Live Oral Adenovirus Type 4 and Type 7 Vaccine Induces Durable Antibody Response
Abstract
1. Introduction
2. Materials and Methods
2.1. Study Population
2.2. Colorimetric Microneutralization Assay
2.3. Statistical Analysis
3. Results
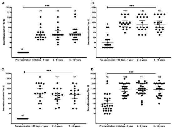
3.1. Significant Antibody Response in the Study Population After Vaccination
3.2. Persistence of Neutralizing Antibody Response to Immunization
4. Discussion
5. Conclusions
Supplementary Materials
Author Contributions
Funding
Acknowledgments
Conflicts of Interest
Disclaimer
References
- Lynch, J.P.; Kajon, A.E. Adenovirus: Epidemiology, Global Spread of Novel Serotypes, and Advances in Treatment and Prevention. Semin. Respir. Crit. Care Med. 2016, 37, 586–602. [Google Scholar] [PubMed]
- Kajon, A.E.; Lamson, D.M.; St George, K. Emergence and re-emergence of respiratory adenoviruses in the United States. Curr. Opin. Virol. 2019, 34, 63–69. [Google Scholar] [CrossRef] [PubMed]
- D’Ambrosio, E.; Del Grosso, N.; Chicca, A.; Midulla, M. Neutralizing antibodies against 33 human adenoviruses in normal children in Rome. J. Hyg. 1982, 89, 155–161. [Google Scholar] [CrossRef] [PubMed]
- Gray, G.C.; McCarthy, T.; Lebeck, M.G.; Schnurr, D.P.; Russell, K.L.; Kajon, A.E.; Landry, M.L.; Leland, D.S.; Storch, G.A.; Ginocchio, C.C.; et al. Genotype prevalence and risk factors for severe clinical adenovirus infection, United States 2004–2006. Clin. Infect. Dis. 2007, 45, 1120–1131. [Google Scholar] [CrossRef]
- Gaydos, C.A.; Gaydos, J.C. Adenovirus vaccines in the U.S. military. Mil. Med. 1995, 160, 300–304. [Google Scholar] [CrossRef]
- Clemmons, N.S.; McCormic, Z.D.; Gaydos, J.C.; Hawksworth, A.W.; Jordan, N.N. Acute Respiratory Disease in US Army Trainees 3 Years after Reintroduction of Adenovirus Vaccine 1. Emerg. Infect. Dis. 2017, 23, 95–98. [Google Scholar] [CrossRef]
- Kuschner, R.A.; Russell, K.L.; Abuja, M.; Bauer, K.M.; Faix, D.J.; Hait, H.; Henrick, J.; Jacobs, M.; Liss, A.; Lynch, J.A.; et al. A phase 3, randomized, double-blind, placebo-controlled study of the safety and efficacy of the live, oral adenovirus type 4 and type 7 vaccine, in U.S. military recruits. Vaccine 2013, 31, 2963–2971. [Google Scholar] [CrossRef]
- Lyons, A.; Longfield, J.; Kuschner, R.; Straight, T.; Binn, L.; Seriwatana, J.; Reitstetter, R.; Froh, I.B.; Craft, D.; McNabb, K.; et al. A double-blind, placebo-controlled study of the safety and immunogenicity of live, oral type 4 and type 7 adenovirus vaccines in adults. Vaccine 2008, 26, 2890–2898. [Google Scholar] [CrossRef]
- Kajon, A.E.; de Jong, J.C.; Dickson, L.M.; Arron, G.; Murtagh, P.; Viale, D.; Carballal, G.; Echavarria, M. Molecular and serological characterization of species B2 adenovirus strains isolated from children hospitalized with acute respiratory disease in Buenos Aires, Argentina. J. Clin. Virol. 2013, 58, 4–10. [Google Scholar] [CrossRef]
- Eick, A.A.; Faix, D.J.; Tobler, S.K.; Nevin, R.L.; Lindler, L.E.; Hu, Z.; Sanchez, J.L.; MacIntosh, V.H.; Russell, K.L.; Gaydos, J.C. Serosurvey of bacterial and viral respiratory pathogens among deployed U.S. service members. Am. J. Prev. Med 2011, 41, 573–580. [Google Scholar] [CrossRef]
