Serum SARM1 Levels and Diabetic Peripheral Neuropathy in Type 2 Diabetes: Correlation with Clinical Neuropathy Scales and Nerve Conduction Studies and Impact of COVID-19 vaccination
Abstract
1. Introduction
2. Methodology
2.1. Ethical Consideration
2.2. The Selection of Participants
2.2.1. Inclusion Criteria
2.2.2. Exclusion Criteria
- For patients with type 1 diabetes mellitus (T1DM) (on insulin therapy), the reason for excluding patients on insulin therapy (type 1 diabetes mellitus) is to focus specifically on patients with type 2 diabetes for this particular study. T1DM is a distinct form of diabetes that requires lifelong insulin therapy, and the management approaches for type 1 and type 2 diabetes differ significantly. To clarify the exclusion criteria, our study aimed to investigate the impact of the serum levels of SARM1 on neuropathy in individuals with type 2 diabetes.
- Patients with a history of renal diseases refer to any conditions that affect the kidneys, such as chronic kidney disease, kidney stones, or glomerulonephritis.
- Patients with a history of hepatic diseases, on the other hand, pertain to disorders that impact the liver, including hepatitis, cirrhosis, or liver cancer.
- Patients with a history of malignancies encompass various types of cancer, including but not limited to breast, lung, colon, or prostate cancer. Lastly, blood disorders encompass conditions that affect the blood and its components, such as anemia, hemophilia, or leukemia.
2.2.3. Participant Recruitment
- Group A included subgroup I, HP (n = 18); subgroup II, T2DM (n = 10); and subgroup III, T2DMN (n = 22).
- Group B included subgroup I, HP (n = 12); subgroup II, T2DM (n = 10); and subgroup III, T2DMN (n = 8).
2.2.4. T2DM Assessment
2.2.5. Diabetic Neuropathy Assessment
2.3. Data Collection and Data Collection Tools
2.3.1. Sample Preparation and the Assessment of Biomarkers
2.3.2. Diabetic Neuropathy Assessment
2.3.3. Nerve Conduction Study
2.4. Statistical Analyses
3. Results
3.1. General Characteristics
3.2. Comparison of the Clinical Neuropathy Scores and NCSs
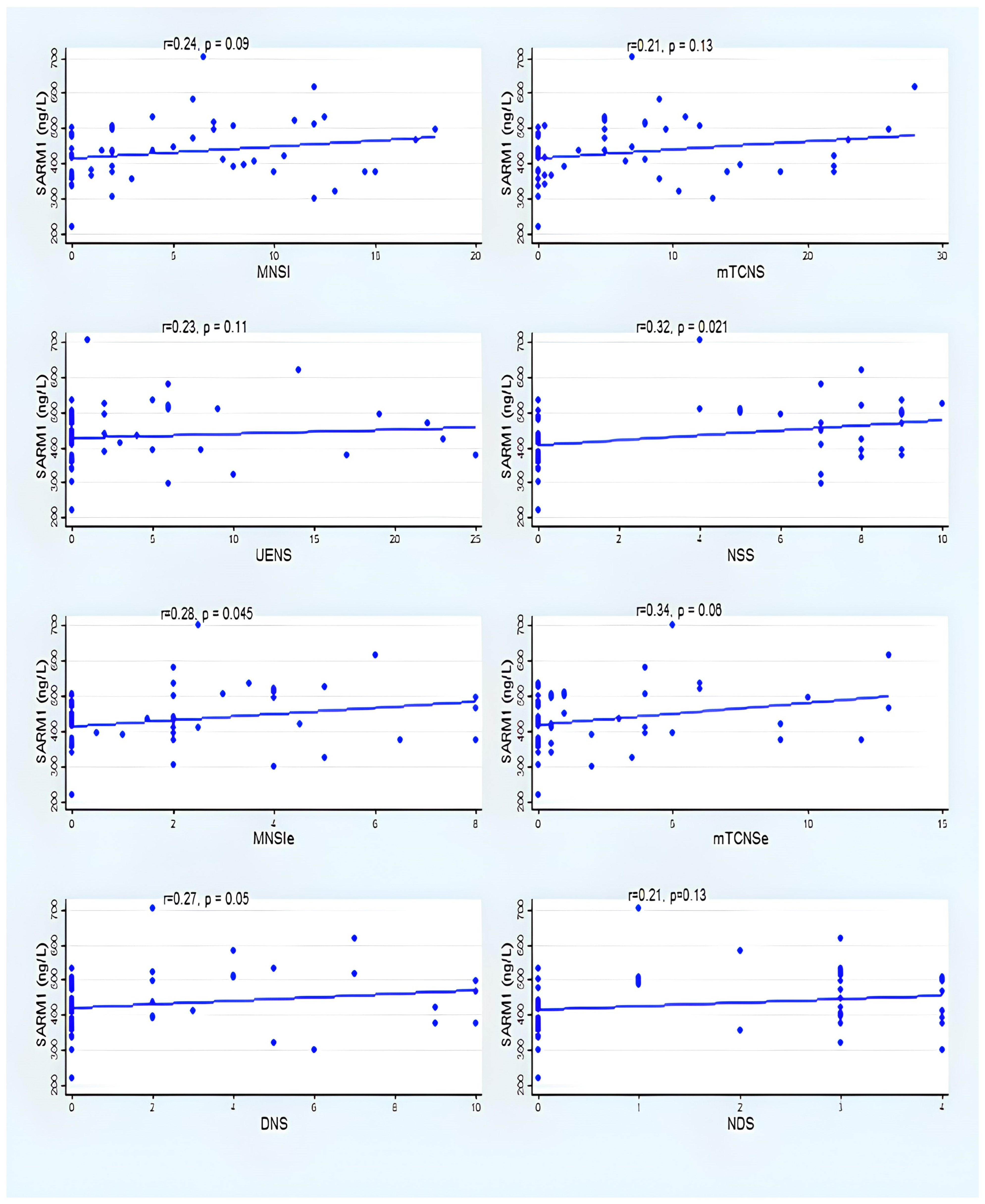
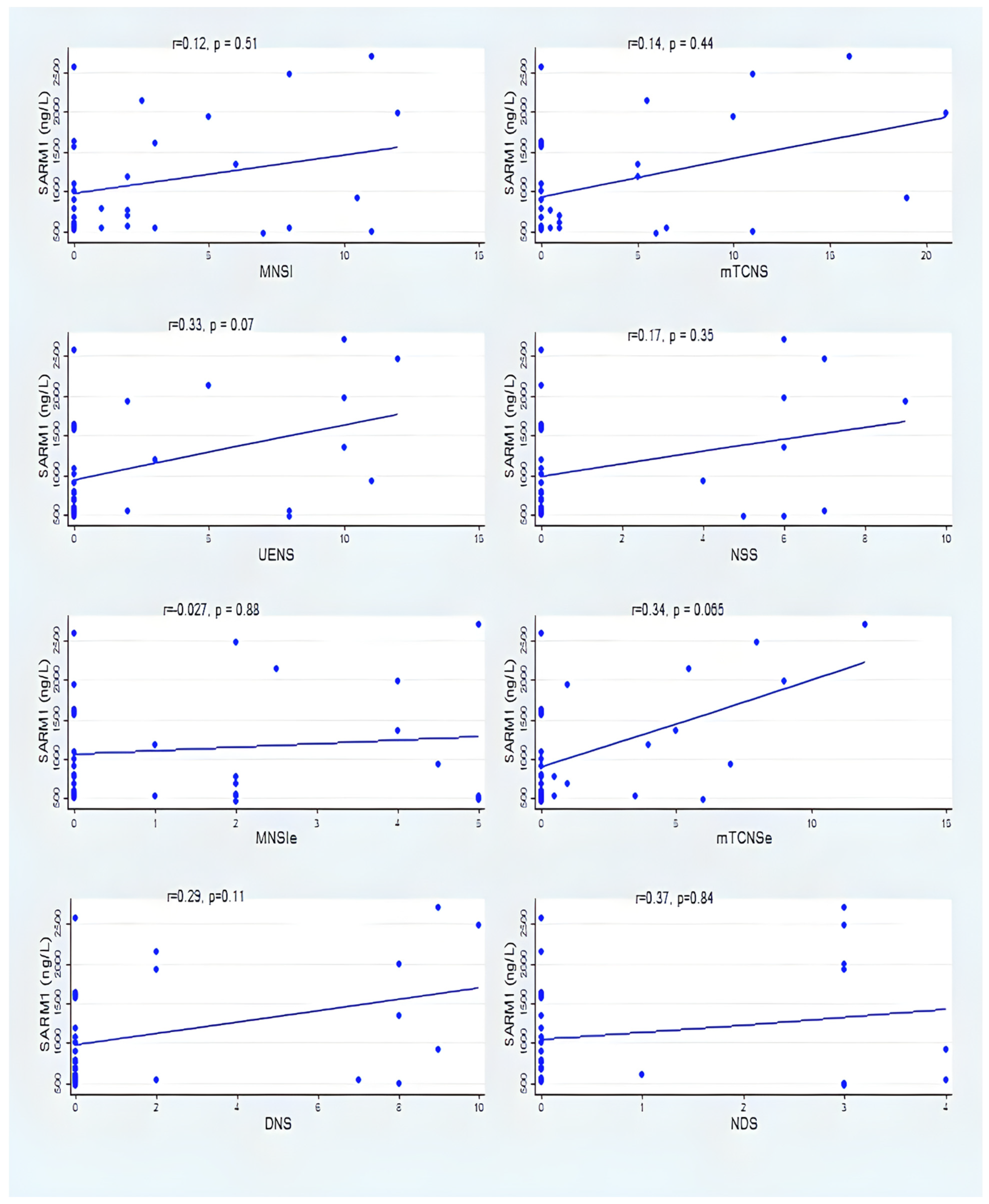
3.3. Correlation between SARM1 and Clinical Parameters
4. Discussion
Strengths and Limitations
5. Conclusions
Supplementary Materials
Author Contributions
Funding
Institutional Review Board Statement
Informed Consent Statement
Data Availability Statement
Acknowledgments
Conflicts of Interest
References
- Pan, Y.; Shao, M.; Li, P.; Xu, C.; Nie, J.; Zhang, K.; Wu, S.; Wu, S.; Xu, F.J. Polyaminoglycoside-mediated cell reprogramming system for the treatment of diabetes mellitus. J. Control. Release 2022, 343, 420–433. [Google Scholar] [CrossRef] [PubMed]
