Fabrication of Gum Arabic-Graphene (GGA) Modified Polyphenylsulfone (PPSU) Mixed Matrix Membranes: A Systematic Evaluation Study for Ultrafiltration (UF) Applications
Abstract
:1. Introduction
2. Experimental Section
2.1. Materials
2.2. Synthesis of Graphene Nanosheets
2.3. Fabrication of Nanocomposite Ultrafiltration Membranes
2.4. Membrane Characterization
3. Results and Discussion
3.1. Membrane Morphology
3.2. Atomic Force Microscopy (AFM)
3.3. Hydrophilicity Measurements
3.4. Fourier-Transform Infrared (FTIR) Spectroscopy
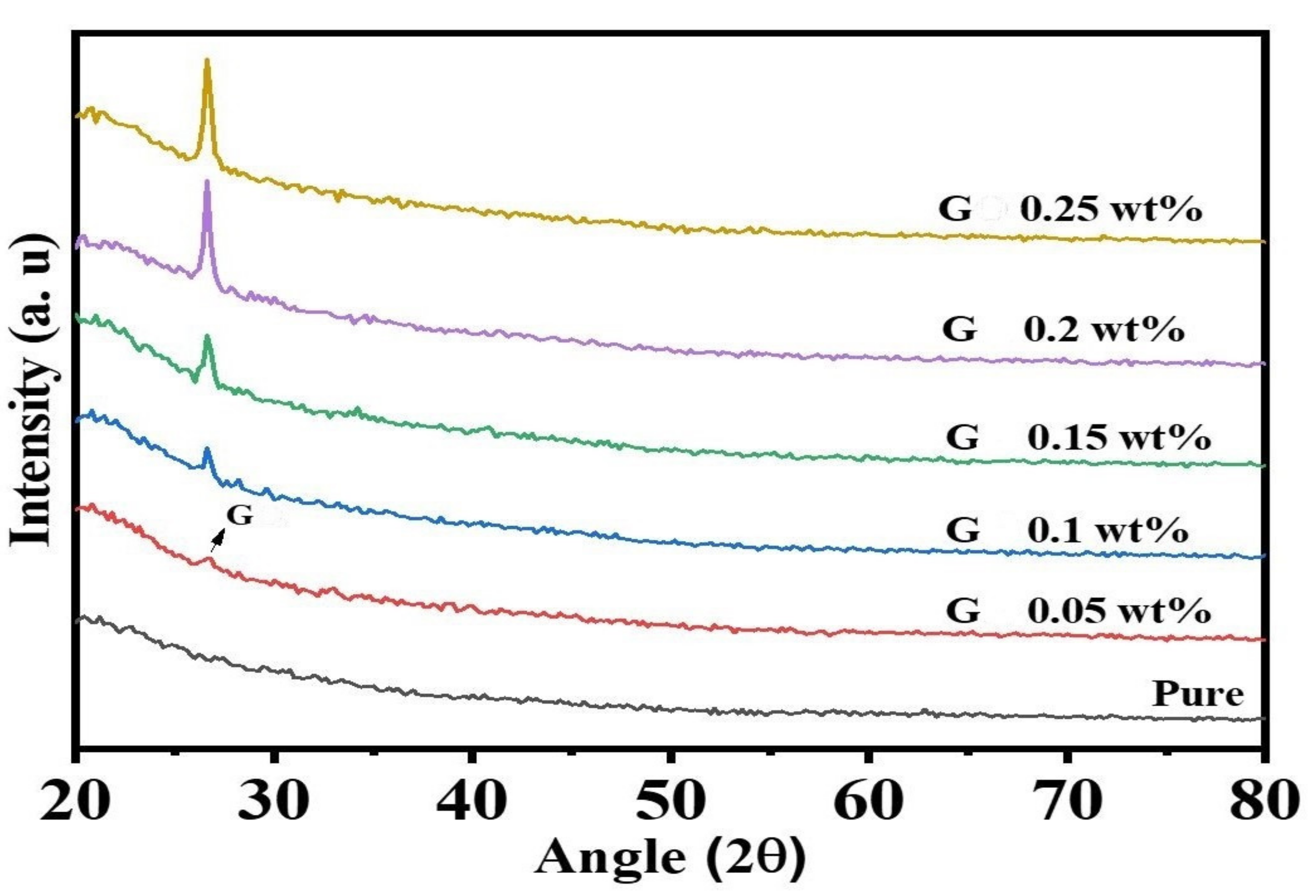
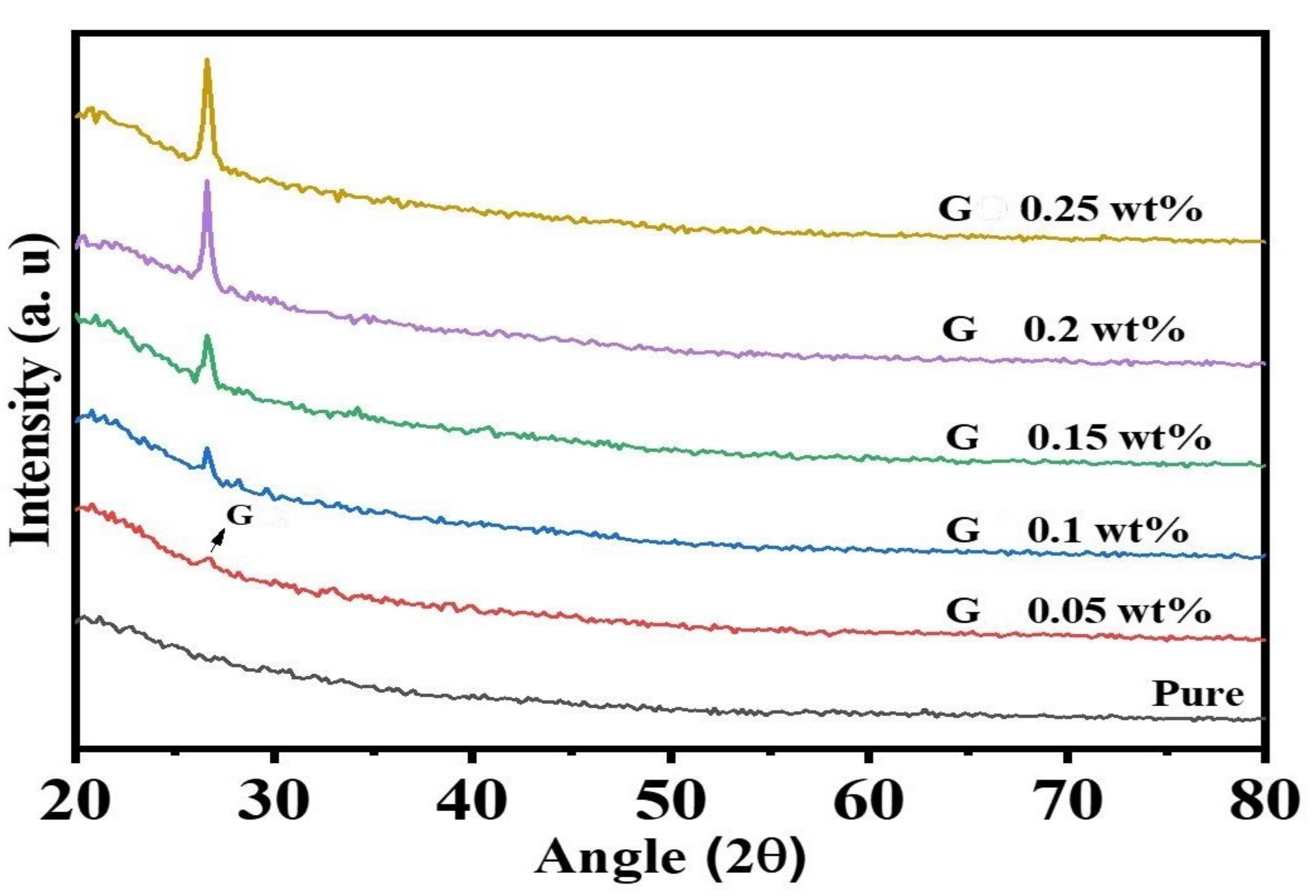
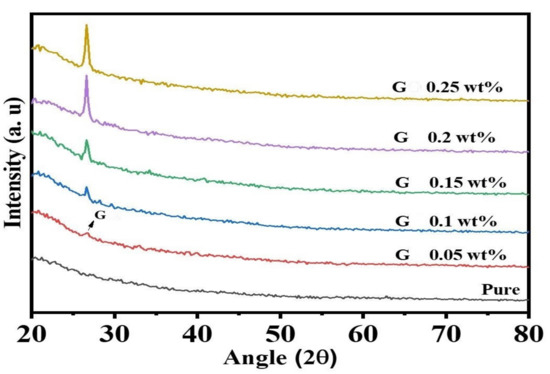
3.5. X-ray Diffraction (XRD) Analysis of the Nanocomposite Membranes
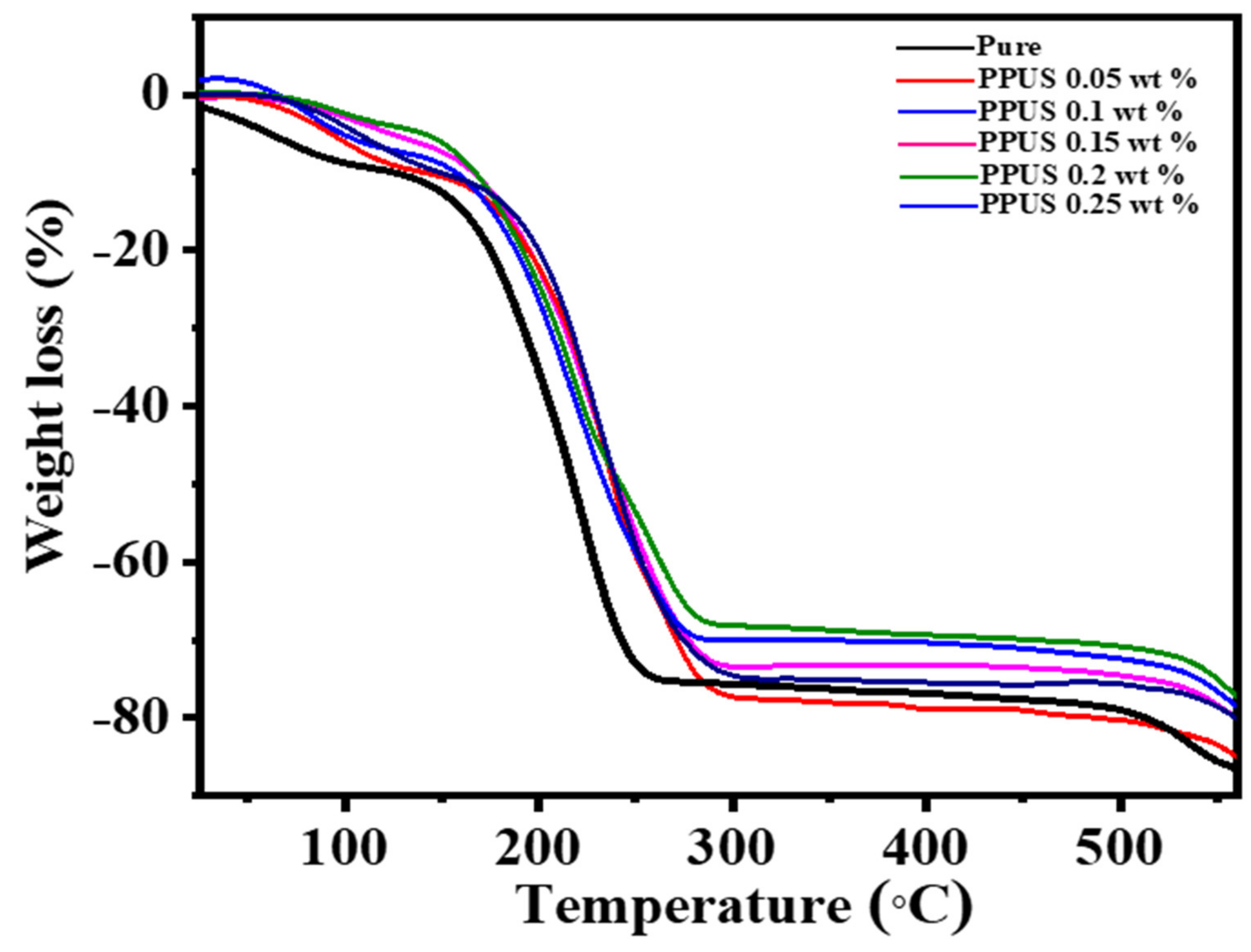
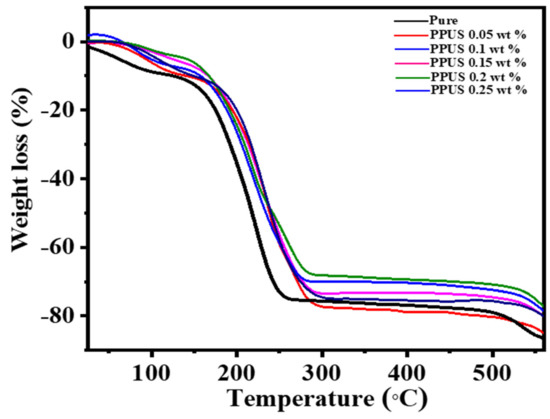
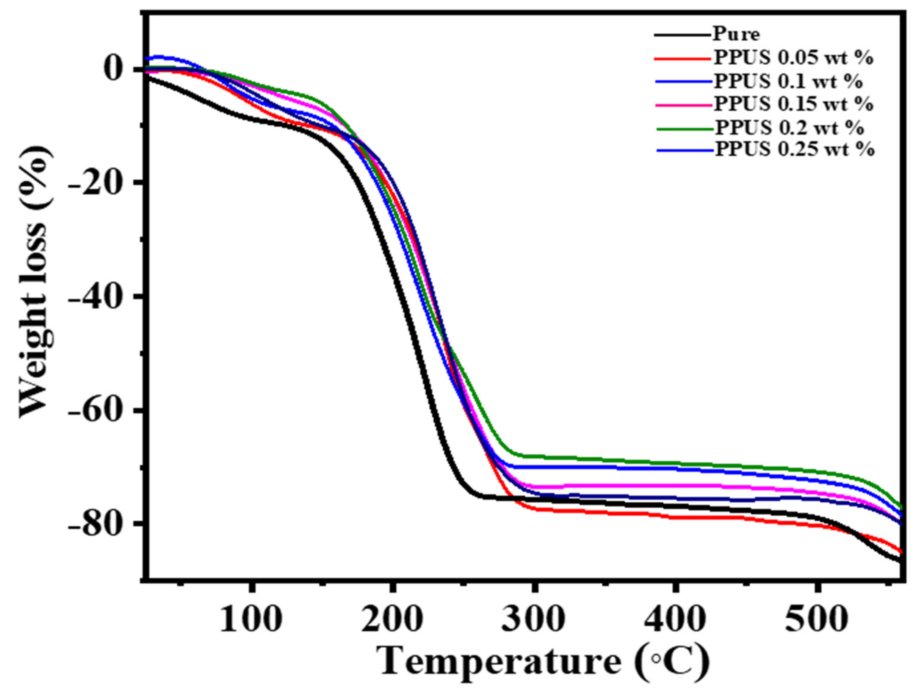
3.6. Influence of Graphene Content on the Thermal Stability of PPSU Membranes
3.7. Evaluation of Membranes Performance with Sodium Alginate
4. Conclusions
Author Contributions
Funding
Institutional Review Board Statement
Informed Consent Statement
Data Availability Statement
Conflicts of Interest
Nomenclature
| Cp | sodium alginate concentration in the permeate solution, ppm (Equation (1)) |
| Cf | sodium alginate concentration in the feed solution, ppm (Equation (1)) |
| GGA | Gum Arabic-Graphene J permeation flux, L.m−2.h−1 |
| NMP | N-methyl-2-pyrrolidinone |
| NaAlg | sodium alginate |
| PWF | pure water flux, L.m−2.h−1 |
| R | retention value, % (Equation (1)) |
| PPSU | Polyphenylsulfone |
| ε | membrane porosity, % |
| rm | membrane mean pore size, nm |
| CA | contact angle, ° |
References
- Al Aani, S.; Bonny, T.; Hasan, S.W.; Hilal, N. Can machine language and artificial intelligence revolutionize process automation for water treatment and desalination? Desalination 2019, 458, 84–96. [Google Scholar] [CrossRef]
- Al Aani, S.; Gomez, V.; Wright, C.J.; Hilal, N. Fabrication of antibacterial mixed matrix nanocomposite membranes using hybrid nanostructure of silver coated multi-walled carbon nanotubes. Chem. Eng. J. 2017, 326, 721–736. [Google Scholar] [CrossRef] [Green Version]