- Perdue, C.L.; Eick-Cost, A.A.; Rubertone, M.V. A Brief Description of the Operation of the DoD Serum Repository. Mil. Med. 2015, 180, 10–12. [Google Scholar] [CrossRef] [PubMed]
- Pavlin, J.A.; Welch, R.A. Ethics, Human Use, and the Department of Defense Serum Repository. Mil. Med. 2015, 180, 49–56. [Google Scholar] [CrossRef] [PubMed]
- Crawford-Miksza, L.K.; Schnurr, D.P. Quantitative colorimetric microneutralization assay for characterization of adenoviruses. J. Clin. Microbiol. 1994, 32, 2331–2334. [Google Scholar] [CrossRef] [PubMed]
- Russell, K.L.; Broderick, M.P.; Franklin, S.E.; Blyn, L.B.; Freed, N.E.; Moradi, E.; Ecker, D.J.; Kammerer, P.E.; Osuna, M.A.; Kajon, A.E.; et al. Transmission dynamics and prospective environmental sampling of adenovirus in a military recruit setting. J. Infect. Dis. 2006, 194, 877–885. [Google Scholar] [CrossRef] [PubMed]
- Ludwig, S.L.; Brundage, J.F.; Kelley, P.W.; Nang, R.; Towle, C.; Schnurr, D.P.; Crawford-Miksza, L.; Gaydos, J.C. Prevalence of antibodies to adenovirus serotypes 4 and 7 among unimmunized US Army trainees: Results of a retrospective nationwide seroprevalence survey. J. Infect. Dis. 1998, 178, 1776–1778. [Google Scholar] [CrossRef] [PubMed]
- Hilleman, M.R.; Stallones, R.A.; Gauld, R.L.; Warfield, M.S.; Anderson, S.A. Vaccination against acute respiratory illness of adenovirus (RI-APC-ARD) etiology. Am. J. Public Health Nations Health 1957, 47, 841–847. [Google Scholar] [CrossRef]
- Van der Veen, J.; Abarbanel, M.F.; Oei, K.G. Vaccination with live type 4 adenovirus: Evaluation of antibody response and protective efficacy. J. Hyg. 1968, 66, 499–511. [Google Scholar] [CrossRef]
- Kolavic-Gray, S.A.; Binn, L.N.; Sanchez, J.L.; Cersovsky, S.B.; Polyak, C.S.; Mitchell-Raymundo, F.; Asher, L.V.; Vaughn, D.W.; Feighner, B.H.; Innis, B.L. Large epidemic of adenovirus type 4 infection among military trainees: Epidemiological, clinical, and laboratory studies. Clin. Infect. Dis. 2002, 35, 808–818. [Google Scholar] [CrossRef]
- van der Veen Prins, A. Studies of the significance of the recall phenomenon in the antibody response to adenovirus vaccine and infection. J. Immunol. 1960, 84, 562–568. [Google Scholar]
- Rafajko, R.R. Production and standarization of adenovirus types 1 to 18 reference antisera. Am. J. Hyg. 1964, 79, 310–319. [Google Scholar]
- Stevens, D.A.; Schaeffer, M.; Fox, J.P.; Brandt, C.D.; Romano, M. Standardization and certification of reference antigens and antisera for 30 human adenovirus serotypes. Am. J. Epidemiol. 1967, 86, 617–633. [Google Scholar] [CrossRef] [PubMed]
- Hierholzer, J.C.; Gamble, W.C.; Dowdle, W.R. Reference equine antisera to 33 human adenovirus types: Homologous and heterologous titers. J. Clin. Microbiol. 1975, 1, 65–74. [Google Scholar] [CrossRef] [PubMed]
- Dehghan, S.; Seto, J.; Liu, E.B.; Walsh, M.P.; Dyer, D.W.; Chodosh, J.; Seto, D. Computational analysis of four human adenovirus type 4 genomes reveals molecular evolution through two interspecies recombination events. Virology 2013, 443, 197–207. [Google Scholar] [CrossRef] [PubMed]