- Wallace, A.S.; Chang, A.R.; Shin, J.-I.; Reider, J.; Echouffo-Tcheugui, J.B.; E Grams, M.; Selvin, E. Obesity and Chronic Kidney Disease in US Adults With Type 1 and Type 2 Diabetes Mellitus. J. Clin. Endocrinol. Metab. 2022, 107, 1247–1256. [Google Scholar] [CrossRef] [PubMed]
- Juster-Switlyk, K.; Smith, A.G. Updates in diabetic peripheral neuropathy. F1000Research 2016, 5, 738. [Google Scholar] [CrossRef] [PubMed]
- Jatooi, N.A.; A Alsulaiman, A.S.; Alromaih, N.J.; Albahrani, B.A.; Alkhattaf, I.M.; Alyami, F.; Alabdrabalrasol, K.A. Prevalence of diabetic peripheral neuropathy among type II diabetic patients in King Fahd University Hospital, Khobar, Kingdom of Saudi Arabia. Hosp. Pr. 2020, 49, 63–70. [Google Scholar] [CrossRef] [PubMed]
- Albers, J.W.; Pop-Busui, R. Diabetic neuropathy: Mechanisms, emerging treatments, and subtypes. Curr. Neurol. Neurosci. Rep. 2014, 8, 473. [Google Scholar] [CrossRef]
- Etienne, I.; Magalhães, L.V.B.; Cardoso, S.A.; de Freitas, R.B.; de Oliveira, G.P.; Palotás, A.; Lima, L.M. Oxidative stress markers in cognitively intact patients with diabetic neuropathy. Brain Res. Bull. 2019, 150, 196–200. [Google Scholar] [CrossRef]
- Chalk, C.; Benstead, T.J.; Moore, F. Aldose reductase inhibitors for the treatment of diabetic polyneuropathy. Cochrane Database Syst. Rev. 2007, 4, CD004572. [Google Scholar] [CrossRef]
- Leinninger, G.M.; Edwards, J.L.; Lipshaw, M.J.; Feldman, E.L. Mechanisms of Disease: Mitochondria as new therapeutic targets in diabetic neuropathy. Nat. Clin. Pr. Neurol. 2006, 2, 620–628. [Google Scholar] [CrossRef]
- Brownlee, M. Biochemistry and molecular cell biology of diabetic complications. Nature 2001, 414, 813–820. [Google Scholar] [CrossRef]
- Giacco, F.; Brownlee, M.; Schmidt, A.M. Oxidative Stress and Diabetic Complications. Circ. Res. 2010, 107, 1058–1070. [Google Scholar] [CrossRef]
- Obrosova, I.G.; Li, F.; Abatan, O.I.; Forsell, M.A.; Komjáti, K.; Pacher, P.; Szabó, C.; Stevens, M.J. Role of Poly(ADP-Ribose) Polymerase Activation in Diabetic Neuropathy. Diabetes 2004, 53, 711–720. [Google Scholar] [CrossRef] [PubMed]
- Bansal, V.; Kalita, J.; Misra, U. Diabetic neuropathy. Postgrad. Med. J. 2006, 964, 95–100. [Google Scholar] [CrossRef] [PubMed]
- Eide, P.K.; Jorum, E.; E Stenehjem, A. Somatosensory findings in patients with spinal cord injury and central dysaesthesia pain. J. Neurol. Neurosurg. Psychiatry 1996, 60, 411–415. [Google Scholar] [CrossRef] [PubMed]
- Marchettini, P.; Lacerenza, M.; Mauri, E.; Marangoni, C. Painful peripheral neuropathies. Curr. Neuropharmacol. 2006, 3, 175–181. [Google Scholar] [CrossRef] [PubMed]
- Cheng, Y.; Liu, J.; Luan, Y.; Liu, Z.; Lai, H.; Zhong, W.; Yang, Y.; Yu, H.; Feng, N.; Wang, H.; et al. Sarm1 Gene Deficiency Attenuates Diabetic Peripheral Neuropathy in Mice. Diabetes 2019, 68, 2120–2130. [Google Scholar] [CrossRef] [PubMed]
