Impact of Influenza Vaccination on Mortality in the Oldest Old: A Propensity Score-Matched Cohort Study
Abstract
1. Introduction
2. Materials and Methods
2.1. Study Design
2.2. Patients
2.3. Data Collection
2.4. Outcome
2.5. Statistical Analyses
3. Results
3.1. Patients Characteristics
3.2. Vaccination Coverage
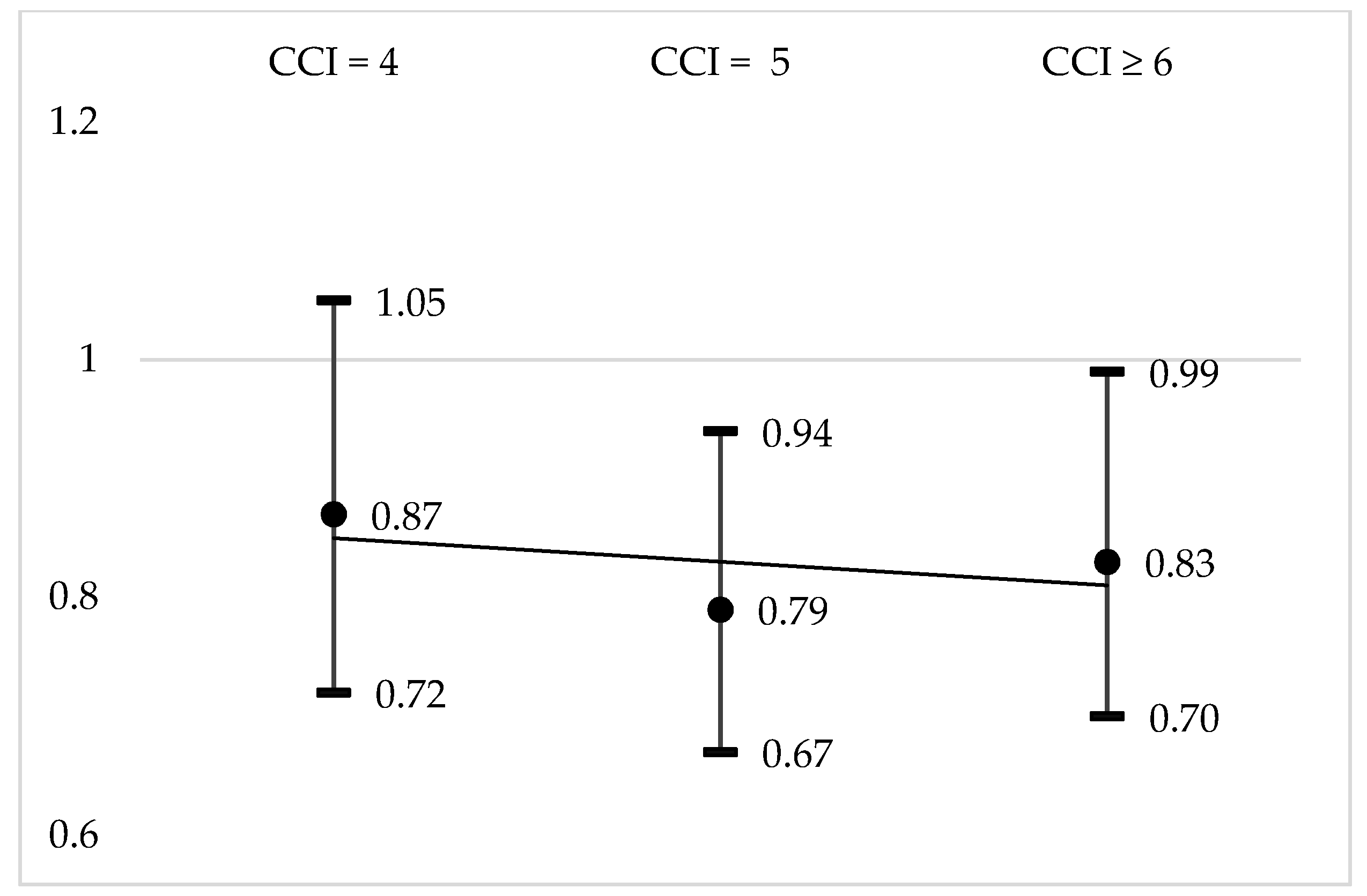
3.3. Mortality
4. Discussion
5. Conclusions
Author Contributions
Funding
Acknowledgments
Conflicts of Interest
References
- Thompson, W.; Shay, D.; Weintraub, E.; Brammer, L.; Cox, N.; Anderson, L.J.; Fukuda, K. Mortality Associated with Influenza and Respiratory Syncytial Virus in the United States. JAMA 2003, 289, 179–186. [Google Scholar] [CrossRef]
- Thompson, W.; Shay, D.; Weintraub, E.; Brammer, L.; Bridges, C.B.; Cox, N.; Fukuda, K. Influenza-Associated Hospitalizations in the United States. JAMA 2004, 292, 1333. [Google Scholar] [CrossRef]
- OMS. Grippe. Available online: http://www.who.int/topics/influenza/fr/ (accessed on 28 September 2019).
