Efficient Helium Separation with Two-Dimensional Metal–Organic Framework Fe/Ni-PTC: A Theoretical Study
Abstract
:1. Introduction
2. Computational Methods
3. Results and Discussion
3.1. The Structural Stability of Fe/Ni-PTC
3.2. DFT Energy Barriers
3.3. Electron Density Isosurfaces
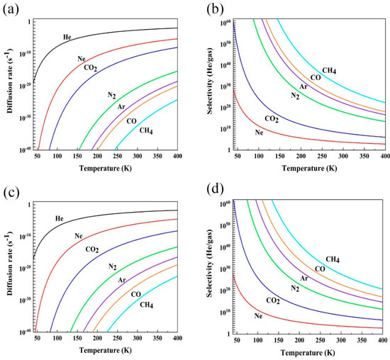
3.4. DFT Selectivity of He
3.5. MD Simulations on He Filtration
3.6. Comparison between Membranes
3.7. Free Energy Barrier Analysis
4. Conclusions
Supplementary Materials
Author Contributions
Funding
Institutional Review Board Statement
Data Availability Statement
Acknowledgments
Conflicts of Interest
References
- Kaplan, K.H. Helium shortage hampers research and industry. Phys. Today 2007, 60, 31. [Google Scholar] [CrossRef]
- Cho, A. Helium-3 shortage could put freeze on low-temperature research. Science 2009, 326, 778–779. [Google Scholar] [CrossRef]
- Nuttall, W.J.; Clarke, R.H.; Glowacki, B.A. Resources: Stop squandering helium. Nature 2012, 485, 573–575. [Google Scholar] [CrossRef] [PubMed]
- Smith, Z.P.; Tiwari, R.R.; Dose, M.E.; Gleason, K.L.; Murphy, T.M.; Sanders, D.F.; Gunawan, G.; Robeson, L.M.; Paul, D.R.; Freeman, B.D. Influence of Diffusivity and Sorption on Helium and Hydrogen Separations in Hydrocarbon, Silicon, and Fluorocarbon-Based Polymers. Macromolecules 2014, 47, 3170–3184. [Google Scholar] [CrossRef]
- Yuan, W.; Chen, J.; Shi, G. Nanoporous graphene materials. Mater. Today 2014, 17, 77–85. [Google Scholar] [CrossRef]
- Hosseini, S.S.; Teoh, M.M.; Chung, T.S. Hydrogen separation and purification in membranes of miscible polymer blends with interpenetration networks. Polymer 2008, 49, 1594–1603. [Google Scholar] [CrossRef]
- Hu, W.; Wu, X.; Li, Z.; Yang, J. Porous silicene as a hydrogen purification membrane. Phys. Chem. Chem. Phys 2013, 15, 5753–5757. [Google Scholar] [CrossRef]
- Koenig, S.P.; Wang, L.; Pellegrino, J.; Bunch, J.S. Selective molecular sieving through porous graphene. Nat. Nanotechnol. 2012, 7, 728–732. [Google Scholar] [CrossRef] [PubMed] [Green Version]
- Bunch, J.S.; Verbridge, S.S.; Alden, J.S.; van der Zande, A.M.; Parpia, J.M.; Craighead, H.G.; McEuen, P.L. Impermeable atomic membranes from graphene sheets. Nano. Lett. 2008, 8, 2458–2462. [Google Scholar] [CrossRef] [PubMed] [Green Version]
- Fischbein, M.D.; Drndic′, M. Electron beam nanosculpting of suspended graphene sheets. Appl. Phys. Lett. 2008, 93, 113107. [Google Scholar] [CrossRef] [Green Version]
- Hu, W.; Wu, X.; Li, Z.; Yang, J. Helium separation via porous silicene based ultimate membrane. Nanoscale 2013, 5, 90629066. [Google Scholar] [CrossRef]
- Kedi, Y.; Shengxi, H.; Xiaofei, C.; Xinwei, W.; Jing, K.; Yan, C.; Jianming, X. Generating Sub-nanometer Pores in Single-Layer MoS2 by Heavy-Ion Bombardment for Gas Separation: A Theoretical Perspective. ACS Appl. Mater. Interfaces 2018, 10, 28909–28917. [Google Scholar]