- Loring, H.S.; Parelkar, S.S.; Mondal, S.; Thompson, P.R. Identification of the first noncompetitive SARM1 inhibitors. Bioorganic Med. Chem. 2020, 28, 115644. [Google Scholar] [CrossRef] [PubMed]
- Platto, S.; Wang, Y.; Zhou, J.; Carafoli, E. History of the COVID-19 pandemic: Origin, explosion, worldwide spreading. Biochem. Biophys. Res. Commun. 2021, 538, 14–23. [Google Scholar] [CrossRef]
- Shahcheraghi, S.H.; Ayatollahi, J.; Aljabali, A.A.; Shastri, M.D.; Shukla, S.D.; Chellappan, D.K.; Jha, N.K.; Anand, K.; Katari, N.K.; Mehta, M.; et al. An overview of vaccine development for COVID-19. Ther. Deliv. 2021, 12, 235–244. [Google Scholar] [CrossRef]
- Garg, R.K.; Paliwal, V.K. Spectrum of neurological complications following COVID-19 vaccination. Neurol. Sci. 2021, 43, 3–40. [Google Scholar] [CrossRef]
- A Assiri, S.; Althaqafi, R.M.; Alswat, K.; Alghamdi, A.A.; E Alomairi, N.; Nemenqani, D.M.; Ibrahim, Z.S.; Elkady, A. Post COVID-19 Vaccination-Associated Neurological Complications. Neuropsychiatr. Dis. Treat. 2022, ume 18, 137–154. [Google Scholar] [CrossRef]
- Tondo, G.; Virgilio, E.; Naldi, A.; Bianchi, A.; Comi, C. Safety of COVID-19 vaccines: Spotlight on neurological complications. Life 2022, 9, 1338. [Google Scholar] [CrossRef] [PubMed]
- Safavi, F.; Gustafson, L.; Walitt, B.; Lehky, T.; Dehbashi, S.; Wiebold, A.; Mina, Y.; Shin, S.; Pan, B.; Polydefkis, M. Neuropathic symptoms with SARS-CoV-2 vaccination. medRxiv 2022. [Google Scholar] [CrossRef]
- Panneerselvam, P.; Ding, J.L. Beyond TLR signaling—the role of SARM in antiviral immune defense, apoptosis & development. Int. Rev. Immunol. 2015, 34, 432–444. [Google Scholar] [CrossRef] [PubMed]
- Abuzinadah, A.R.; Alkully, H.S.; Alanazy, M.H.; Alrawaili, M.S.M.; Milyani, H.A.; AlAmri, B.; AlShareef, A.A.; Bamaga, A.K. Translation, validation, and diagnostic accuracy of the Arabic version of the Michigan neuropathy screening instrument. Medicine 2021, 100, e27627. [Google Scholar] [CrossRef] [PubMed]
- DiBonaventura, M.D.; Sadosky, A.; Concialdi, K.; Hopps, M.; Kudel, I.; Parsons, B.; Cappelleri, J.C.; Hlavacek, P.; Alexander, A.H.; Stacey, B.R.; et al. The prevalence of probable neuropathic pain in the US: Results from a multimodal general-population health survey. J. Pain Res. 2017, ume 10, 2525–2538. [Google Scholar] [CrossRef]
- Sivadasan, A.; Muthusamy, K.; Patel, B.; Benjamin, R.N.; Prabhakar, A.; Mathew, V.; Aaron, S.; Alexander, M. Clinical spectrum, therapeutic outcomes, and prognostic predictors in Sjogren’s syndrome-associated neuropathy. Ann. Indian Acad. Neurol. 2017, 3, 278–283. [Google Scholar] [CrossRef]
- Buschbacher, R.M.; Prahlow, N.D. Manual of Nerve Conduction Studies, 2nd ed.; Buschbacher, R.M., Ed.; Demos Medical Publishing LLC: New York, NY, USA, 2006. [Google Scholar]
