Tick Bites Induce Anti-α-Gal Antibodies in Dogs
Abstract
1. Introduction
2. Materials and Methods
2.1. Dog Sera
2.2. Antigen Preparation from Tick Salivary Glands
2.3. Indirect ELISA
2.4. Inhibition ELISA
2.5. Enzymatic Removal of α-Gal to Test the Specificity of Canine Antibodies
2.6. Experimental Infestation of Dogs with Ixodes ricinus
2.7. In Vitro Culture of IRE/CTVM20 Tick Cells and Human HL-60 Undifferentiated Promyelocytic Cells
2.8. Borrelia burgdorferi Culture
2.9. Anaplasma phagocytophilum Culture and Purification
2.10. Bacterial Preparation for Flow Cytometry
2.11. α-Gal Detection by Flow Cytometry and Immunofluorescence in Human, Tick, and Bacterial Cells
2.12. Statistical Analyses
2.13. Ethical Statement
3. Results and Discussion
3.1. Detection of Antibodies to α-Gal and the Specificity of the Immune Responses to the Glycan Epitope in Dogs
3.2. Tick Bites Induce the Immune Response to α-Gal in Dogs
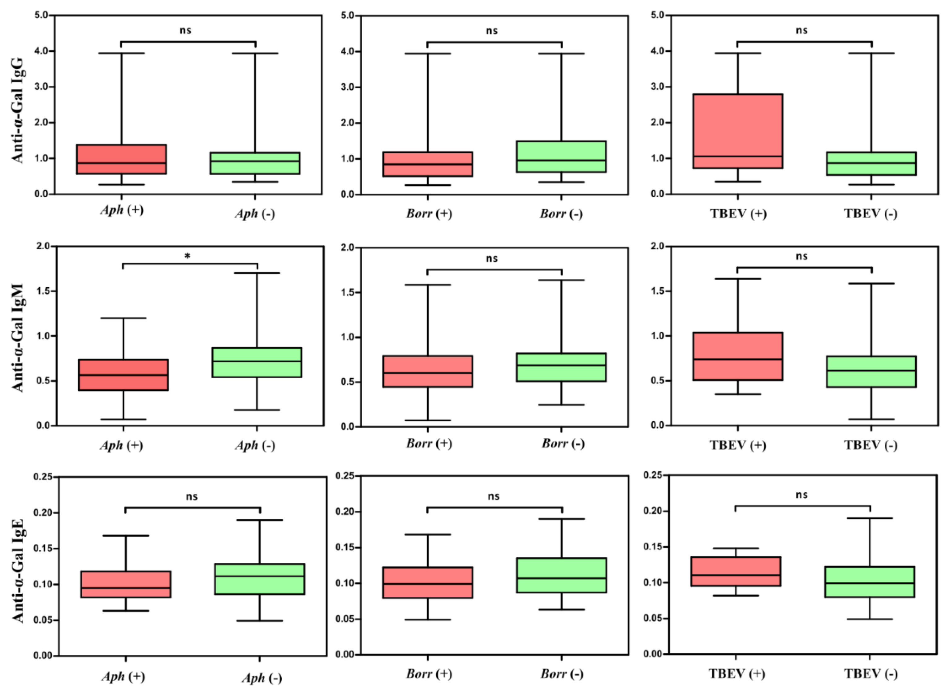
3.3. Possible Implication of anti-α-Gal Antibodies in Protection Against Anaplasma phagocytophilum
4. Conclusions
Author Contributions
Funding
Acknowledgments
Conflicts of Interest
References
- Galili, U.; Shohet, S.B.; Kobrinm, E.; Stults, C.L.; Macher, B.A. Man, apes, and Old World monkeys differ from other mammals in the expression of alpha-galactosyl epitopes on nucleated cells. J. Biol. Chem. 1988, 263, 17755–17762. [Google Scholar] [PubMed]
- Galili, U.; Rachmilewitz, E.A.; Peleg, A.; Flechner, I. A unique natural human IgG antibody with anti-alpha-galactosyl specificity. J. Exp. Med. 1984, 160, 1519–1531. [Google Scholar] [CrossRef] [PubMed]
- Koike, C.; Uddin, M.; Wildman, D.E.; Gray, E.A.; Trucco, M.; Starzl, T.E.; Goodman, M. Functionally important glycosyltransferase gain and loss during catarrhine primate emergence. Proc. Natl. Acad. Sci. USA 2007, 104, 559–564. [Google Scholar] [CrossRef] [PubMed]
- Cabezas-Cruz, A.; Mateos-Hernández, L.; Pérez-Cruz, M.; Valdés, J.J.; Mera, I.G.F.; Villar, M.; de la Fuente, J. Regulation of the immune response to α-Gal and vector-borne diseases. Trends Parasitol. 2015, 31, 470–476. [Google Scholar] [CrossRef] [PubMed]
- Cabezas-Cruz, A.; Hodžić, A.; Román-Carrasco, P.; Mateos-Hernández, L.; Duscher, G.G.; Sinha, D.K.; Hemmer, W.; Swoboda, I.; Estrada-Peña, A.; de la Fuente, J. Environmental and molecular drivers of the α-Gal syndrome. Front. Immunol. 2019, 10, 1210. [Google Scholar] [CrossRef] [PubMed]
- Yilmaz, B.; Portugal, S.; Tran, T.M.; Gozzelino, R.; Ramos, S.; Gomes, J.; Regalado, A.; Cowan, P.J.; d’Apice, A.J.; Chong, A.S.; et al. Gut microbiota elicits a protective immune response against malaria transmission. Cell 2014, 159, 1277–1289. [Google Scholar] [CrossRef]
- Cabezas-Cruz, A.; de la Fuente, J. Immunity to α-Gal: Toward a single-antigen pan-vaccine to control major infectious diseases. ACS Cent. Sci. 2017, 3, 1140–1142. [Google Scholar] [CrossRef]