- Alsalhy, Q.F. Influence of spinning conditions on the morphology, pore size, pore size distribution, mechanical properties, and performance of PVC hollow fiber membranes. Sep. Sci. Technol. 2012, 48, 234–245. [Google Scholar] [CrossRef]
- Alsalhy, Q.F.; Rashid, K.T.; Ibrahim, S.S.; Ghanim, A.H.; Van der Bruggen, B.; Luis, P.; Zablouk, M. Poly(vinylidene fluoride-co-hexafluropropylene) (PVDF-co-HFP) hollow fiber membranes prepared from PVDF-co-HFP/PEG-600Mw/DMAC solution for membrane distillation. J. Appl. Polym. Sci. 2013, 129, 3304–3313. [Google Scholar] [CrossRef]
- Alsalhy, Q.F.; Merza, A.S.; Rashid, K.T.; Adam, A.; Figoli, A.; Simone, S.; Drioli, E. Preparation and Characterization of poly(vinyl chloride)/poly (styrene)/poly (ethylene glycol) hollow-fiber membranes. J. Appl. Polym. Sci. 2013, 130, 989–1004. [Google Scholar] [CrossRef]
- Alsalhy, Q.F.; Al-Ani, F.H.; Al-Najar, A.E. A new Sponge-GAC-Sponge membrane module for submerged membrane bioreactor use in hospital wastewater treatment. Biochem. Eng. J. 2018, 133, 130–139. [Google Scholar] [CrossRef]
- Yahya, A.A.; Rashid, K.T.; Ghadhban, M.Y.; Mousa, N.E.; Majdi, H.S.; Salih, I.K.; Alsalhy, Q.F. Removal of 4-Nitrophenol from Aqueous Solution by Using Polyphenylsulfone-Based Blend Membranes: Characterization and Performance. Membranes 2021, 11, 171. [Google Scholar] [CrossRef]
- Al Aani, S.; Wright, C.; Atieh, M.A.; Hilal, N. Engineering nanocomposite membranes: Addressing current challenges and future opportunities. Desalination 2017, 401, 1–15. [Google Scholar] [CrossRef] [Green Version]
- Alsalhy, Q.F.; Al-Ani, F.H.; Al-Najar, A.E.; Jabuk, S.I. A study of the effect of embedding ZnO-NPs on PVC membrane performance use in actual hospital wastewater treatment by membrane bioreactor. Chem. Eng. Process. Process Intensif. 2018, 130, 262–274. [Google Scholar] [CrossRef]
- Ng, L.Y.; Mohammad, A.W.; Leo, C.P.; Hilal, N. Polymeric membranes incorporated with metal/metal oxide nanoparticles: A comprehensive review. Desalination 2013, 308, 15–33. [Google Scholar] [CrossRef]
- Alam, J.; Shukla, A.K.; Alhoshan, M.; Dass, L.A.; Muthumareeswaran, M.R.; Khan, A.; Ali, F.A.A. Graphene oxide, an effective nanoadditive for a development of hollow fiber nanocomposite membrane with antifouling properties. Adv. Polym. Technol. 2018, 37, 2597–2608. [Google Scholar] [CrossRef] [Green Version]