- Kajon, A.E.; Hang, J.; Hawksworth, A.; Metzgar, D.; Hage, E.; Hansen, C.J.; Kuschner, R.A.; Blair, P.; Russell, K.L.; Jarman, R.G. Molecular Epidemiology of Adenovirus Type 21 Respiratory Strains Isolated from US Military Trainees (1996–2014). J. Infect. Dis. 2015, 212, 871–880. [Google Scholar] [CrossRef] [PubMed]
- Binn, L.N.; Sanchez, J.L.; Gaydos, J.C. Emergence of adenovirus type 14 in US military recruits—A new challenge. J. Infect. Dis. 2007, 196, 1436–1437. [Google Scholar] [CrossRef] [PubMed]
- Ko, J.-H.H.; Woo, H.-T.T.; Oh, H.S.; Moon, S.M.; Choi, J.Y.; Lim, J.U.; Kim, D.; Byun, J.; Kwon, S.-H.H.; Kang, D.; et al. Ongoing outbreak of human adenovirus-associated acute respiratory illness in the Republic of Korea military, 2013 to 2018. Korean J. Intern. Med. 2019, 92. Epub ahead of print. [Google Scholar] [CrossRef]
- Yoo, H.; Gu, S.H.; Jung, J.; Song, D.H.; Yoon, C.; Hong, D.J.; Lee, E.Y.; Seog, W.; Hwang, I.-U.; Lee, D.; et al. Febrile Respiratory Illness Associated with Human Adenovirus Type 55 in South Korea Military, 2014–2016. Emerg. Infect. Dis. 2017, 23, 1016–1020. [Google Scholar] [CrossRef]
- Hang, J.; Vento, T.J.; Norby, E.A.; Jarman, R.G.; Keiser, P.B.; Kuschner, R.A.; Binn, L.N. Adenovirus type 4 respiratory infections with a concurrent outbreak of coxsackievirus A21 among United States Army Basic Trainees, a retrospective viral etiology study using next-generation sequencing. J. Med. Virol. 2017, 89, 1387–1394. [Google Scholar] [CrossRef]
- Houng, H.-S.H.; Gong, H.; Kajon, A.E.; Jones, M.S.; Kuschner, R.A.; Lyons, A.; Lott, L.; Lin, K.-H.H.; Metzgar, D. Genome sequences of human adenovirus 14 isolates from mild respiratory cases and a fatal pneumonia, isolated during 2006–2007 epidemics in North America. Respir. Res. 2010, 11, 116. [Google Scholar] [CrossRef]
- Hoke, C.H.; Hawksworth, A.; Snyder, C.E. Initial assessment of impact of adenovirus type 4 and type 7 vaccine on febrile respiratory illness and virus transmission in military basic trainees, March 2012. MSMR 2012, 19, 2–4. [Google Scholar]
- Hoke, C.H.; Snyder, C.E. History of the restoration of adenovirus type 4 and type 7 vaccine, live oral (adenovirus Vaccine) in the context of the Department of Defense acquisition system. Vaccine 2013, 31, 1623–1632. [Google Scholar] [CrossRef] [PubMed]
- Bellanti, J.A.; Artenstein, M.S.; Brandt, B.L.; Klutinis, B.S.; Buescher, E.L. Immunoglobulin responses in serum and nasal secretions after natural adenovirus infections. J. Immunol. 1969, 103, 891–898. [Google Scholar] [PubMed]
- Nishio, O.; Sakae, K.; Ishihara, Y.; Isomura, S.; Inouye, S. Adenovirus infection and specific secretory IgA responses in the intestine of infants. Microbiol. Immunol. 1992, 36, 623–631. [Google Scholar] [CrossRef] [PubMed]
- Smith, T.J.; Buescher, E.L.; Top, F.H.; Altemeier, W.A.; McCown, J.M. Experimental respiratory infection with type 4 adenovirus vaccine in volunteers: Clinical and immunological responses. J. Infect. Dis. 1970, 122, 239–248. [Google Scholar] [CrossRef] [PubMed]