- Funakoshi, M.; Araki, T. Mechanism of initiation and regulation of axonal degeneration with special reference to NMNATs and Sarm1. Neurosci. Res. 2021, 197, 3–8. [Google Scholar] [CrossRef] [PubMed]
- Sundaramoorthy, V.; Green, D.; Locke, K.; O’brien, C.M.; Dearnley, M.; Bingham, J. Novel role of SARM1 mediated axonal degeneration in the pathogenesis of rabies. PLOS Pathog. 2020, 16, e1008343. [Google Scholar] [CrossRef] [PubMed]
- Diamond, M.S.; Kanneganti, T.D. Innate immunity: The first line of defense against SARS-CoV-2. Nat. Immunol. 2022, 2, 165–176. [Google Scholar] [CrossRef]
- Shang, J.; Smith, M.R.; Anmangandla, A.; Lin, H. NAD+-consuming enzymes in immune defense against viral infection. Biochem. J. 2021, 478, 4071–4092. [Google Scholar] [CrossRef]
- Geisler, S.; Doan, R.A.; Strickland, A.; Huang, X.; Milbrandt, J.; DiAntonio, A. Prevention of vincristine-induced peripheral neuropathy by genetic deletion of SARM1 in mice. Brain 2016, 12, 3092–3108. [Google Scholar] [CrossRef]
- Tan, A.; Doig, C.L. NAD+ Degrading Enzymes, Evidence for Roles During Infection. Front. Mol. Biosci. 2021, 8. [Google Scholar] [CrossRef] [PubMed]
- Essuman, K.; Summers, D.W.; Sasaki, Y.; Mao, X.; DiAntonio, A.; Milbrandt, J. The SARM1 Toll/Interleukin-1 Receptor Domain Possesses Intrinsic NAD + Cleavage Activity that Promotes Pathological Axonal Degeneration. Neuron 2017, 93, 1334–1343. [Google Scholar] [CrossRef] [PubMed]
- Turkiew, E.; Falconer, D.; Reed, N.; Höke, A. Deletion of Sarm1 gene is neuroprotective in two models of peripheral neuropathy. J. Peripher. Nerv. Syst. 2017, 22, 162–171. [Google Scholar] [CrossRef]
- Kluding, P.M.; Pasnoor, M.; Singh, R.; Jernigan, S.; Farmer, K.; Rucker, J.; Sharma, N.K.; Wright, D.E. The effect of exercise on neuropathic symptoms, nerve function, and cutaneous innervation in people with diabetic peripheral neuropathy. J. Diabetes Its Complicat. 2012, 26, 424–429. [Google Scholar] [CrossRef]
- Zilliox, L.A.; Ruby, S.K.; Singh, S.; Zhan, M.; Russell, J.W. Clinical neuropathy scales in neuropathy associated with impaired glucose tolerance. J. Diabetes Its Complicat. 2015, 29, 372–377. [Google Scholar] [CrossRef] [PubMed]
- Zhang, Y.; Li, J.; Wang, T.; Wang, J. Amplitude of sensory nerve action potential in early stage diabetic peripheral neuropathy: An analysis of 500 cases. Neural Regen. Res. 2014, 9, 1389–1394. [Google Scholar] [CrossRef] [PubMed]
- Figley, M.D.; DiAntonio, A. The SARM1 axon degeneration pathway: Control of the NAD+ metabolome regulates axon survival in health and disease. Curr. Opin. Neurobiol. 2020, 63, 59–66. [Google Scholar] [CrossRef] [PubMed]
- Hebl, J.R. Peripheral nerve injury. Complicat. Reg. Anesth. Pain Med. 2007, 125–140. [Google Scholar] [CrossRef]