- Al-Ani, F.H.; Alsalhy, Q.F.; Raheem, R.S.; Rashid, K.T.; Figoli, A. Experimental Investigation of the Effect of Implanting TiO2-NPs on PVC for Long-Term UF Membrane Performance to Treat Refinery Wastewater. Membranes 2020, 10, 77. [Google Scholar] [CrossRef] [Green Version]
- Sadiq, A.J.; Shabeeb, K.M.; Khalil, B.I.; Alsalhy, Q.F. Effect of embedding MWCNT-g-GO with PVC on the performance of PVC membranes for oily wastewater treatment. Chem. Eng. Commun. 2020, 207, 733–750. [Google Scholar] [CrossRef]
- Jamed, M.J.; Alhathal Alanezi, A.; Alsalhy, Q.F. Effects of embedding functionalized multi-walled carbon nanotubes and alumina on the direct contact poly(vinylidene fluoride-cohexafluoropropylene) membrane distillation performance. Chem. Eng. Comun. 2019, 206, 1035–1057. [Google Scholar] [CrossRef]
- Mustafa, M.A.; Mohammed, A.A.; Hashim, N.A.; Alsalhy, Q.F.; Rasel, D.; Mjalli, F.S. Embedded high-hydrophobic CNMs pre-pared by CVD technique with PVDF-co-HFP membrane for application in water desalination by DCMD. Desalination Water Treat. 2019, 142, 37–48. [Google Scholar]
- Aljumaily, M.M.; Alsaadi, M.A.; Hashim, N.A.; Alsalhy, Q.F.; Mjalli, F.S.; Atieh, M.A. PVDF-co-HFP/superhydrophobic acetylene-based nanocarbon hybrid membrane for seawater desalination via DCMD. Chem. Eng. Res. Des. 2018, 138, 248–259. [Google Scholar] [CrossRef]
- Kazemi, A.S.; Hosseini, S.M.; Abdi, Y. Large total area membrane of suspended single layer graphene for water desalination. Desalination 2019, 451, 160–171. [Google Scholar] [CrossRef]
- Azizi-Lalabadi, M.; Jafari, S.M. Bio-nanocomposites of graphene with biopolymers; fabrication, properties, and applications. Adv. Colloid Interface Sci. 2021, 292, 102416. [Google Scholar] [CrossRef]
- Yang, J.; Shen, Z.; He, J.; Li, Y. Efficient separation of small organic contaminants in water using functionalized nanoporous graphene membranes: Insights from molecular dynamics simulations. J. Membr. Sci. 2021, 630, 119331. [Google Scholar] [CrossRef]
- Nezhad, F.A.; Han, N.; Shen, Z.; Jin, Y.; Wang, Y.; Yang, N.; Liu, S. Experimental and theoretical exploration of gas permeation mechanism through 2D graphene (not graphene oxides) membranes. J. Membr. Sci. 2020, 601, 117883. [Google Scholar] [CrossRef]
