SMP Production in an Anaerobic Submerged Membrane Bioreactor (AnMBR) at Different Organic Loading Rates
Abstract
1. Introduction
2. Materials and Methods
2.1. Reactor Description
2.2. Ultrafiltration Membrane
2.3. Reactor Feed at Different OLR
2.4. Sample Treatment and Frequency
2.5. Parameter Quantification Methods
2.6. SMP Molecular Weight Distribution
2.7. Theoretical Model of Membrane Fouling
3. Results
3.1. Reactor Behavior
3.2. SMP Production and Composition
3.3. SMP Molecular Weight Distribution
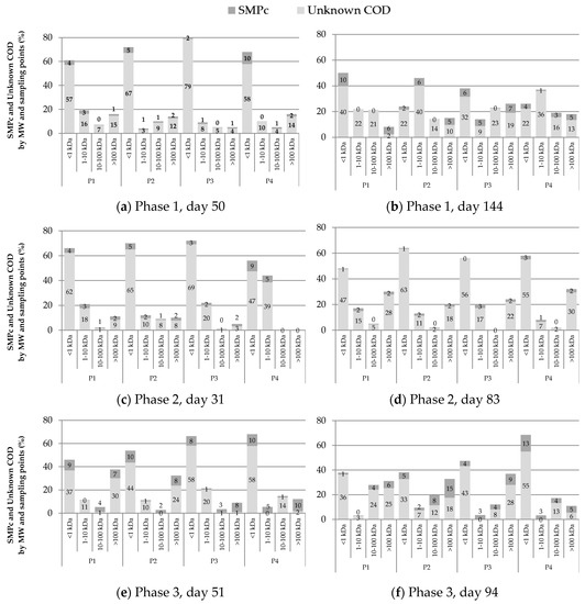
3.4. SMP Composition of MW Fractions
3.5. Fouling
4. Conclusions
Author Contributions
Funding
Acknowledgments
Conflicts of Interest
References
- Shin, C.; Bae, J. Current status of the pilot-scale anaerobic membrane bioreactor treatments of domestic wastewaters: A critical review. Bioresour. Technol. 2018, 247, 1038–1046. [Google Scholar]
- Stuckey, D.C. Recent developments in anaerobic membrane reactors. Bioresour. Technol. 2012, 122, 137–148. [Google Scholar]
- Skouteris, G.; Hermosilla, D.; López, P.; Negro, C.; Blanco, Á. Anaerobic membrane bioreactors for wastewater treatment: A review. Chem. Eng. J. 2012, 198, 138–148. [Google Scholar]
- Dereli, R.K.; Ersahin, M.E.; Ozgun, H.; Ozturk, I.; Jeison, D.; van der Zee, F.; van Lier, J.B. Potentials of anaerobic membrane bioreactors to overcome treatment limitations induced by industrial wastewaters. Bioresour. Technol. 2012, 122. [Google Scholar] [CrossRef]
- McCarty, P.L.; Bae, J.; Kim, J. Domestic wastewater treatment as a net energy producer-can this be achieved? Environ. Sci. Technol. 2011, 45. [Google Scholar] [CrossRef]
- Nie, Y.; Tian, X.; Zhou, Z.; Li, Y.Y. Impact of food to microorganism ratio and alcohol ethoxylate dosage on methane production in treatment of low-strength wastewater by a submerged anaerobic membrane bioreactor. Front. Environ. Sci. Eng. 2017, 11. [Google Scholar] [CrossRef]
- Balcıoğlu, G.; Yilmaz, G.; Gönder, Z.B. Evaluation of anaerobic membrane bioreactor (AnMBR) treating confectionery wastewater at long-term operation under different organic loading rates: Performance and membrane fouling. Chem. Eng. J. 2021, 404. [Google Scholar] [CrossRef]
- El Diwani, G.; El Abd, H.; Hawash, S.; El Ibiari, N.; El Rafei, S. Treatment of confectionery and gum factory wastewater effluent. Adsorpt. Sci. Technol. 2000, 18. [Google Scholar] [CrossRef]
- Santos, F.S.; Ricci, B.C.; França Neta, L.S.; Amaral, M.C.S. Sugarcane vinasse treatment by two-stage anaerobic membrane bioreactor: Effect of hydraulic retention time on changes in efficiency, biogas production and membrane fouling. Bioresour. Technol. 2017, 245. [Google Scholar] [CrossRef]
- Lutze, R.; Engelhart, M. Comparison of CSTR and AnMBR for anaerobic digestion of WAS and lipid-rich flotation sludge from the dairy industry. Water Resour. Ind. 2020, 23. [Google Scholar] [CrossRef]
- Basset, N.; Santos, E.; Dosta, J.; Mata-Álvarez, J. Start-up and operation of an AnMBR for winery wastewater treatment. Ecol. Eng. 2016, 86. [Google Scholar] [CrossRef]
- Spagni, A.; Casu, S.; Crispino, N.A.; Farina, R.; Mattioli, D. Filterability in a submerged anaerobic membrane bioreactor. Desalination 2010, 250. [Google Scholar] [CrossRef]