- Sandrin, M.S.; McKenzie, I.F. Galα(1,3)Gal, the major xenoantigen(s) recognised in pigs by human natural antibodies. Immunol. Rev. 1994, 141, 169–190. [Google Scholar] [CrossRef]
- van Nunen, S.A.; O’Connor, K.S.; Fernando, S.L.; Clarke, L.R.; Boyle, R.X. An association between Ixodes holocyclus tick bite reactions and red meat allergy. Intern. Med. J. 2007, 37 (Suppl. 5), A132. [Google Scholar]
- van Nunen, S.A.; O’Connor, K.S.; Clarke, L.R.; Boyle, R.X.; Fernando, S.L. An association between tick bite reactions and red meat allergy in humans. Med. J. Aust. 2009, 190, 510–511. [Google Scholar]
- Commins, S.P.; Satinover, S.M.; Hosen, J.; Mozena, J.; Borish, L.; Lewis, B.D.; Woodfolk, J.A.; Platts-Mills, T.A. Delayed anaphylaxis, angioedema, or urticaria after consumption of red meat in patients with IgE antibodies specific for galactose-alpha-1,3-galactose. J. Allergy Clin. Immunol. 2009, 123, 426–433. [Google Scholar] [CrossRef] [PubMed]
- Cabezas-Cruz, A.; Espinosa, P.J.; Alberdi, P.; Šimo, L.; Valdés, J.J.; Mateos-Hernández, L.; Contreras, M.; Rayo, M.V.; de la Fuente, J. Tick galactosyltransferases are involved in α-Gal synthesis and play a role during Anaplasma phagocytophilum infection and Ixodes scapularis tick vector development. Sci. Rep. 2018, 8, 14224. [Google Scholar] [CrossRef] [PubMed]
- Crispell, G.; Commins, S.P.; Archer-Hartman, S.A.; Choudhary, S.; Dharmarajan, G.; Azadi, P.; Karim, S. Discovery of alpha-Gal-containing antigens in North American tick species believed to induce red meat allergy. Front. Immunol. 2019, 10, 1056. [Google Scholar] [CrossRef] [PubMed]
- Leschnik, M.; Feiler, A.; Duscher, G.G.; Joachim, A. Effect of owner-controlled acaricidal treatment on tick infestation and immune response to tick-borne pathogens in naturally infested dogs from Eastern Austria. Parasit. Vectors 2013, 6, 62. [Google Scholar] [CrossRef] [PubMed]
- Mateos-Hernández, L.; Villar, M.; Moral, A.; Rodríguez, C.G.; Arias, T.A.; de la Osa, V.; Brito, F.F.; Fernández de Mera, I.G.; Alberdi, P.; Ruiz-Fons, F.; et al. Tick-host conflict: Immunoglobulin E antibodies to tick proteins in patients with anaphylaxis to tick bite. Oncotarget 2017, 8, 20630–20644. [Google Scholar] [CrossRef]
- Apostolović, D.; Rodrigues, R.; Thomas, P.; Starkhammar, M.; Hamsten, C.; van Hage, M. Immunoprofile of α-Gal- and B-antigen-specific responses differentiates red meat-allergic patients from healthy individuals. Allergy 2018, 73, 1525–1531. [Google Scholar] [CrossRef]
- Iniguez, E.; Schocker, N.S.; Subramaniam, K.; Portillo, S.; Montoya, A.L.; Al-Salem, W.S.; Torres, C.L.; Rodriguez, F.; Moreira, O.C.; Acosta-Serrano, A.; et al. An α-Gal-containing neoglycoprotein-based vaccine partially protects against murine cutaneous leishmaniasis caused by Leishmania major. PLoS Negl. Trop. Dis. 2017, 11, e0006039. [Google Scholar] [CrossRef]
- Genomic Resources Development Consortium; Contreras, M.; de la Fuente, J.; Estrada-Peña, A.; Grubhoffer, L.; Tobes, R. Transcriptome sequence divergence between Lyme disease tick vectors, Ixodes scapularis and Ixodes ricinus. Genomic Resources Notes. Mol. Ecol. Resour. 2014, 14, 1095. [Google Scholar]