- Mortazavi, V.; Moosavi, A.; Nouri-Borujerdi, A. Enhancing water desalination in graphene-based membranes via an oscillating electric field. Desalination 2020, 495, 114672. [Google Scholar] [CrossRef]
- Shawky, H.A.; Chae, S.; Lin, S.; Wiesner, M.R. Synthesis and characterization of a carbon nanotube/polymer nanocomposite membrane for water treatment. Desalination 2011, 272, 46–50. [Google Scholar] [CrossRef]
- Bourlinos, A.B.; Gournis, D.; Petridis, D.; Szabó, T.; Szeri, A.; Dékány, I. Graphite oxide: Chemical reduction to graphite and surface modification with primary aliphatic amines and amino acids. Langmuir 2003, 19, 6050–6055. [Google Scholar] [CrossRef]
- Geng, Y.; Wang, S.; Kim, J.-K. Preparation of graphite nanoplatelets and graphene sheets. J. Colloid Interface Sci. 2009, 336, 592–598. [Google Scholar] [CrossRef] [PubMed]
- Vickery, J.L.; Patil, A.J.; Mann, S. Fabrication of graphene-polymer nanocomposites with higher-order three-dimensional architectures. Adv. Mater. 2009, 21, 2180–2184. [Google Scholar] [CrossRef]
- Goenka, S.; Sant, V.; Sant, S. Graphene-based nanomaterials for drug delivery and tissue engineering. J. Control. Release 2014, 173, 75–88. [Google Scholar] [CrossRef]
- Chang, X.; Wang, Z.; Quan, S.; Xu, Y.; Jiang, Z.; Shao, L. Exploring the synergetic effects of graphene oxide (GO) and polyvinylpyrrodione (PVP) on poly(vinylylidenefluoride) (PVDF) ultrafiltration membrane performance. Appl. Surf. Sci. 2014, 316, 537–548. [Google Scholar] [CrossRef]
- Zinadini, S.; Zinatizadeh, A.A.; Rahimi, M.; Vatanpour, V.; Zangeneh, H. Preparation of a novel antifouling mixed matrix PES membrane by embedding graphene oxide nanoplates. J. Membr. Sci. 2014, 453, 292–301. [Google Scholar] [CrossRef]
- Kadhim, R.J.; Al-Ani, F.H.; Al-Shaeli, M.; Alsalhy, Q.F.; Figoli, A.; Kadhim, R.J.; Al-Ani, F.H.; Al-Shaeli, M.; Alsalhy, Q.F.; Figoli, A. Removal of dyes using graphene oxide (GO) mixed matrix membranes. Membranes 2020, 10, 366. [Google Scholar] [CrossRef]
- Sadiq, A.J.; Awad, E.S.; Shabeeb, K.M.; Khalil, B.I.; Al-Jubouri, S.M.; Sabirova, T.M.; Tretyakova, N.A.; Majdi, H.S.; Alsalhy, Q.F.; Braihi, A.J. Comparative study of embedded functionalised MWCNTs and GO in Ultrafiltration (UF) PVC membrane: Interaction mechanisms and performance. Int. J. Environ. Anal. Chem. 2020, 1–22. [Google Scholar] [CrossRef]