- Li, F.; Qu, Y.; Zhao, M. Efficient helium separation of graphitic carbon nitride membrane. Carbon 2015, 95, 51–57. [Google Scholar] [CrossRef]
- Wang, Y.; Li, J.; Yang, Q.; Zhong, C. Two-Dimensional Covalent Triazine Framework Membrane for Helium Separation and Hydrogen Purification. ACS Appl. Mater. Interfaces 2016, 8, 8694–8701. [Google Scholar] [CrossRef]
- Liu, X.; Chang, X.; Zhu, L.; Li, X. High-efficiency helium separation through g-C2O membrane: A theoretical study. Comput. Mater. Sci. 2019, 157, 1–5. [Google Scholar] [CrossRef]
- Zhu, L.; Xue, Q.Z.; Li, X.F.; Wu, T.T.; Jin, Y.K.; Xing, W. C2N: An excellent two-dimensional monolayer membrane for He separation. J. Mater. Chem. 2015, 3, 21351–21356. [Google Scholar] [CrossRef]
- Wang, L.; Li, F.; Wang, J.; Li, Y.; Li, W.; Yang, Y.; Zhao, M.; Qu, Y. High-efficiency helium separation through an inorganic graphenylene membrane: A theoretical study. Phys. Chem. Chem. Phys. 2020, 22, 9789–9795. [Google Scholar] [CrossRef]
- Rezaee, P.; Naeij, H.R. Graphenylenee1 membrane: An excellent candidate for hydrogen purification and helium separation. Carbon 2020, 157, 779–787. [Google Scholar] [CrossRef] [Green Version]
- Meek, S.T.; Greathouse, J.A.; Allendorf, M.D. Metal−organic frameworks: A rapidly growing class of versatile nanoporous materials. Adv. Mater. 2001, 23, 249. [Google Scholar] [CrossRef] [PubMed]
- Eddaoudi, M.; Li, H.; Yaghi, O. Highly porous and stable metal-organic frameworks: Structure design and sorption properties. J. Am. Chem. Soc. 2000, 122, 1391–1397. [Google Scholar] [CrossRef]
- Stock, N.; Biswas, S. Synthesis of metal-organic frameworks (MOFs): Routes to various MOF topologies, morphologies, and composites. Chem. Rev. 2011, 112, 933–969. [Google Scholar] [CrossRef] [PubMed]
- Li, J.-R.; Kuppler, R.J.; Zhou, H.-C. Selective Gas Adsorption and Separation in Metal-Organic Frameworks. Chem. Soc. Rev. 2009, 38, 1477–1504. [Google Scholar] [CrossRef] [PubMed]
- Li, J.; Sculley, J.; Zhou, H. Metal-organic frameworks for separations. Chem. Rev. 2012, 112, 869–932. [Google Scholar] [CrossRef]
- Adil, K.; Belmabkhout, Y.; Pillai, R.S.; Cadiau, A.; Bhatt, P.M.; Assen, A.H.; Maurin, G.; Eddaoudi, M. Gas/Vapour Separation Using Ultra-Microporous Metal−Organic Frameworks: Insights into the Structure/Separation Relationship. Chem. Soc. Rev. 2017, 46, 3402–3430. [Google Scholar] [CrossRef]
- Basdogan, Y.; Keskin, S. Simulation and modelling of MOFs for hydrogen storage. CrystEngComm 2015, 17, 261–275. [Google Scholar] [CrossRef] [Green Version]
- Murray, L.J.; Dinca, M.; Long, J.R. Hydrogen storage in metal-organic frameworks. Chem. Soc. Rev. 2009, 38, 1294–1314. [Google Scholar] [CrossRef]
- Horcajada, P.; Serre, C.; Maurin, G.; Ramsahye, N.A.; Balas, F.; Vallet-Regi, M.; Sebban, M.; Taulelle, F.; Ferey, G. Flexible porous metal-organic frameworks for a controlled drug delivery. J. Am. Chem. Soc. 2008, 130, 6774–6780. [Google Scholar] [CrossRef] [PubMed]