- Ni, B.J.; Rittmann, B.E.; Yu, H.Q. Soluble microbial products and their implications in mixed culture biotechnology. Trends Biotechnol. 2011, 29, 454–463. [Google Scholar] [CrossRef]
- Chen, R.; Nie, Y.; Hu, Y.; Miao, R.; Utashiro, T.; Li, Q.; Xu, M.; Li, Y.Y. Fouling behaviour of soluble microbial products and extracellular polymeric substances in a submerged anaerobic membrane bioreactor treating low-strength wastewater at room temperature. J. Membr. Sci. 2017, 531. [Google Scholar] [CrossRef]
- Kunacheva, C.; Le, C.; Soh, Y.N.A.; Stuckey, D.C. Chemical Characterization of Low Molecular Weight Soluble Microbial Products in an Anaerobic Membrane Bioreactor. Environ. Sci. Technol. 2017, 51. [Google Scholar] [CrossRef]
- Laspidou, C.S.; Rittmann, B.E. A unified theory for extracellular polymeric substances, soluble microbial products, and active and inert biomass. Water Res. 2002, 36, 2711–2720. [Google Scholar] [CrossRef]
- Barker, D.J.; Stuckey, D.C. A review of soluble microbial products (SMP) in wastewater treatment systems. Water Res. 1999, 33, 3063–3082. [Google Scholar] [CrossRef]
- Aquino, S.F.; Stuckey, D.C. Characterization of soluble microbial products (SMP) in effluents from anaerobic reactors. Water Sci. Technol. 2002, 45. [Google Scholar] [CrossRef]
- Aquino, S.F.; Hu, A.Y.; Akram, A.; Stuckey, D.C. Characterization of dissolved compounds in submerged anaerobic membrane bioreactors (SAMBRs). J. Chem. Technol. Biotechnol. 2006, 81. [Google Scholar] [CrossRef]
- Luna, H.J.; Baêta, B.E.L.; Aquino, S.F.; Susa, M.S.R. EPS and SMP dynamics at different heights of a submerged anaerobic membrane bioreactor (SAMBR). Process. Biochem. 2014, 49. [Google Scholar] [CrossRef]
- Wang, K.M.; Martin Garcia, N.; Soares, A.; Jefferson, B.; McAdam, E.J. Comparison of fouling between aerobic and anaerobic MBR treating municipal wastewater. H2Open J. 2018, 1. [Google Scholar] [CrossRef]
- Maqbool, T.; Cho, J.; Hur, J. Dynamic changes of dissolved organic matter in membrane bioreactors at different organic loading rates: Evidence from spectroscopic and chromatographic methods. Bioresour. Technol. 2017, 234. [Google Scholar] [CrossRef] [PubMed]
- Jiang, T.; Myngheer, S.; de Pauw, D.J.W.; Spanjers, H.; Nopens, I.; Kennedy, M.D.; Amy, G.; Vanrolleghem, P.A. Modelling the production and degradation of soluble microbial products (SMP) in membrane bioreactors (MBR). Water Res. 2008, 42. [Google Scholar] [CrossRef]
- Hach Company. Oxygen Demand Chemical for Water, Wastewater and Seawater. 2009. Available online: https://www.hach.com/asset-get.download.jsa?id=7639983640 (accessed on 8 August 2020).
- Bradford, M.M. A rapid and sensitive method for the quantitation of microgram quantities of protein utilizing the principle of protein-dye binding. Anal. Biochem. 1976, 72. [Google Scholar] [CrossRef]
- Dubois, M.; Gilles, K.A.; Hamilton, J.K.; Rebers, P.A.; Smith, F. Colorimetric Method for Determination of Sugars and Related Substances. Anal. Chem. 1956, 28. [Google Scholar] [CrossRef]
- Biosystems Company. Glucosa Oxidase/Peroxidasa. 2006. Available online: https://www.sigmaaldrich.com/catalog/product/sigma/g3660?lang=en®ion=SX&gclid=EAIaIQobChMIw7Gsvb3y6wIVD9myCh3RSAi6EAAYASAAEgJsCPD_BwE (accessed on 8 August 2020).