- Bell-Sakyi, L.; Zweygarth, E.; Blouin, E.F.; Gould, E.A.; Jongejan, F. Tick cell lines: Tools for tick and tick-borne disease research. Trends Parasitol. 2007, 23, 450–457. [Google Scholar] [CrossRef]
- Bell-Sakyi, L. Ehrlichia ruminantium grows in cell lines from four ixodid tick genera. J. Comp. Pathol. 2004, 130, 285–293. [Google Scholar] [CrossRef]
- Alberdi, P.; Ayllón, N.; Cabezas-Cruz, A.; Bell-Sakyi, L.; Zweygarth, E.; Stuen, S.; de la Fuente, J. Infection of Ixodes spp. tick cells with different Anaplasma phagocytophilum isolates induces the inhibition of apoptotic cell death. Ticks Tick. Borne Dis. 2015, 6, 758–767. [Google Scholar] [CrossRef] [PubMed]
- de la Fuente, J.; Ayoubi, P.; Blouin, E.F.; Almazán, C.; Naranjo, V.; Kocan, K.M. Gene expression profiling of human promyelocytic cells in response to infection with Anaplasma phagocytophilum. Cell Microbiol. 2005, 7, 549–559. [Google Scholar] [CrossRef] [PubMed]
- Barbour, A.G. Isolation and cultivation of Lyme disease spirochetes. Yale J. Biol. Med. 1984, 57, 521–525. [Google Scholar] [PubMed]
- Lis, K.; Najm, N.; de la Fuente, J.; de Mera, I.F.; Zweygarth, E.; Pfister, K.; Passos, L.M. Use of Percoll gradients to purify Anaplasma marginale (Rickettsiales: Anaplasmataceae) from tick cell cultures. Ticks Tick Borne Dis. 2014, 5, 511–515. [Google Scholar] [CrossRef] [PubMed]
- Hamsten, C.; Tran, T.A.T.; Starkhammar, M.; Brauner, A.; Commins, S.P.; Platts-Mills, T.A.E.; van Hage, M. Red meat allergy in Sweden: Association with tick sensitization and B-negative blood groups. J. Allergy Clin. Immunol. 2013, 132, 1431–1434. [Google Scholar] [CrossRef] [PubMed]
- Rispens, T.; Derksen, N.I.; Commins, S.P.; Platts-Mills, T.A.; Aalberse, R.C. IgE production to α-gal is accompanied by elevated levels of specific IgG1 antibodies and low amounts of IgE to blood group B. PLoS ONE 2013, 8, e55566. [Google Scholar] [CrossRef] [PubMed]
- Hilger, C.; Fischer, J.; Swiontek, K.; Hentges, F.; Lehners, C.; Eberlein, B.; Morisset, M.; Biedermann, T.; Ollert, M. Two galactose-α-1,3-galactose carrying peptidases from pork kidney mediate anaphylactogenic responses in delayed meat allergy. Allergy 2016, 71, 711–719. [Google Scholar] [CrossRef]
- Galili, U. Anti-Gal: An abundant human natural antibody of multiple pathogeneses and clinical benefits. Immunology 2013, 140, 1–11. [Google Scholar] [CrossRef]
- Galili, U.; Matta, K.L. Inhibition of anti-Gal IgG binding to porcine endothelial cells by synthetic oligosaccharides. Transplantation 1996, 62, 356–362. [Google Scholar] [CrossRef]
- Velasquez-Manoff, M. What the Mystery of the Tick-Borne Meat Allergy could Reveal. The New York Time Magazine. 2018. Available online: https://www.nytimes.com/2018/07/24/magazine/what-the-mystery-of-the-tick-borne-meat-allergy-could-reveal.html (accessed on 22 July 2019).