- Zhu, L.; Liu, X.-Q.; Jiang, H.-L.; Sun, L.-B. Metal-Organic Frameworks for Heterogeneous Basic Catalysis. Chem. Rev. 2017, 117, 8129–8176. [Google Scholar] [CrossRef]
- Ranjan, R.; Tsapatsis, M. Microporous metal organic framework membrane on porous support using the seeded growth method. Chem. Mater. 2009, 21, 4920–4924. [Google Scholar] [CrossRef]
- Cao, F.; Zhang, C.; Xiao, Y.; Huang, H.; Zhang, W.; Liu, D.; Zhong, C.; Yang, Q.; Yang, Z.; Lu, X. Helium recovery by a Cu-BTC metal–organic-framework membrane. Ind. Eng. Chem. Res. 2012, 51, 11274–11278. [Google Scholar] [CrossRef]
- Kasik, A.; Dong, X.; Lin, Y. Synthesis and stability of zeolitic imidazolate framework 68 membranes. Micropor. Mesopor. Mater. 2015, 204, 99–105. [Google Scholar] [CrossRef]
- Dong, R.; Zhang, Z.; Tranca, D.C.; Zhou, S.; Wang, M.; Adler, P.; Liao, Z.; Liu, F.; Sun, Y.; Shi, W.; et al. A coronene-based semiconducting two-dimensional metal-organic framework with ferromagnetic behavior. Nat. Commun. 2018, 9, 2637. [Google Scholar] [CrossRef] [PubMed] [Green Version]
- Wang, J.; Wang, J.; Song, X.; Qi, S.; Zhao, M. Multifunctional electrocatalytic activity of coronene-based two-dimensional metal-organic frameworks: TM-PTC. Appl. Surf. Sci. 2020, 511, 145393. [Google Scholar] [CrossRef]
- Kresse, G.; Furthmuller, J. Efficiency of ab-initio total energy calculations for metals and semiconductors using a plane-wave basis set. Comput. Mater. Sci. 1996, 6, 15–50. [Google Scholar] [CrossRef]
- Kresse, G.; Furthmuller, J. Efficient iterative schemes for ab initio total-energy calculations using a plane-wave basis set. Phys. Rev. B 1996, 54, 11169–11186. [Google Scholar] [CrossRef] [PubMed]
- Blochl, P.E. Projector augmented-wave method. Phys. Rev. B 1994, 50, 17953–17979. [Google Scholar] [CrossRef] [Green Version]
- Perdew, J.P.; Burke, K.; Ernzerhof, M. Generalized gradient approximation made Simple. Phys. Rev. Lett. 1996, 77, 3865–3868. [Google Scholar] [CrossRef] [Green Version]
- Grimme, S.; Antony, J.; Ehrlich, S.; Krieg, H. A consistent and accurate ab initio parametrization of density functional dispersion correction (DFT-D) for the 94 elements H-Pu. J. Chem. Phys. 2010, 132, 154104. [Google Scholar] [CrossRef] [Green Version]
- Monkhorst, H.J.; Pack, J.D. Special points for Brillouin-zone integrations. Phys. Rev. B 1976, 13, 5188–5192. [Google Scholar] [CrossRef]
- Kolsbjerg, E.L.; Groves, M.N.; Hammer, B. An automated nudged elastic band method. J. Chem. Phys 2016, 145, 094107. [Google Scholar] [CrossRef]
- Pronk, S.; Pall, S.; Schulz, R.; Larsson, P.; Bjelkmar, P.; Apostolov, R.; Shirts, M.R.; Smith, J.C.; Kasson, P.M.; van der Spoel, D.; et al. GROMACS 4.5: A high-throughput and highly parallel opensource molecular simulation toolkit. Bioinformatics 2013, 29, 845–854. [Google Scholar] [CrossRef]