- Iuliano, A.D.; Roguski, K.M.; Chang, H.H.; Muscatello, D.J.; Palekar, R.; Tempia, S.; Cohen, C.; Gran, J.M.; Schanzer, D.L.; Cowling, B.J.; et al. Estimates of global seasonal influenza-associated respiratory mortality: A modelling study. Lancet 2017, 391, 1285–1300. [Google Scholar] [CrossRef]
- Simonsen, L.; Reichert, T.A.; Viboud, C.; Blackwelder, W.C.; Taylor, R.J.; Miller, M.A. Impact of Influenza Vaccination on Seasonal Mortality in the US Elderly Population. Arch. Intern. Med. 2005, 165, 265. [Google Scholar] [CrossRef]
- Nichol, K.L.; Mullooly, J.; Lask, R.; Fillbrandt, K.; Iwane, M.; Nordin, J. Influenza Vaccination and Reduction in Hospitalizations for Cardiac Disease and Stroke among the Elderly. N. Engl. J. Med. 2003, 348, 1322–1332. [Google Scholar] [CrossRef] [PubMed]
- Clar, C.; Oseni, Z.; Flowers, N.; Rees, K.; Jahromi, M.K. Influenza vaccines for preventing cardiovascular disease. Cochrane Database Syst. Rev. 2015, 5, CD005050. [Google Scholar] [CrossRef]
- Govaert, T.M.; Thijs, C.T.; Masurel, N.; Sprenger, M.J.; Dinant, G.J.; Knottnerus, J.A. The efficacy of influenza vaccination in elderly individuals. A randomized double-blind placebo-controlled trial. JAMA 1994, 272, 1661–1665. [Google Scholar] [CrossRef] [PubMed]
- Gross, P.A.; Hermogenes, A.W.; Sacks, H.S.; Lau, J.; Levandowski, R.A. The Efficacy of Influenza Vaccine in Elderly Persons. Ann. Intern. Med. 1995, 123, 518. [Google Scholar] [CrossRef] [PubMed]
- Vu, T.; Farish, S.; Jenkins, M.A.; Kelly, H. A meta-analysis of effectiveness of influenza vaccine in persons aged 65 years and over living in the community. Vaccine 2002, 20, 1831–1836. [Google Scholar] [CrossRef]
- Jefferson, T.; Rivetti, D.; Rivetti, A.; Rudin, M.; Di Pietrantonj, C.; Demicheli, V. Efficacy and effectiveness of influenza vaccines in elderly people: A systematic review. Lancet 2005, 366, 1165–1174. [Google Scholar] [CrossRef]
- Chang, Y.-C.; Tung, H.-J.; Huang, Y.-T.; Lu, C.-T.; Ernawaty, E.; Wu, S.-Y. Effect of Influenza Vaccination on Mortality and Risk of Hospitalization in Elderly Individuals with and without Disabilities: A Nationwide, Population-Based Cohort Study. Vaccines 2020, 8, 112. [Google Scholar] [CrossRef] [PubMed]
- Chang, Y.-C.; Yu-Tung, H.; Chen, L.-S.; Tung, H.-J.; Huang, K.-H.; Ernawaty, E.; Wu, S.-Y. Protective Effect of Seasonal Influenza Vaccination in Elderly Individuals with Disability in Taiwan: A Propensity Score–Matched, Nationwide, Population-Based Cohort Study. Vaccines 2020, 8, 140. [Google Scholar] [CrossRef]
- Demicheli, V.; Jefferson, T.; Pietrantonj, C.D.; Ferroni, E.; Thorning, S.; Thomas, R.E.; Rivetti, A. Vaccines for preventing influenza in the elderly. Cochrane Database Syst. Rev. 2018, 2018, CD004876. [Google Scholar] [CrossRef] [PubMed]
- Rizzo, C.; Viboud, C.; Montomoli, E.; Simonsen, L.; Miller, M.A. Influenza-related mortality in the Italian elderly: No decline associated with increasing vaccination coverage. Vaccine 2006, 24, 6468–6475. [Google Scholar] [CrossRef] [PubMed]
- McElhaney, J.E.; Verschoor, C.P.; Andrew, M.K.; Haynes, L.; Kuchel, G.A.; Pawelec, G. The immune response to influenza in older humans: Beyond immune senescence. Immun. Ageing 2020, 17, 1–10. [Google Scholar] [CrossRef] [PubMed]