- Bosanac, T.; O Hughes, R.; Engber, T.; Devraj, R.; Brearley, A.; Danker, K.; Young, K.; Kopatz, J.; Hermann, M.; Berthemy, A.; et al. Pharmacological SARM1 inhibition protects axon structure and function in paclitaxel-induced peripheral neuropathy. Brain 2021, 144, 3226–3238. [Google Scholar] [CrossRef]





| Groups | HP (n = 30) (37.5%) | T2DM (n = 20) (25%) | T2DMN (n = 30) (37.5%) |
|---|---|---|---|
| Variables | Median (IQR) (25–75) | ||
| Age (years) | 46 (42.75–54) | 54.5 (46–57.75) | 51.5 (47.7–56.25) |
| Sex, female, n (%) | 17 (56.7) | 9 (45) | 15 (50) |
| DV (month) | 3 (2–4) | 2.5 (2–3) | 3 (2–4) |
| DD (year) | - | 5.50 (3.25–14) | 12.5 (10–18.25) |
| HbA1c (%) | 5.4 (5.1–5.5) | 7 (6.1–7.72) | 7.45 (6.6–8.05) |
| FBG (mmol/L) | 5.15 (4.9–5.4) | 6.65 (5.9–8.65) | 8.05 (6.3–10.05) |
| SARM1 (ng/L) | 437 (375.03–717.8) | 521.4 (441.2–784.78) | 495.3 (404.2–590.08) |
| MNSI-ar (n) (sum score) | 0.5 (0–3.5) | 1.5 (0–11) | 5.50 (2–9.5) |
| mTCNS (n) (sum score) | 0.5 (0–5.5) | 1 (0–14.75) | 6 (1–11.25) |
| UENS (n) (sum score) | 0.00 (0.00–0.00) | 0.00 (0.00–8.75) | 3 (0–10) |
| NSS (n) | 0.00 (0.00–5.50) | 0.00 (0–6) | 2 (0–8) |
| NDS (n) (sum score) | 0.00 (0.00–0.00) | 0.00 (0.00–6.25) | 2 (0–7.25) |
| MS AMP (mV) | 39.45 (35.77–52.54) | 33.17 (25.22–40.72) | 17.8 (9.79–27.65) |
| US AMP (mV) | 26.95 (22.19–38) | 23.22 (15.98–28.63) | 14.1 (7.06–26.05) |
| SS AMP (mV) | 13.37 (9.63–15.65) | 9.32 (8.13–11.76) | 5.32 (1.72–8.81) |
| SPS AMP (mV) | 7.82 (6.43–10.12) | 6.02 (3.88–10.30) | 1.54 (0.00–5.30) |
| Groups | G1 and 2 | G1 and 3 | G2 and 3 | All Groups | ||||||
|---|---|---|---|---|---|---|---|---|---|---|
| MW-U | 95% CI | MW-U | 95% CI | MW-U | 95% CI | KWT | ||||
| Variables | p-value | Lower Bound | Upper Bound | p-value | Lower Bound | Upper Bound | p-value | Lower Bound | Upper Bound | p-value |
| Age (years) | 0.025 | 0.022 | 0.028 | 0.032 | 0.028 | 0.035 | 0.785 | 0.777 | 0.793 | 0.037 |
| DV (month) | 0.295 | 0.286 | 0.303 | 0.323 | 0.314 | 0.332 | 0.986 | 0.984 | 0.988 | 0.484 |
| DD (year) | <0.001 | <0.001 | <0.001 | <0.001 | <0.001 | <0.001 | 0.014 | 0.012 | 0.016 | <0.001 |
| HbA1c (%) | <0.001 | <0.001 | <0.001 | <0.001 | <0.001 | <0.001 | 0.254 | 0.245 | 0.262 | <0.001 |
| FBG (mmol/L) | <0.001 | <0.001 | <0.001 | <0.001 | <0.001 | <0.001 | 0.147 | 0.140 | 0.154 | <0.001 |
| SARM1 (ng/L) | 0.193 | 0.185 | 0.201 | 0.567 | 0.557 | 0.577 | 0.334 | 0.325 | 0.343 | 0.381 |
| MNSI-ar (n) (sum score) | <0.001 | <0.001 | 0.001 | <0.001 | <0.001 | <0.001 | <0.001 | <0.001 | <0.001 | <0.001 |
| mTCNS (n) (sum score) | 0.002 | 0.001 | 0.003 | <0.001 | <0.001 | <0.001 | <0.001 | <0.001 | <0.001 | <0.001 |