- Garberoglio, G.; Comput, J. OBGMX: A web-based generator of GROMACS topologies for molecular and periodic systems using the universal force field. J. Comput. Chem. 2012, 33, 2204–2208. [Google Scholar] [CrossRef]
- Harris, J.G.; Yung, K.H. Carbon Dioxides Liquid-Vapor Coexistence Curve And Critical Properties As Predicted By A Simple Molecular-Model. J. Phys. Chem. 1995, 99, 12021–12024. [Google Scholar] [CrossRef]
- Qu, Y.; Li, F.; Zhao, M. Theoretical Design of Highly Efficient CO2/N2 Separation Membranes Based on Electric Quadrupole Distinction. J. Phys. Chem. C 2017, 121, 17925–17931. [Google Scholar] [CrossRef]
- Frisch, M.J.; Trucks, G.W.; Schlegel, H.B.; Scuseria, G.E.; Robb, M.A.; Cheeseman, J.R.; Scalmani, G.; Barone, V.; Petersson, G.A.; Nakatsuji, H.; et al. Gaussian 09, Revision A02. Gaussian. Inc. Wallingford. CT 2009, 7. [Google Scholar] [CrossRef] [Green Version]
- Torrie, G.M.; Valleau, J.P. Nonphysical sampling distributions in Monte Carlo free-energy estimation: Umbrella sampling. J. Comput. Phys. 1977, 23, 187–199. [Google Scholar] [CrossRef]
- Kumar, S.; Rosenberg, J.M.; Bouzida, D.; Swendsen, R.H.; Kollman, P.A. The weighted histogram analysis method for free-energy calculations on biomolecules.1. The method. J. Comput. Chem. 1992, 13, 1011–1021. [Google Scholar] [CrossRef]
- Li, X.; Guo, T.; Zhu, L.; Ling, C.; Xue, Q.; Xing, W. Charge-modulated CO2 capture of C3N nanosheet: Insights from DFT calculations. Chem. Eng. J. 2018, 338, 92–98. [Google Scholar] [CrossRef]
- Adewole, J.K.; Ahmad, A.L.; Ismail, S.; Leo, C.P. Current challenges in membrane separation of CO2 from natural gas: A review. Int. J. Greenh. Gas. Control 2013, 17, 46–65. [Google Scholar] [CrossRef]
- Chang, X.; Xue, Q.; He, D.; Zhu, L.; Li, X.; Tao, B. 585 divacancy-defective germanene as a hydrogen separation membrane: A DFT study. Int. J. Hydrog. Energy 2017, 42, 24189–24196. [Google Scholar] [CrossRef]
- Arrhenius, S. Über die Reaktionsgeschwindigkeit bei der inversion von Rohrzucker durch Sauren. Phys. Chem. 1889, 4, 226–248. [Google Scholar]
- Blankenburg, S.; Bieri, M.; Fasel, R.; Müllen, K.; Pignedoli, C.A.; Passerone, D. Porous graphene as an atmospheric nanofilter. Small 2010, 6, 2266–2271. [Google Scholar] [CrossRef]
- Zhang, Y.; Shi, Q.; Liu, Y.; Wang, Y.; Meng, Z.; Xiao, C.; Deng, K.; Rao, D.; Lu, R. Hexagonal Boron Nitride with Designed Nanopores as a High-Efficiency Membrane for Separating Gaseous Hydrogen from Methane. J. Phys. Chem. C 2015, 119, 19826–19831. [Google Scholar] [CrossRef]
- Sullivan, D.M.; Bruening, M.L. Ultrathin, Gas-Selective Polyimide Membranes Prepared from Multilayer Polyelectrolyte Films. Chem. Mater. 2003, 15, 281–287. [Google Scholar] [CrossRef]
- Xu, J.; Zhou, S.; Sang, P.; Li, J.; Zhao, L. Inorganic graphenylene as a promising novel boron nitrogen membrane for hydrogen purification: A computational study. J. Mater. Sci. 2017, 52, 10285–10293. [Google Scholar] [CrossRef]