- Mesquita, P.L.; Aquino, S.F.; Xavier, A.L.P.; da Silva, J.C.C.; Afonso, R.C.F.; Queiroz Silva, S. Soluble microbial product (SMP) characterization in bench-scale aerobic and anaerobic cstrs under different operational conditions. Braz. J. Chem. Eng. 2010, 27. [Google Scholar] [CrossRef]
- Rosenberger, S.; Kraume, M. Filterability of activated sludge in membrane bioreactors. Desalination 2003, 151. [Google Scholar] [CrossRef]
- Lee, W.; Kang, S.; Shin, H. Sludge characteristics and their contribution to microfiltration in submerged membrane bioreactors. J. Membr. Sci. 2003, 216. [Google Scholar] [CrossRef]
- Rittmann, B.E.; McCarty, P.L. Environmental Biotechnology: Principles and Applications. In Environmental Biotechnology: Principles and Applications; McGraw-Hill: New York, NY, USA, 2001; pp. 569–618. ISBN 9781260440591. [Google Scholar]
- Wu, B.; Zhou, W. Investigation of soluble microbial products in anaerobic wastewater treatment effluents. J. Chem. Technol. Biotechnol. 2010, 85. [Google Scholar] [CrossRef]
- Ho, J.; Sung, S. Anaerobic Membrane Bioreactor Treatment of Synthetic Municipal Wastewater at Ambient Temperature. Water Environ. Res. 2009, 81. [Google Scholar] [CrossRef]
- Drews, A.; Mante, J.; Iversen, V.; Vocks, M.; Lesjean, B.; Kraume, M. Impact of ambient conditions on SMP elimination and rejection in MBRs. Water Res. 2007, 41. [Google Scholar] [CrossRef]
- Rosenberger, S.; Laabs, C.; Lesjean, B.; Gnirss, R.; Amy, G.; Jekel, M.; Schrotter, J.C. Impact of colloidal and soluble organic material on membrane performance in membrane bioreactors for municipal wastewater treatment. Water Res. 2006, 40. [Google Scholar] [CrossRef] [PubMed]
- Meng, F.; Zhou, Z.; Ni, B.J.; Zheng, X.; Huang, G.; Jia, X.; Li, S.; Xiong, Y.; Kraume, M. Characterization of the size-fractionated biomacromolecules: Tracking their role and fate in a membrane bioreactor. Water Res. 2011, 45. [Google Scholar] [CrossRef] [PubMed]
- Meng, F.; Chae, S.R.; Drews, A.; Kraume, M.; Shin, H.S.; Yang, F. Recent advances in membrane bioreactors (MBRs): Membrane fouling and membrane material. Water Res. 2009, 43, 1489–1512. [Google Scholar] [CrossRef] [PubMed]
- Liu, Y.; Liu, H.; Cui, L.; Zhang, K. The ratio of food-to-microorganism (F/M) on membrane fouling of anaerobic membrane bioreactors treating low-strength wastewater. Desalination 2012, 297. [Google Scholar] [CrossRef]
- Zhou, W.; Wu, B.; She, Q.; Chi, L.; Zhang, Z. Investigation of soluble microbial products in a full-scale UASB reactor running at low organic loading rate. Bioresour. Technol. 2009, 100. [Google Scholar] [CrossRef] [PubMed]
- Jarusutthirak, C.; Amy, G. Understanding soluble microbial products (SMP) as a component of effluent organic matter (EfOM). Water Res. 2007, 41. [Google Scholar] [CrossRef]
- Drews, A.; Vocks, M.; Bracklow, U.; Iversen, V.; Kraume, M. Does fouling in MBRs depend on SMP? Desalination 2008, 231. [Google Scholar] [CrossRef]
- Meng, F.; Liao, B.; Liang, S.; Yang, F.; Zhang, H.; Song, L. Morphological visualization, componential characterization and microbiological identification of membrane fouling in membrane bioreactors (MBRs). J. Membr. Sci. 2010, 361, 1–14. [Google Scholar] [CrossRef]
- Martinez-Sosa, D.; Helmreich, B.; Netter, T.; Paris, S.; Bischof, F.; Horn, H. Anaerobic submerged membrane bioreactor (AnSMBR) for municipal wastewater treatment under mesophilic and psychrophilic temperature conditions. Bioresour. Technol. 2011, 102. [Google Scholar] [CrossRef]