- Lee, J.; Chae, H.-R.; Won, Y.J.; Lee, K.; Lee, C.-H.; Lee, H.H.; Kim, I.-C.; Lee, J.-M. Graphene oxide nanoplatelets composite membrane with hydrophilic and antifouling properties for wastewater treatment. J. Membr. Sci. 2013, 448, 223–230. [Google Scholar] [CrossRef]
- Akhavan, O.; Ghaderi, E. Toxicity of graphene and graphene oxide nanowalls against bacteria. ACS Nano 2010, 4, 5731–5736. [Google Scholar] [CrossRef]
- Liu, C.X.; Zhang, D.R.; He, Y.; Zhao, X.S.; Bai, R. Modification of membrane surface for anti-biofouling performance: Effect of anti-adhesion and anti-bacteria approaches. J. Membr. Sci. 2010, 346, 121–130. [Google Scholar] [CrossRef]
- Hu, W.; Peng, C.; Luo, W.; Lv, M.; Li, X.; Li, D.; Huang, Q.; Fan, C. Graphene-based antibacterial paper. ACS Nano 2010, 4, 4317–4323. [Google Scholar] [CrossRef]
- Grasso, G.; Galiano, F.; Yoo, M.; Mancuso, R.; Park, H.; Gabriele, B.; Figoli, A.; Drioli, E. Development of graphene-PVDF composite membranes for membrane distillation. J. Membr. Sci. 2020, 604, 118017. [Google Scholar] [CrossRef]
- Bayati, M.; Peng, H.; Deng, H.; Lin, J.; de Cortalezzi, M.F. Laser induced graphene/ceramic membrane composite: Preparation and characterization. J. Membr. Sci. 2020, 595, 117537. [Google Scholar] [CrossRef]
- Chi, Y.; Chong, J.Y.; Wang, B.; Li, K. Pristine graphene membranes supported on ceramic hollow fibre prepared via a sacrificial layer assisted CVD approach. J. Membr. Sci. 2020, 595, 117479. [Google Scholar] [CrossRef]
- Li, S.; Lee, J.-H.; Hu, Q.; Oh, T.-S.; Yoo, J.-B. Scalable graphene composite membranes for enhanced ion selectivity. J. Membr. Sci. 2018, 564, 159–165. [Google Scholar] [CrossRef]
- Ismail, Z.; Abdullah, A.H.; Abidin, A.S.Z.; Yusoh, K. Application of graphene from exfoliation in kitchen mixer allows mechanical reinforcement of PVA/graphene film. Appl. Nanosci. 2017, 7, 317–324. [Google Scholar] [CrossRef] [Green Version]
- Shukla, A.K.; Alam, J.; Alhoshan, M.; Dass, L.A.; Muthumareeswaran, M.R. Development of a nanocomposite ultrafiltration membrane based on polyphenylsulfone blended with graphene oxide. Sci. Rep. 2017, 7, srep41976. [Google Scholar] [CrossRef] [PubMed] [Green Version]