- Zhu, Z. Permeance should be used to characterize the productivity of a polymeric gas separation membrane. J. Membr. Sci. 2006, 281, 754–756. [Google Scholar] [CrossRef]
- Wei, S.; Zhou, S.; Wu, Z.; Wang, M.; Wang, Z.; Guo, W.; Lu, X. Mechanistic insights into porous graphene membranes for helium separation and hydrogen purification. Appl. Surf. Sci. 2018, 441, 631–638. [Google Scholar] [CrossRef]





| Gas Molecule | H0 (Å) | Ead (kJ mol−1) | Eb (kJ mol−1) |
|---|---|---|---|
| He | 3.000 | −2.60 | 14.64 |
| Ne | 2.901 | −4.43 | 40.26 |
| CO2 | 3.337 | −9.25 | 60.87 |
| N2 | 2.836 | −13.20 | 117.61 |
| Ar | 2.987 | −10.98 | 141.78 |
| CO | 3.000 | −13.97 | 152.96 |
| CH4 | 2.950 | −14.74 | 185.42 |
| Gas Molecule | H0 (Å) | Ead (kJ mol−1) | Eb (kJ mol−1) |
|---|---|---|---|
| He | 2.997 | −2.31 | 13.00 |
| Ne | 3.000 | −4.43 | 34.19 |
| CO2 | 2.929 | −6.84 | 62.51 |
| N2 | 2.918 | −13.00 | 100.95 |
| Ar | 3.000 | −10.79 | 125.61 |
| CO | 2.999 | −13.87 | 143.91 |
| CH4 | 2.683 | −16.28 | 171.36 |
| Membrane | Temperature (K) | Permeance |
|---|---|---|
| Fe-PTC | 200 | 2.9 × 10−4 |
| 300 | 6.3 × 10−4 | |
| 400 | 8.9 × 10−4 | |
| 500 | 1.3 × 10−3 | |
| Ni-PTC | 200 | 3.6 × 10−4 |
| 300 | 6.6 × 10−4 | |
| 400 | 9.2 × 10−4 | |
| 500 | 1.5 × 10−3 |
| Membrane | Permeance | Selectivity |
|---|---|---|
| Fe-PTC 1 | 1.9 × 106 | 9.1 × 1017 |
| Ni-PTC 1 | 2.1 × 106 | 2.2 × 1015 |
| g-C2O 2 | 1.0 × 107 | 1.5 × 106 |
| IGP 3 | 2.0 × 106 | 1.0 × 1012 |
| CTF-0 4 | 1.0 × 103 | 2.0 × 1027 |
| C2N 5 | 1.0 × 107 | 3.0 × 1012 |
| 6N-PG 6 | 6.9 × 107 | 6.0 × 108 |
Publisher’s Note: MDPI stays neutral with regard to jurisdictional claims in published maps and institutional affiliations. |
© 2021 by the authors. Licensee MDPI, Basel, Switzerland. This article is an open access article distributed under the terms and conditions of the Creative Commons Attribution (CC BY) license (https://creativecommons.org/licenses/by/4.0/).
Share and Cite
Wang, J.; Li, Y.; Yang, Y.; Li, Y.; Zhao, M.; Li, W.; Guan, J.; Qu, Y. Efficient Helium Separation with Two-Dimensional Metal–Organic Framework Fe/Ni-PTC: A Theoretical Study. Membranes 2021, 11, 927. https://doi.org/10.3390/membranes11120927
Wang J, Li Y, Yang Y, Li Y, Zhao M, Li W, Guan J, Qu Y. Efficient Helium Separation with Two-Dimensional Metal–Organic Framework Fe/Ni-PTC: A Theoretical Study. Membranes. 2021; 11(12):927. https://doi.org/10.3390/membranes11120927
Chicago/Turabian StyleWang, Jingyuan, Yixiang Li, Yanmei Yang, Yongqiang Li, Mingwen Zhao, Weifeng Li, Jing Guan, and Yuanyuan Qu. 2021. "Efficient Helium Separation with Two-Dimensional Metal–Organic Framework Fe/Ni-PTC: A Theoretical Study" Membranes 11, no. 12: 927. https://doi.org/10.3390/membranes11120927
APA StyleWang, J., Li, Y., Yang, Y., Li, Y., Zhao, M., Li, W., Guan, J., & Qu, Y. (2021). Efficient Helium Separation with Two-Dimensional Metal–Organic Framework Fe/Ni-PTC: A Theoretical Study. Membranes, 11(12), 927. https://doi.org/10.3390/membranes11120927