- Goodwin, K.; Viboud, C.; Simonsen, L. Antibody response to influenza vaccination in the elderly: A quantitative review. Vaccine 2006, 24, 1159–1169. [Google Scholar] [CrossRef] [PubMed]
- Jackson, L.A.; Nelson, J.C.; Benson, P.; Neuzil, K.M.; Reid, R.J.; Psaty, B.M.; Heckbert, S.R.; Larson, E.B.; Weiss, N.S. Functional status is a confounder of the association of influenza vaccine and risk of all cause mortality in seniors. Int. J. Epidemiol. 2005, 35, 345–352. [Google Scholar] [CrossRef] [PubMed]
- Gutiérrez-González, E.; Cantero-Escribano, J.M.; Redondo-Bravo, L.; Juan-Sanz, I.S.; Robustillo-Rodela, A.; Cendejas-Bueno, E.; Influenza Working Group. Effect of vaccination, comorbidities and age on mortality and severe disease associated with influenza during the season 2016–2017 in a Spanish tertiary hospital. J. Infect. Public Health 2019, 12, 486–491. [Google Scholar] [CrossRef]
- Schanzer, D.L.; Langley, J.M.; Tam, T.W. Co-morbidities associated with influenza-attributed mortality, 1994–2000, Canada. Vaccine 2008, 26, 4697–4703. [Google Scholar] [CrossRef]
- Charlson, M.E.; Pompei, P.; Ales, K.L.; MacKenzie, C. A new method of classifying prognostic comorbidity in longitudinal studies: Development and validation. J. Chronic Dis. 1987, 40, 373–383. [Google Scholar] [CrossRef]
- World Health Organization. Vaccines against influenza WHO position paper—November 2012. Wkly. Epidemiol. Rec. 2012, 47, 461–476. [Google Scholar]
- Voordouw, A.C.G.; Sturkenboom, M.C.J.M.; Dieleman, J.; Stijnen, T.; Smith, D.J.; Van Der Lei, J.; Stricker, B.H. Annual Revaccination Against Influenza and Mortality Risk in Community-Dwelling Elderly Persons. JAMA 2004, 292, 2089–2095. [Google Scholar] [CrossRef] [PubMed]
- Bellino, S.; Piovesan, C.; Bella, A.; Rizzo, C.; Pezzotti, P.; Ramigni, M. Determinants of vaccination uptake, and influenza vaccine effectiveness in preventing deaths and hospital admissions in the elderly population; Treviso, Italy, 2014/2015–2016/2017 seasons. Hum. Vaccines Immunother. 2019, 16, 301–312. [Google Scholar] [CrossRef] [PubMed]
- Ortqvist, A.; Granath, F.; Askling, J.; Hedlund, J. Influenza vaccination and mortality: Prospective cohort study of the elderly in a large geographical area. Eur. Respir. J. 2007, 30, 414–422. [Google Scholar] [CrossRef] [PubMed]
- Campitelli, M.A.; Rosella, L.C.; Stukel, T.A.; Kwong, J.C. Influenza vaccination and all-cause mortality in community-dwelling elderly in Ontario, Canada, a cohort study. Vaccine 2010, 29, 240–246. [Google Scholar] [CrossRef]
- Jackson, L.A.; Jackson, M.L.; Nelson, J.C.; Neuzil, K.M.; Weiss, N.S. Evidence of bias in estimates of influenza vaccine effectiveness in seniors. Int. J. Epidemiol. 2005, 35, 337–344. [Google Scholar] [CrossRef]
- Robert, J.; Detournay, B.; Levant, M.; Uhart, M.; Gourmelen, J.; Cohen, J. Flu vaccine coverage for recommended populations in France. Med. Mal. Infect. 2019. [Google Scholar] [CrossRef]
- Santé Publique France. Influenza Vaccine Coverage by Age Group. Available online: https://www.santepubliquefrance.fr/determinants-de-sante/vaccination/articles/donnees-de-couverture-vaccinale-grippe-par-groupe-d-age (accessed on 30 October 2019).