- Al Aani, S.; Wright, C.J.; Hilal, N. Investigation of UF membranes fouling and potentials as pre-treatment step in desalination and surface water applications. Desalination 2018, 432, 115–127. [Google Scholar] [CrossRef] [Green Version]
- Kiani, S.; Mousavi, S.M.; Shahtahmassebi, N.; Saljoughi, E. Hydrophilicity improvement in polyphenylsulfone nanofibrous filtration membranes through addition of polyethylene glycol. Appl. Surf. Sci. 2015, 359, 252–258. [Google Scholar] [CrossRef]
- Matsumoto, M.; Saito, Y.; Park, C.; Fukushima, T.; Aida, T. Ultrahigh-throughput exfoliation of graphite into pristine ‘single-layer’ graphene using microwaves and molecularly engineered ionic liquids. Nat. Chem. 2015, 7, 730–736. [Google Scholar] [CrossRef]
- Awad, E.; Sabirova, T.; Tretyakova, N.; Alsalhy, Q.; Figoli, A.; Salih, I. A Mini-Review of Enhancing Ultrafiltration Membranes (UF) for Wastewater Treatment: Performance and Stability. ChemEngineering 2021, 5, 34. [Google Scholar] [CrossRef]
- Chai, P.; Choy, P.; Teoh, W.; Mahmoudi, E.; Ang, W. Graphene oxide based mixed matrix membrane in the presence of eco-friendly natural additive gum Arabic. J. Environ. Chem. Eng. 2021, 9, 105638. [Google Scholar] [CrossRef]
- Manawi, Y.; Kochkodan, V.; Mohammad, A.W.; Atieh, M.A. Arabic gum as a novel pore-forming and hydrophilic agent in polysulfone membranes. J. Membr. Sci. 2017, 529, 95–104. [Google Scholar] [CrossRef]
- Idress, H.; Zaidi, S.Z.J.; Sabir, A.; Shafiq, M.; Khan, R.U.; Harito, C.; Hassan, S.; Walsh, F.C.; Idress, H.; Zaidi, S.Z.J.; et al. Cellulose acetate based Complexation-NF membranes for the removal of Pb(II) from waste water. Sci. Rep. 2021, 11, 1–14. [Google Scholar] [CrossRef] [PubMed]
- Mahmoudi, E.; Ng, L.Y.; Ang, W.L.; Chung, Y.T.; Rohani, R.; Mohammad, A.W.; Mahmoudi, E.; Ng, L.Y.; Ang, W.L.; Chung, Y.T.; et al. Enhancing Morphology and Separation Performance of Polyamide 6,6 Membranes By Minimal Incorporation of Silver Decorated Graphene Oxide Nanoparticles. Sci. Rep. 2019, 9, 1–16. [Google Scholar] [CrossRef] [PubMed] [Green Version]