- Scott, R.M.; Dudding, B.A.; Romano, S.V.; Russell, P.K. Enteric immunization with live adenovirus type 21 vaccine. II. Systemic and local immune responses following immunization. Infect. Immun. 1972, 5, 300–304. [Google Scholar] [CrossRef] [PubMed]
- Kajon, A.E.; Lamson, D.M.; Bair, C.R.; Lu, X.; Landry, M.L.; Menegus, M.; Erdman, D.D.; St George, K. Adenovirus Type 4 Respiratory Infections among Civilian Adults, Northeastern United States, 2011–2015. Emerg. Infect. Dis. 2018, 24, 201–209. [Google Scholar] [CrossRef]
- Kajon, A.E.; Ison, M.G. Severe infections with human adenovirus 7d in 2 adults in family, Illinois, USA, 2014. Emerg. Infect. Dis. 2016, 22, 730–733. [Google Scholar] [CrossRef]

| Vaccination and Immune Status | Adenovirus-4 | Adenovirus-7 | ||
|---|---|---|---|---|
| Seronegative (% or CI) | Seropositive (% or CI) | Seronegative (% or CI) | Seropositive (% or CI) | |
| Baseline serostatus | 18 (30%) | 42 (70%) | 18 (30%) | 42 (70%) |
| Seroconversion/4-fold increase * | 18 (100%) | 18 (43%) | 16 (89%) | 25 (60%) |
| Pre-vaccination GMT | <4 | 8 (5–13) | <4 | 16 (10–26) |
| <30–1 year GMT | 26 (17–39) | 110 (76–161) | 69 (38–126) | 120 (87–165) |
| Time Post-Vaccination | Adenovirus-4 | Adenovirus-7 | ||||
|---|---|---|---|---|---|---|
| Seropositive * | Subjects with 4-Fold decrease | Subjects with 4-Fold increase | Seropositive * | Subjects with 4-Fold decrease | Subjects with 4-Fold increase | |
| >30 Days–1 Year | 36 (100%) | 0 (0%) | 0 (0%) | 41(100%) | 0 (0%) | 0 (0%) |
| 2–3 Years | 36 (100%) | 0 (0%) | 1 (2.8%) | 41 (100%) | 1 (2.4%) | 3 (7.3%) |
| 5–6 Years ** | 36 (100%) | 0 (0%) | 1 (2.8%) | 41 (100%) | 2 (4.9%) | 1 (2.4%) |
© 2020 by the authors. Licensee MDPI, Basel, Switzerland. This article is an open access article distributed under the terms and conditions of the Creative Commons Attribution (CC BY) license (http://creativecommons.org/licenses/by/4.0/).
Share and Cite
Collins, N.D.; Adhikari, A.; Yang, Y.; Kuschner, R.A.; Karasavvas, N.; Binn, L.N.; Walls, S.D.; Graf, P.C.F.; Myers, C.A.; Jarman, R.G.; et al. Live Oral Adenovirus Type 4 and Type 7 Vaccine Induces Durable Antibody Response. Vaccines 2020, 8, 411. https://doi.org/10.3390/vaccines8030411
Collins ND, Adhikari A, Yang Y, Kuschner RA, Karasavvas N, Binn LN, Walls SD, Graf PCF, Myers CA, Jarman RG, et al. Live Oral Adenovirus Type 4 and Type 7 Vaccine Induces Durable Antibody Response. Vaccines. 2020; 8(3):411. https://doi.org/10.3390/vaccines8030411
Chicago/Turabian StyleCollins, Natalie D., Anima Adhikari, Yu Yang, Robert A. Kuschner, Nicos Karasavvas, Leonard N. Binn, Shannon D. Walls, Paul C. F. Graf, Christopher A. Myers, Richard G. Jarman, and et al. 2020. "Live Oral Adenovirus Type 4 and Type 7 Vaccine Induces Durable Antibody Response" Vaccines 8, no. 3: 411. https://doi.org/10.3390/vaccines8030411
APA StyleCollins, N. D., Adhikari, A., Yang, Y., Kuschner, R. A., Karasavvas, N., Binn, L. N., Walls, S. D., Graf, P. C. F., Myers, C. A., Jarman, R. G., & Hang, J. (2020). Live Oral Adenovirus Type 4 and Type 7 Vaccine Induces Durable Antibody Response. Vaccines, 8(3), 411. https://doi.org/10.3390/vaccines8030411