- Bossuyt, N.; Damme, P.V.; Grammens, T.; Nadezhda, V.; Filipova, R.; Kyncl, J.; Havlickova, M.; Kostalova, J.; Koliou, M.; Visekruna, V.V.; et al. Seasonal Influenza Vaccination and Antiviral Use in EU/EEA Member States—Overview of Vaccine Recommendations for 2017–2018 and Vaccination Coverage Rates for 2015–2016 and 2016–2017 Influenza Seasons; European Centre for Disease Prevention and Control: Stockholm, Sweden, 2018. [Google Scholar]
- Shah, S.M.; Harris, T.; Harris, T.; Dewilde, S.; Cook, D. The impact of dementia on influenza vaccination uptake in community and care home residents. Age Ageing 2011, 41, 64–69. [Google Scholar] [CrossRef]
- Landi, F.; Onder, G.; Carpenter, I.; Garms-Homolová, V.; Bernabei, R. Prevalence and predictors of influenza vaccination among frail, community-living elderly patients: An International Observational Study. Vaccine 2005, 23, 3896–3901. [Google Scholar] [CrossRef]
- Liu, E.; Dyer, S.M.; O’Donnell, L.K.; Milte, R.; Bradley, C.; Harrison, S.L.; Gnanamanickam, E.; Whitehead, C.; Crotty, M. Association of cardiovascular system medications with cognitive function and dementia in older adults living in nursing homes in Australia. J. Geriatr. Cardiol. 2017, 14, 407–415. [Google Scholar]
- Mangtani, P.; Cumberland, P.; Hodgson, C.R.; Roberts, J.A.; Cutts, F.; Hall, A. A Cohort Study of the Effectiveness of Influenza Vaccine in Older People, Performed Using the United Kingdom General Practice Research Database. J. Infect. Dis. 2004, 190, 1–10. [Google Scholar] [CrossRef] [PubMed]
- Andrew, M.K.; Shinde, V.; Ye, L.; Hatchette, T.; Haguinet, F.; Dos Santos, G.; McElhaney, J.E.; Ambrose, A.; Boivin, G.; Bowie, W.; et al. The Importance of Frailty in the Assessment of Influenza Vaccine Effectiveness Against Influenza-Related Hospitalization in Elderly People. J. Infect. Dis. 2017, 216, 405–414. [Google Scholar] [CrossRef] [PubMed]
- Meshefedjian, G.A.; Ouimet, M.-J.; Frigault, L.-R.; Leaune, V.; Azzou, S.A.K.; Simoneau, M.-È. Association of Material Deprivation Status, Access to Health Care Services, and Lifestyle With Screening and Prevention of Disease, Montreal, Canada, 2012. Prev. Chronic Dis. 2016, 13. [Google Scholar] [CrossRef] [PubMed]



| Before Matching | After Matching | |||||
|---|---|---|---|---|---|---|
| Characteristics | Vaccinated | Unvaccinated | p | Vaccinated | Unvaccinated | p |
| n = 4380 | n = 4769 | n = 3935 | n = 3935 | |||
| Age | 86.5 [83.5–90.3] | 86.5 [83.5–90.1] | 0.8 | 86.6 [83.5–90.1] | 86.5 [83.5–90.2] | 0.7 |
| 80–90 years | 3248 (74.2) | 3488 (73.1) | 0.3 | 2919 (74.2) | 2891 (73.5) | 0.5 |
| >90 years | 1132 (25.8) | 1281 (26.9) | 0.3 | 1016 (25.8) | 1044 (26.5) | 0.5 |
| Sex | ||||||
| Female | 2538 (57.9) | 3038 (63.7) | <0.001 | 2356 (59.9) | 2348 (59.7) | 0.9 |
| Male | 1842 (42.1) | 1731 (36.3) | <0.001 | 1579 (40.1) | 1587 (40.3) | 0.9 |
| Pneumococcal vaccination | 154 (3.5) | 74 (1.6) | <0.001 | 83 (2.1) | 73 (1.9) | 0.4 |
| Chronic disease | ||||||
| Stroke | 218 (5.0) | 178 (3.7) | 0.003 | 165 (4.2) | 159 (4.0) | 0.7 |
| Peripheral arterial disease | 287 (6.6) | 234 (4.9) | 0.001 | 227 (5.8) | 227 (5.8) | 1.0 |