- Kunacheva, C.; Soh, Y.N.A.; Stuckey, D.C. identification of soluble microbial products (SSMP) from the fermentation and methanogenic phases of anaerobic digestion. Sci. Total Environ. 2020, 698. [Google Scholar] [CrossRef]
- Kunacheva, C.; Stuckey, D.C. Analytical methods for soluble microbial products (SMP) and extracellular polymers (ECP) in wastewater treatment systems: A review. Water Res. 2014, 61, 1–18. [Google Scholar] [CrossRef] [PubMed]
- Le-Clech, P.; Chen, V.; Fane, T.A.G. Fouling in membrane bioreactors used in wastewater treatment. J. Membr. Sci. 2006, 284, 17–53. [Google Scholar] [CrossRef]
- Kimura, K.; Yamato, N.; Yamamura, H.; Watanabe, Y. Membrane fouling in pilot-scale membrane bioreactors (MBRs) treating municipal wastewater. Environ. Sci. Technol. 2005, 39. [Google Scholar] [CrossRef] [PubMed]
- Kuo, W.C.; Parkin, G.F. Characterization of soluble microbial products from anaerobic treatment by molecular weight distribution and nickel-chelating properties. Water Res. 1996, 30. [Google Scholar] [CrossRef]
- Barker, D.J.; Mannucchi, G.A.; Salvi, S.M.L.; Stuckey, D.C. Characterisation of soluble residual chemical oxygen demand (COD) in anaerobic wastewater treatment effluents. Water Res. 1999, 33. [Google Scholar] [CrossRef]
- Malamis, S.; Andreadakis, A. Fractionation of proteins and carbohydrates of extracellular polymeric substances in a membrane bioreactor system. Bioresour. Technol. 2009, 100. [Google Scholar] [CrossRef]
- Magbanua, B.S.; Bowers, A.R. Characterization of soluble microbial products (SMP) derived from glucose and phenol in dual substrate activated sludge bioreactors. Biotechnol. Bioeng. 2006, 93. [Google Scholar] [CrossRef]







| Phase 1 | Phase 2 | Phase 3 | |
|---|---|---|---|
| OLR (kg/m3d) | 3.0 ± 0.8 | 4.1 ± 0.8 | 1.2 ± 0.4 |
| pH | 7.0 ± 0.2 | 6.9 ± 0.1 | 6.9 ± 0.1 |
| % COD Removal | |||
| P1 | 95.9 ± 2.7 | 94.0 ± 4.4 | 95.8 ± 3.4 |
| P2 | 96.9 ± 1.9 | 93.4 ± 4.9 | 95.4 ± 4.0 |
| P3 | 96.5 ± 2.7 | 93.5 ± 4.3 | 95.8 ± 3.8 |
| P4 | 98.7 ± 0.4 | 97.1 ± 3.4 | 98.6 ± 0.3 |
| VSS (% VSS/TSS) * | |||
| P1 g/L | 15.6 ± 3.7 (86.6 ± 2.9) | 13.7 ± 6.3 (89.2 ± 1.2) | 7.3 ± 1.5 (85.7 ± 3.9) |
| P2 g/L | 11.4 ± 1.7 (86.5 ± 2.4) | 12.1 ± 6.0 (88.5 ± 1.4) | 5.9 ± 1.3 (85.1 ± 3.9) |
| P3 g/L | 11.1 ± 2.4 (86.7 ± 2.3) | 10.8 ± 3.8 (88.8 ± 1.0) | 5.3 ± 1.4 (84.7 ± 3.5) |
© 2020 by the authors. Licensee MDPI, Basel, Switzerland. This article is an open access article distributed under the terms and conditions of the Creative Commons Attribution (CC BY) license (http://creativecommons.org/licenses/by/4.0/).
Share and Cite
Medina, S.C.; Zamora-Vacca, N.; Luna, H.J.; Ratkovich, N.; Rodríguez Susa, M. SMP Production in an Anaerobic Submerged Membrane Bioreactor (AnMBR) at Different Organic Loading Rates. Membranes 2020, 10, 317. https://doi.org/10.3390/membranes10110317
Medina SC, Zamora-Vacca N, Luna HJ, Ratkovich N, Rodríguez Susa M. SMP Production in an Anaerobic Submerged Membrane Bioreactor (AnMBR) at Different Organic Loading Rates. Membranes. 2020; 10(11):317. https://doi.org/10.3390/membranes10110317
Chicago/Turabian StyleMedina, Sandra C., Nataly Zamora-Vacca, Hector J. Luna, Nicolas Ratkovich, and Manuel Rodríguez Susa. 2020. "SMP Production in an Anaerobic Submerged Membrane Bioreactor (AnMBR) at Different Organic Loading Rates" Membranes 10, no. 11: 317. https://doi.org/10.3390/membranes10110317
APA StyleMedina, S. C., Zamora-Vacca, N., Luna, H. J., Ratkovich, N., & Rodríguez Susa, M. (2020). SMP Production in an Anaerobic Submerged Membrane Bioreactor (AnMBR) at Different Organic Loading Rates. Membranes, 10(11), 317. https://doi.org/10.3390/membranes10110317