- Rezaee, R.; Nasseri, S.; Mahvi, A.H.; Nabizadeh, R.; Mousavi, S.A.; Rashidi, A.; Jafari, A.; Nazmara, S. Fabrication and characterization of a polysulfone-graphene oxide nanocomposite membrane for arsenate rejection from water. J. Environ. Health Sci. Eng. 2015, 13, 1–11. [Google Scholar] [CrossRef] [Green Version]
- Ho, K.C.; Teow, Y.H.; Ang, W.L.; Mohammad, A.W. Novel GO/OMWCNTs mixed-matrix membrane with enhanced antifouling property for palm oil mill effluent treatment. Sep. Purif. Technol. 2017, 177, 337–349. [Google Scholar] [CrossRef]









| Membrane Code | PPSU wt. % | G wt. % |
|---|---|---|
| MG1 | 15 | 0 |
| MG2 | 15 | 0.05 |
| MG3 | 15 | 0.1 |
| MG4 | 15 | 0.15 |
| MG5 | 15 | 0.2 |
| MG6 | 15 | 0.25 |
| Membrane Code | Average Roughness (nm) | Mean Pore Size (nm) |
|---|---|---|
| MG1 | 4.11 | 143.91 |
| MG2 | 16.5 | 88.89 |
| MG3 | 15.3 | 101.71 |
| MG4 | 4.42 | 95.57 |
| MG5 | 5.27 | 76.78 |
| MG6 | 12.9 | 62.79 |
| Mixed Matrix Membrane | Porosity (%) | Mean Pore Size (nm) | Contact Angle (°) | Rejection (%) | Permeation (L.m−2.h−1) | Ref. | |
|---|---|---|---|---|---|---|---|
| Casting Solution (wt.%) | Nanoparticles Concentration | ||||||
| 15% Polyphenylsulfone and 85% N-Methyl-2-pyrrolidinone | 0.15% Gum Arabic-Graphene | NA | 95.57 | 50 | 88% Sodium Alginate | 82.11 | This Work |
| 18% Polysulfone and 82% N-Methyl-2- pyrrolidone | 1.5% Gum Arabic–0.6% Graphene Oxide | 78.37 | 20.76 | 56.74 | 96.34% Humic Acid | 63.55 | [45] |
| 16% Polysulfone and 84% Dimethylacetamide | 3% Arabic Gum | 70.3 | 37 | 40.7 | % 80 BSA * | 120.3 | [46] |
| Cellulose Acetate, Vinyl Triethoxysilane, Graphene and Dimethyl Formamide | 8% Gum Arabic | NA | NA | 56 | 97.6% Pb(II) ion | 8.6 | [47] |
| 20% Polyamide 6,6 and 80% Formic Acid | 0.8% Silver-Graphene Oxide | 67.96 | 8.26 | 35.28 | 89.8% BSA and 88.9% Congo Red | NA | [48] |
| 21% Polyethersulfone, 1% Polyvinylpyrrolidone and 78% Dimethyl Sulfoxide | 0.5% Graphene Oxide | 80.6 | 14.59 | 39.21 | 99.7% Acid Black 210 and 99% Rose Bengal | 116.5 | [29] |
| 17.5% Polyphenylsulfone, 1% Polyvinylpyrrolidone and 81.5% N-Methyl-pyrrolidone | 0.5% Graphene Oxide | 80 | 10.6 | 45 | 94% BSA and 88% Pepsin | 171 | [40] |
| 20% Polyethersulfone, 1% Polyvinylpyrrolidone and 79% Dimethylacetamide | 0.5% Graphene Oxide | 83.1 | 4.5 | 53.2 | 96% Direct Red 16 | NA | [28] |