| Heart failure | 962 (22.0) | 849 (17.8) | <0.001 | 817 (20.8) | 769 (19.5) | 0.2 |
| Chronic liver disease | 4 (0.1) | 6 (0.1) | 0.6 | 4 (0.1) | 5 (0.1) | 0.7 |
| Diabetes | 528 (12.1) | 481 (10.1) | 0.003 | 453 (11.5) | 437 (11.1) | 0.6 |
| Hypertension | 223 (5.1) | 161 (3.4) | <0.001 | 171 (4.3) | 161 (4.1) | 0.6 |
| Coronary artery disease | 387 (8.8) | 354 (7.4) | 0.01 | 343 (8.7) | 337 (8.6) | 0.8 |
| Respiratory failure | 151 (3.4) | 47 (1.0) | <0.001 | 57 (1.4) | 46 (1.2) | 0.3 |
| Cognitive disorders | 282 (6.4) | 309 (6.5) | 0.9 | 261 (6.6) | 280 (7.1) | 0.4 |
| Parkinson’s disease | 45 (1.0) | 113 (2.4) | <0.001 | 44 (1.1) | 28 (0.7) | 0.06 |
| Chronic kidney disease | 71 (1.6) | 46 (1.0) | 0.005 | 52 (1.3) | 46 (1.2) | 0.5 |
| Psychiatric disorders | 62 (1.4) | 70 (1.5) | 0.8 | 56 (1.4) | 56 (1.4) | 1.0 |
| Neoplasia | 516 (11.8) | 464 (9.7) | 0.002 | 443 (11.3) | 431 (11.0) | 0.7 |
| Other chronic diseases | 197 (4.5) | 151 (3.2) | 0.001 | 150 (3.8) | 149 (3.8) | 1.0 |
| Other neurological diseases | 31 (0.7) | 32 (0.7) | 0.8 | 28 (0.7) | 29 (0.7) | 0.9 |
| Immunosuppression | 87 (2.0) | 88 (1.8) | 0.6 | 74 (1.9) | 76 (1.9) | 0.9 |
| Number of chronic diseases | ||||||
| 0 | 1677 (38.3) | 2219 (46.5) | <0.001 | 1633 (41.5) | 1690 (42.9) | 0.5 |
| 1 | 1651 (37.7) | 1709 (35.8) | <0.001 | 1459 (37.1) | 1451 (36.9) | 0.5 |
| 2 | 782 (17.9) | 629 (13.2) | <0.001 | 643 (16.3) | 602 (15.3) | 0.5 |
| 3 | 290 (6.2) | 212 (4.4) | <0.001 | 200 (5.1) | 192 (4.9) | 0.5 |
| Charlson Comorbidity Index | 5 [4,5] | 5 [4,6] | <0.001 | 5 [4,5] | 5 [4,6] | 0.8 |
| <5 | 1696 (38.7) | 2087 (43.8) | <0.001 | 1625 (41.3) | 1612 (41.0) | 0.8 |
| ≥5 | 2684 (61.3) | 2682 (56.2) | <0.001 | 2310 (58.7) | 2323 (59.0) | 0.8 |
| Deaths | 935 (21.3) | 1149 (24.1) | 0.002 | 827 (21.0) | 943 (24.0) | 0.002 |
© 2020 by the authors. Licensee MDPI, Basel, Switzerland. This article is an open access article distributed under the terms and conditions of the Creative Commons Attribution (CC BY) license (http://creativecommons.org/licenses/by/4.0/).
Share and Cite
Walzer, P.; Estève, C.; Barben, J.; Menu, D.; Cuenot, C.; Manckoundia, P.; Putot, A. Impact of Influenza Vaccination on Mortality in the Oldest Old: A Propensity Score-Matched Cohort Study. Vaccines 2020, 8, 356. https://doi.org/10.3390/vaccines8030356
Walzer P, Estève C, Barben J, Menu D, Cuenot C, Manckoundia P, Putot A. Impact of Influenza Vaccination on Mortality in the Oldest Old: A Propensity Score-Matched Cohort Study. Vaccines. 2020; 8(3):356. https://doi.org/10.3390/vaccines8030356
Chicago/Turabian StyleWalzer, Pauline, Clémentine Estève, Jeremy Barben, Didier Menu, Christine Cuenot, Patrick Manckoundia, and Alain Putot. 2020. "Impact of Influenza Vaccination on Mortality in the Oldest Old: A Propensity Score-Matched Cohort Study" Vaccines 8, no. 3: 356. https://doi.org/10.3390/vaccines8030356
APA StyleWalzer, P., Estève, C., Barben, J., Menu, D., Cuenot, C., Manckoundia, P., & Putot, A. (2020). Impact of Influenza Vaccination on Mortality in the Oldest Old: A Propensity Score-Matched Cohort Study. Vaccines, 8(3), 356. https://doi.org/10.3390/vaccines8030356