| UENS (n) (sum score) | 0.007 | 0.005 | 0.008 | <0.001 | <0.001 | <0.001 | <0.001 | <0.001 | <0.001 | <0.001 |
| NSS (n) | 0.021 | 0.018 | 0.024 | <0.001 | <0.001 | <0.001 | <0.001 | <0.001 | <0.001 | <0.001 |
| NDS (n) (sum score) | 0.024 | 0.021 | 0.027 | <0.001 | <0.001 | <0.001 | <0.001 | <0.001 | <0.001 | <0.001 |
| MS AMP (mV) | 0.005 | 0.004 | 0.007 | <0.001 | <0.001 | <0.001 | <0.001 | <0.001 | <0.001 | <0.001 |
| US AMP (mV) | 0.015 | 0.013 | 0.017 | <0.001 | <0.001 | <0.001 | 0.035 | 0.031 | 0.038 | <0.001 |
| SS AMP (mV) | 0.018 | 0.015 | 0.020 | <0.001 | <0.001 | <0.001 | 0.002 | 0.001 | 0.003 | <0.001 |
| SPS AMP (mV) | 0.103 | 0.097 | 0.109 | <0.001 | <0.001 | <0.001 | <0.001 | <0.001 | <0.001 | <0.001 |
| Groups | Group A | Group B | ||||||
|---|---|---|---|---|---|---|---|---|
| HP (n = 18) | T2DM (n = 10) | T2DMN (n = 22) | p-Value | HP (n = 12) | T2DM (n = 10) | T2DMN (n = 8) | p-Value | |
| Variables | Median ( IQR) (25–75) | KWT | Median ( IQR) (25–75) | KWT | ||||
| Age (years) | 46.5 (42–53.25) | 53 (44.75–58) | 52 (46.75–57.25) | 0.173 | 45.5 (44–54.75) | 55 (46.5–57.5) | 50.5 (48–53.75) | 0.159 |
| Sex, female, n (%) | 12 (66.7) | 6 (54.5) | 11 (50) | - | 5 (41.7) | 3 (33.3) | 4 (50) | - |
| DV (month) | 3 (2–4) | 3.5 (2–4.25) | 3 (1.75–4) | 0.589 | 3.5 (2.25–4.75) | 3 (2–3) | 3.5 (2–4.75) | 0.240 |
| DD (year) | 0.00 (0–0) α, € | 4 (1–8) ¥ | 13 (8.5–18.25) | 0.000 | 0.00 (0–0) α, € | 8 (3.75–15) | 12.5 (10–22.25) | 0.000 |
| HbA1c (%) | 5.4 (5.1–5.5) α, € | 7 (5.97–7.5) | 7.15 (6.57–8) | 0.000 | 5.3 (5.22–5.5) α, € | 7.8 (6.4–8.55) | 7.65 (6.87–9.22) | 0.000 |
| FBG (mmol/L) | 5.15 (4.9–5.52) α, € | 6.5 (5.4–7.8) | 7.85 (6.37–10) | 0.000 | 5.15 (4.82–5.4) α, € | 7.45 (6.2–9.97) | 8.95 (6.65–10.2) | 0.000 |
| SARM1 (ng/L) | 384.8 (362.55–429.25) α, € | 443.7 (409.2–502.8) | 468.1 (388.92–520.07) | 0.022 | 843.6 (619.2–1597.02) | 778.6 (538.6–1368.9) | 1138.1 (497.5–2349.77) | 0.803 |
| MNSI-ar (n) (sum score) | 0.00 (0–1.25) α, € | 2 (1.25–4) ¥ | 10.25 (7.37–12.62) | 0.000 | 0.00 (0–0.75) € | 2 (0–2.62) ¥ | 9.25 (7.25–11) | 0.000 |
| mTCNS (n) (sum score) | 0.00 (0–0.5) α, € | 1.75 (0–5) ¥ | 11.5 (8–22) | 0.000 | 0.00 (0–0) € | 0.5 (0–5.1) ¥ | 11 (6.12–18.25) | 0.000 |
| UENS (n) | 0.00 (0–0) € | 0.00 (0–0.5) ¥ | 6 (2–14.75) | 0.000 | 0.00 (0–0) € | 0.00 (0–2.25) ¥ | 10 (8–10.75) | 0.000 |
| NSS (n) | 0.00 (0–0) α, € | 0.00 (0–5.5) ¥ | 8(6.75–9) | 0.000 | 0.00 (0–0) € | 0.00 (0–0) | 6 (5.25–6.75) | 0.000 |
| NDS (n) | 0.00 (0–0) € | 0.00 (0–0) ¥ | 4 (2–7.5) | 0.000 | 0.00 (0–0) α, € | 0.00 (0–2) ¥ | 8 (7.25–9) | 0.000 |
| MS AMP (mV) | 42.52 (37.07–55.97) € | 39.6 (31.52–49.5) ¥ | 17.8 (9.78–27.65) | 0.000 | 38.65 (33.3–44.06) α, € | 27.3 (20.82–35.13) | 18.72 (9.82–33.17) | 0.003 |