| 15% Polysulfone and 85% N,N-Dimethylformamide | 2% Graphene Oxide | 82.1 | 8.7 | 54.8 | 83.65% Arsenate | 41.18 | [49] |
| 18% Polyvinylidene Fluoride and 82% N-N-Dimethylacetamide | 0.1 g.L−1 Oxidized Multi-Walled Carbon Nanotubes | 45.33 | 8.09 | 71.77 | 81.94% Turbidity, 86.3% Color, and 100% TSS of Palm Oil Mill Effluent | 131.97 | [50] |
Publisher’s Note: MDPI stays neutral with regard to jurisdictional claims in published maps and institutional affiliations. |
© 2021 by the authors. Licensee MDPI, Basel, Switzerland. This article is an open access article distributed under the terms and conditions of the Creative Commons Attribution (CC BY) license (https://creativecommons.org/licenses/by/4.0/).
Share and Cite
Ali, A.M.; Rashid, K.T.; Yahya, A.A.; Majdi, H.S.; Salih, I.K.; Yusoh, K.; Alsalhy, Q.F.; AbdulRazak, A.A.; Figoli, A. Fabrication of Gum Arabic-Graphene (GGA) Modified Polyphenylsulfone (PPSU) Mixed Matrix Membranes: A Systematic Evaluation Study for Ultrafiltration (UF) Applications. Membranes 2021, 11, 542. https://doi.org/10.3390/membranes11070542
Ali AM, Rashid KT, Yahya AA, Majdi HS, Salih IK, Yusoh K, Alsalhy QF, AbdulRazak AA, Figoli A. Fabrication of Gum Arabic-Graphene (GGA) Modified Polyphenylsulfone (PPSU) Mixed Matrix Membranes: A Systematic Evaluation Study for Ultrafiltration (UF) Applications. Membranes. 2021; 11(7):542. https://doi.org/10.3390/membranes11070542
Chicago/Turabian StyleAli, Alaa Mashjel, Khalid T. Rashid, Ali Amer Yahya, Hasan Sh. Majdi, Issam K. Salih, Kamal Yusoh, Qusay F. Alsalhy, Adnan A. AbdulRazak, and Alberto Figoli. 2021. "Fabrication of Gum Arabic-Graphene (GGA) Modified Polyphenylsulfone (PPSU) Mixed Matrix Membranes: A Systematic Evaluation Study for Ultrafiltration (UF) Applications" Membranes 11, no. 7: 542. https://doi.org/10.3390/membranes11070542
APA StyleAli, A. M., Rashid, K. T., Yahya, A. A., Majdi, H. S., Salih, I. K., Yusoh, K., Alsalhy, Q. F., AbdulRazak, A. A., & Figoli, A. (2021). Fabrication of Gum Arabic-Graphene (GGA) Modified Polyphenylsulfone (PPSU) Mixed Matrix Membranes: A Systematic Evaluation Study for Ultrafiltration (UF) Applications. Membranes, 11(7), 542. https://doi.org/10.3390/membranes11070542