- van Stijn, C.; van den Broek, M.; Vervelde, L.; Alvarez, R.A.; Cummings, R.D.; Tefsen, B.; van Die, I. Vaccination-induced IgG response to Galα1-3GalNAc glycan epitopes in lambs protected against Haemonchus contortus challenge infection. Int. J. Parasitol. 2010, 40, 215–222. [Google Scholar] [CrossRef]
- Rojas, M.; Restrepo-Jiménez, P.; Monsalve, D.M.; Pacheco, Y.; Acosta-Ampudia, Y.; Ramírez-Santana, C.; Leung, P.S.C.; Ansari, A.A.; Gershwin, M.E.; Anaya, J.M. Molecular mimicry and autoimmunity. J. Autoimmun. 2018, 95, 100–123. [Google Scholar] [CrossRef] [PubMed]
- Galili, U.; Buehler, J.; Shohet, S.B.; Macher, B.A. The human natural anti-Gal IgG. III. The subtlety of immune tolerance in man as demonstrated by crossreactivity between natural anti-Gal and anti-B antibodies. J. Exp. Med. 1987, 165, 693–704. [Google Scholar] [CrossRef] [PubMed]
- Commins, S.P.; James, H.R.; Kelly, L.A.; Pochan, S.L.; Workman, L.J.; Perzanowski, M.S.; Kocan, K.M.; Fahy, J.V.; Nganga, L.W.; Ronmark, E.; et al. The relevance of tick bites to the production of IgE antibodies to the mammalian oligosaccharide galactose-α-1,3-galactose. J. Allergy Clin. Immunol. 2011, 127, 1286–1293. [Google Scholar] [CrossRef] [PubMed]
- Cabezas-Cruz, A.; Mateos-Hernández, L.; Alberdi, P.; Villar, M.; Riveau, G.; Hermann, E.; Schacht, A.M.; Khalife, J.; Correia-Neves, M.; Gortazar, C.; et al. Effect of blood type on anti-α-Gal immunity and the incidence of infectious diseases. Exp. Mol. Med. 2017, 49, e301. [Google Scholar] [CrossRef] [PubMed]







| Antibody | α-Gal/I. ricinus SGP (%) | α-Gal/I. scapularis SGP (%) | 
|---|---|---|
| IgG | 80.7 | 95.3 | 
| IgM | 22.7 | 49.6 | 
| IgE | 63.3 | 97.1 | 
© 2019 by the authors. Licensee MDPI, Basel, Switzerland. This article is an open access article distributed under the terms and conditions of the Creative Commons Attribution (CC BY) license (http://creativecommons.org/licenses/by/4.0/).
Share and Cite
Hodžić, A.; Mateos-Hernández, L.; Leschnik, M.; Alberdi, P.; Rego, R.O.M.; Contreras, M.; Villar, M.; de la Fuente, J.; Cabezas-Cruz, A.; Duscher, G.G. Tick Bites Induce Anti-α-Gal Antibodies in Dogs. Vaccines 2019, 7, 114. https://doi.org/10.3390/vaccines7030114
Hodžić A, Mateos-Hernández L, Leschnik M, Alberdi P, Rego ROM, Contreras M, Villar M, de la Fuente J, Cabezas-Cruz A, Duscher GG. Tick Bites Induce Anti-α-Gal Antibodies in Dogs. Vaccines. 2019; 7(3):114. https://doi.org/10.3390/vaccines7030114
Chicago/Turabian StyleHodžić, Adnan, Lourdes Mateos-Hernández, Michael Leschnik, Pilar Alberdi, Ryan O. M. Rego, Marinela Contreras, Margarita Villar, José de la Fuente, Alejandro Cabezas-Cruz, and Georg Gerhard Duscher. 2019. "Tick Bites Induce Anti-α-Gal Antibodies in Dogs" Vaccines 7, no. 3: 114. https://doi.org/10.3390/vaccines7030114
APA StyleHodžić, A., Mateos-Hernández, L., Leschnik, M., Alberdi, P., Rego, R. O. M., Contreras, M., Villar, M., de la Fuente, J., Cabezas-Cruz, A., & Duscher, G. G. (2019). Tick Bites Induce Anti-α-Gal Antibodies in Dogs. Vaccines, 7(3), 114. https://doi.org/10.3390/vaccines7030114
 
        




 
       