| US AMP (mV) | 34.07 (23.76–46.80) € | 28.6 (19.9–31.3) ¥ | 14.87 (6.82–27.67) | 0.000 | 22.87 (20.35–28.15) α | 17.07 (14.2–25.36) | 13.65 (7.51–24.15) | 0.052 |
| SS AMP (mV) | 14.72 (11.30–16.70) € | 10 (8.3–14.5) ¥ | 6.37 (0.00–10.4) | 0.000 | 11.05 (9.11–14.38) € | 8.7 (5.4–11.22) ¥ | 4.37 (2.77–7.05) | 0.001 |
| SPS AMP (mV) | 8.07 (7.02–10.12) € | 8.05 (4.3–14.1) ¥ | 2.85 (0.00–6.2) | 0.000 | 7.5 (5.8–11.2) € | 5.65 (3.31–7.38) ¥ | 0.32 (0.00–3.92) | 0.002 |
| Variables | Spearman’s rho | Significance (2-tailed) | 95% Confidence Interval | |
|---|---|---|---|---|
| Lower | Upper | |||
| Age (years) | 0.083 | 0.464 | −0.146 | 0.303 |
| DV (month) | −0.028 | 0.802 | −0.253 | 0.199 |
| DD (year) | 0.108 | 0.340 | −0.121 | 0.326 |
| HbA1c (%) | 0.094 | 0.409 | −0.135 | 0.313 |
| FBG (mmol/L) | 0.103 | 0.362 | −0.126 | 0.322 |
| MNSI-ar (n) (sum score) | −0.022 | 0.848 | −0.247 | 0.205 |
| MNSIq (n) | −0.054 | 0.636 | −0.276 | 0.174 |
| MNSIe (n) | 0.036 | 0.753 | −0.192 | 0.260 |
| mTCNS (n) (sum score) | −0.018 | 0.873 | −0.243 | 0.209 |
| mTCNS q (n) | −0.094 | 0.409 | −0.313 | 0.135 |
| mTCNSe (n) | 0.120 | 0.289 | −0.109 | 0.337 |
| UENS(n) (sum score) | 0.108 | 0.342 | −0.121 | 0.326 |
| NSS (n) | −0.013 | 0.910 | −0.238 | 0.214 |
| NDS(n) (sum score) | 0.135 | 0.231 | −0.093 | 0.351 |
| MS AMP (mV) | −0.214 | 0.057 | −0.419 | 0.013 |
| US AMP (mV) | −0.242 | 0.031 | −0.443 | −0.016 |
| RS AMP (mV) | −0.228 | 0.042 | −0.431 | −0.002 |
| SS AMP (mV) | −0.152 | 0.179 | −0.365 | 0.077 |
| SPS AMP (mV) | −0.114 | 0.316 | −0.331 | 0.115 |
| PM AMP (mV) | 0.212 | 0.059 | −0.014 | 0.418 |
| Groups | Group A | Group B | ||||||
|---|---|---|---|---|---|---|---|---|
| Variables | Spearman’s rho | Significance (2-tailed) | 95%CI | Spearman’s rho | Significance (2-tailed) | 95%CI | ||
| Lower | Upper | Lower | Upper | |||||
| Age (years) | 0.156 | 0.280 | −0.136 | 0.423 | 0.082 | 0.667 | −0.297 | 0.438 |
| DV (month) | −0.215 | 0.133 | −0.472 | 0.076 | 0.307 | 0.099 | −0.071 | 0.608 |
| DD (year) | 0.310 | 0.029 | 0.026 | 0.547 | −0.101 | 0.596 | −0.454 | 0.280 |
| HbA1c (%) | 0.267 | 0.061 | −0.021 | 0.514 | −0.100 | 0.598 | −0.453 | 0.280 |
| FBG (mmol/L) | 0.201 | 0.163 | −0.091 | 0.460 | 0.012 | 0.949 | −0.359 | 0.380 |
| MNSI-ar (n) (sum score) | 0.240 | 0.093 | −0.049 | 0.493 | 0.132 | 0.486 | −0.250 | 0.479 |
| MNSIq (n) | 0.198 | 0.168 | −0.093 | 0.458 | 0.190 | 0.316 | −0.194 | 0.523 |
| MNSIe (n) | 0.288 | 0.043 | 0.002 | 0.530 | 0.001 | 0.997 | −0.369 | 0.371 |
| mTCNS (n) (sum score) | 0.217 | 0.130 | −0.074 | 0.474 | 0.146 | 0.440 | −0.236 | 0.490 |
| mTCNS q (n) | 0.175 | 0.223 | −0.117 | 0.439 | 0.038 | 0.841 | −0.337 | 0.402 |
| mTCNSe (n) | 0.267 | 0.060 | −0.020 | 0.514 | 0.340 | 0.066 | −0.034 | 0.631 |
| UENS (n) (sum score) | 0.231 | 0.107 | −0.059 | 0.485 | 0.333 | 0.072 | −0.042 | 0.626 |
