellulose 2015, 22, 3895–3906. [Google Scholar] [CrossRef]
- Kamal, H.; Abd-Elrahim, F.M.; Lotfy, S. Characterization and Some Properties of Cellulose Acetate-Co-Polyethylene Oxide Blends Prepared by the Use of Gamma Irradiation. J. Radiat. Res. Appl. Sci. 2014, 7, 146–153. [Google Scholar] [CrossRef]
- Liu, C.; Bai, R. Preparation of Chitosan/Cellulose Acetate Blend Hollow Fibers for Adsorptive Performance. J. Membr. Sci. 2005, 267, 68–77. [Google Scholar] [CrossRef]
- Waheed, S.; Ahmad, A.; Khan, S.M.; Gul, S.-; Jamil, T.; Islam, A.; Hussain, T. Synthesis, Characterization, Permeation and Antibacterial Properties of Cellulose Acetate/Polyethylene Glycol Membranes Modified with Chitosan. Desalination 2014, 351, 59–69. [Google Scholar] [CrossRef]
- Ebadi Amooghin, A.; Omidkhah, M.; Kargari, A. The Effects of Aminosilane Grafting on NaY Zeolite–Matrimid®5218 Mixed Matrix Membranes for CO2/CH4 Separation. J. Membr. Sci. 2015, 490, 364–379. [Google Scholar] [CrossRef]
- Percival, S.; Malic, S.; Cruz, H.; Williams, W. Introduction to Biofilms. In Biofilms and Veterinary Medicine; Percival, S., Knottenbelt, D., Cochrane, C., Eds.; Springer Science + Business Media: New York, NY, USA, 2011; Volume 6, pp. 41–69. [Google Scholar]
- Clutterbuck, A.L.; Woods, E.J.; Knottenbelt, D.C.; Clegg, P.D.; Cochrane, C.A.; Percival, S.L. Biofilms and Their Relevance to Veterinary Medicine. Vet. Microbiol. 2007, 121, 1–17. [Google Scholar] [CrossRef]
- Parsek, M.R.; Greenberg, E.P. Sociomicrobiology: The Connections between Quorum Sensing and Biofilms. Trends Microbiol. 2005, 13, 27–33. [Google Scholar] [CrossRef]
- Hu, J.; Lin, J.; Zhang, Y.; Lin, Z.; Qiao, Z.; Liu, Z.; Yang, W.; Liu, X.; Dong, M.; Guo, Z. A New Anti-Biofilm Strategy of Enabling Arbitrary Surfaces of Materials and Devices with Robust Bacterial Anti-Adhesion via a Spraying Modified Microsphere Method. J. Mater. Chem. A 2019, 7, 26039–26052. [Google Scholar] [CrossRef]
- Satpathy, S.; Sen, S.K.; Pattanaik, S.; Raut, S. Review on Bacterial Biofilm: An Universal Cause of Contamination. Biocatal. Agric. Biotechnol. 2016, 7, 56–66. [Google Scholar] [CrossRef]











| Investigated Microorganism | CA 24 h | CA 48 h | gCA 24 h | gCA 48 h |
|---|---|---|---|---|
| Escherichia coli ATCC 10536 | 2.4 (±0.7) 1 × 106 | 2.1 (±0.3) × 106 | 0 | 0 |
| Listeria monocytogenes ATCC 13932 | 8.0 (±0.3) × 105 | 3.0 (±0.0) × 105 | 0 | 0 |
| Salmonella Enteritidis ATCC 13076 | 3.3 (+2.3) × 106 | 2.2 (+1.5) × 106 | 0 | 0 |
| Staphylococcus aureus ATCC 29213 | 2.3 (+0.5) × 106 | 2.4 (+0.9) × 106 | 0 | 0 |
Publisher’s Note: MDPI stays neutral with regard to jurisdictional claims in published maps and institutional affiliations. |
© 2021 by the authors. Licensee MDPI, Basel, Switzerland. This article is an open access article distributed under the terms and conditions of the Creative Commons Attribution (CC BY) license (https://creativecommons.org/licenses/by/4.0/).
Share and Cite
Tyrka, M.; Nowak, M.; Misic, D.; Półbrat, T.; Koter, S.; Trusek, A.; Zizovic, I. Cellulose Acetate Membranes Modification by Aminosilane Grafting in Supercritical Carbon Dioxide towards Antibiofilm Properties. Membranes 2022, 12, 33. https://doi.org/10.3390/membranes12010033
Tyrka M, Nowak M, Misic D, Półbrat T, Koter S, Trusek A, Zizovic I. Cellulose Acetate Membranes Modification by Aminosilane Grafting in Supercritical Carbon Dioxide towards Antibiofilm Properties. Membranes. 2022; 12(1):33. https://doi.org/10.3390/membranes12010033
Chicago/Turabian StyleTyrka, Marcin, Mariusz Nowak, Dusan Misic, Tomasz Półbrat, Stanisław Koter, Anna Trusek, and Irena Zizovic. 2022. "Cellulose Acetate Membranes Modification by Aminosilane Grafting in Supercritical Carbon Dioxide towards Antibiofilm Properties" Membranes 12, no. 1: 33. https://doi.org/10.3390/membranes12010033
APA StyleTyrka, M., Nowak, M., Misic, D., Półbrat, T., Koter, S., Trusek, A., & Zizovic, I. (2022). Cellulose Acetate Membranes Modification by Aminosilane Grafting in Supercritical Carbon Dioxide towards Antibiofilm Properties. Membranes, 12(1), 33. https://doi.org/10.3390/membranes12010033