| NSS (n) | 0.327 | 0.021 | 0.045 | 0.560 | 0.176 | 0.353 | −0.208 | 0.512 |
| NDS (n) (sum score) | 0.276 | 0.053 | −0.011 | 0.521 | 0.293 | 0.116 | −0.086 | 0.598 |
| MS AMP (mV) | −0.328 | 0.020 | −0.562 | −0.047 | −0.145 | 0.445 | −0.489 | 0.238 |
| US AMP (mV) | −0.085 | 0.557 | −0.362 | 0.206 | −0.162 | 0.391 | −0.502 | 0.221 |
| RS AMP (mV) | −0.062 | 0.667 | −0.342 | 0.228 | −0.081 | 0.670 | −0.438 | 0.298 |
| SS AMP (mV) | −0.099 | 0.495 | −0.374 | 0.193 | −0.035 | 0.853 | −0.400 | 0.339 |
| SPS AMP (mV) | −0.069 | 0.635 | −0.348 | 0.222 | −0.059 | 0.755 | −0.420 | 0.317 |
| PM AMP (mV) | −0.048 | 0.738 | −0.330 | 0.241 | 0.264 | 0.158 | −0.117 | 0.578 |
Disclaimer/Publisher’s Note: The statements, opinions and data contained in all publications are solely those of the individual author(s) and contributor(s) and not of MDPI and/or the editor(s). MDPI and/or the editor(s) disclaim responsibility for any injury to people or property resulting from any ideas, methods, instructions or products referred to in the content. |
© 2024 by the authors. Licensee MDPI, Basel, Switzerland. This article is an open access article distributed under the terms and conditions of the Creative Commons Attribution (CC BY) license (https://creativecommons.org/licenses/by/4.0/).
Share and Cite
Alrawaili, M.S.; Abuzinadah, A.R.; AlShareef, A.A.; Hindi, E.A.; Bamaga, A.K.; Alshora, W.; Sindi, H. Serum SARM1 Levels and Diabetic Peripheral Neuropathy in Type 2 Diabetes: Correlation with Clinical Neuropathy Scales and Nerve Conduction Studies and Impact of COVID-19 vaccination. Vaccines 2024, 12, 209. https://doi.org/10.3390/vaccines12020209
Alrawaili MS, Abuzinadah AR, AlShareef AA, Hindi EA, Bamaga AK, Alshora W, Sindi H. Serum SARM1 Levels and Diabetic Peripheral Neuropathy in Type 2 Diabetes: Correlation with Clinical Neuropathy Scales and Nerve Conduction Studies and Impact of COVID-19 vaccination. Vaccines. 2024; 12(2):209. https://doi.org/10.3390/vaccines12020209
Chicago/Turabian StyleAlrawaili, Moafaq S., Ahmad R. Abuzinadah, Aysha A. AlShareef, Emad A. Hindi, Ahmed K. Bamaga, Weam Alshora, and Hashim Sindi. 2024. "Serum SARM1 Levels and Diabetic Peripheral Neuropathy in Type 2 Diabetes: Correlation with Clinical Neuropathy Scales and Nerve Conduction Studies and Impact of COVID-19 vaccination" Vaccines 12, no. 2: 209. https://doi.org/10.3390/vaccines12020209
APA StyleAlrawaili, M. S., Abuzinadah, A. R., AlShareef, A. A., Hindi, E. A., Bamaga, A. K., Alshora, W., & Sindi, H. (2024). Serum SARM1 Levels and Diabetic Peripheral Neuropathy in Type 2 Diabetes: Correlation with Clinical Neuropathy Scales and Nerve Conduction Studies and Impact of COVID-19 vaccination. Vaccines, 12(2), 209. https://doi.org/10.3390/vaccines12020209

