Public Perceptions and Influencing Factors of Non-National Immunization Program (Non-NIP) Vaccines in Shanghai: A Population-Based Study
Abstract
1. Introduction
2. Materials and Methods
2.1. Study Design and Participants
2.2. Questionnaire Development
2.3. Variables
2.4. Quality Control
2.5. Statistical Analysis
3. Results
3.1. Participant Characteristics
3.2. Univariate Analysis of Awareness of Non-NIP Vaccines
3.3. Univariate Analysis of Acceptance (Endorsement) of Non-NIP Vaccines
3.4. Ordinary Multivariable Analysis of Awareness and Acceptance
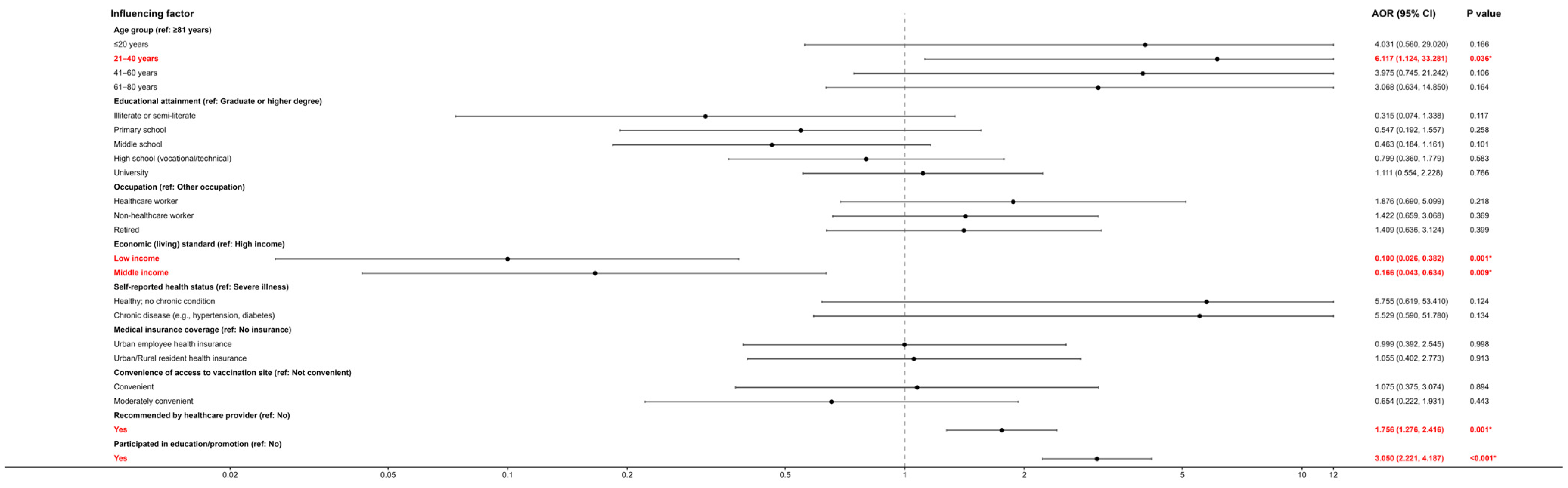
3.4.1. Awareness Level
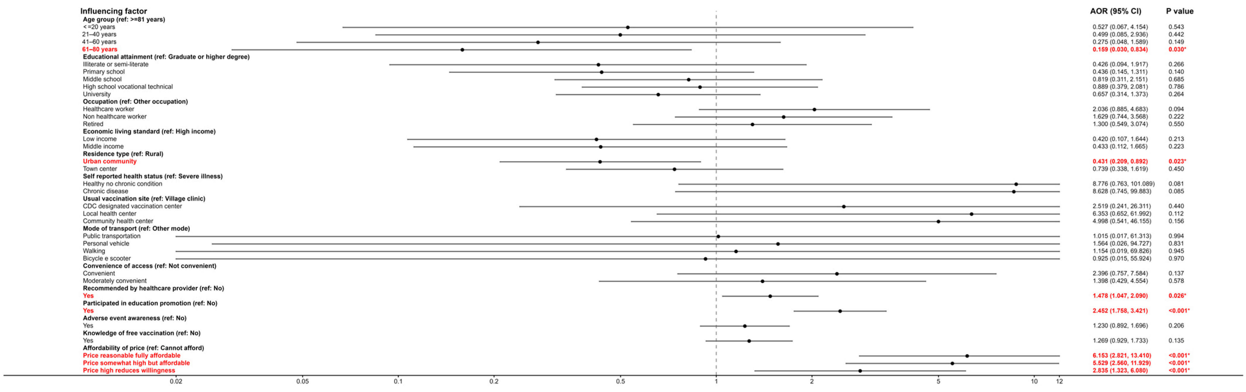
3.4.2. Acceptance Level
4. Discussion
4.1. The Phenomenon of High Acceptance but Low Knowledge of Non-NIP Vaccines Among Residents
4.2. Factors Influencing Awareness
4.3. Factors Influencing Acceptance
4.4. Limitations
4.5. Public Health Relevance and Study Strengths
5. Conclusions
Author Contributions
Funding
Institutional Review Board Statement
Informed Consent Statement
Data Availability Statement
Acknowledgments
Conflicts of Interest
Abbreviations
| NIP | National Immunization Program |
| non-NIP | non-National Immunization Program |
| CDC | Center for Disease Control/Prevention |
| OR | odds ratio |
| CI | confidence interval |
| SD | standard deviation |
Appendix A. Shanghai Survey Questionnaire on the Current Status of Non-NIP Vaccine Procurement and Use (General Public)
Dear Sir or Madam,
You are invited to participate in a research survey. Before you decide whether to take part, please make sure you understand the purpose of the study and what it entails. Please read the following information carefully. If anything is unclear or if you need more information, ask the research staff on site.
The purpose of this study is to understand the management of non-National Immunization Program (non-NIP) vaccines in China, in order to provide evidence for formulating national immunization strategies. This study is conducted as an online survey. non-NIP vaccines mainly include, but are not limited to, pneumococcal vaccines, meningococcal vaccines, Haemophilus influenzae type b (Hib) vaccine, hand–foot–and–mouth disease (EV71) vaccine, influenza vaccine, HPV vaccine, rotavirus vaccine, varicella (chickenpox) vaccine, pentavalent (five-in-one) combination vaccine, herpes zoster (shingles) vaccine, hepatitis B vaccine, and other common self-paid vaccines. In this survey, you will need to fill in some basic personal information. All data will be kept confidential and will not be disclosed to anyone outside the research team. If results are published, none of your personal information will be revealed. All data will be stored for 10 years. The entire survey takes about 15 min to complete.
Your participation in this study is completely voluntary. If you decide to participate, you will be asked to sign an informed consent form. Even after signing, you are free to withdraw from the study at any time without giving a reason. Withdrawing from the study will not affect your relationship with the research team.—National non-NIP Vaccine Procurement and Use Survey Team
- 1. Personal Basic Information
- 1.1. District: ________ District
- 1.2. Gender: A. Male; B. Female
- 1.3. Date of birth: ________ Year ____ Month
- 1.4. Educational attainment:
- A: Illiterate or semi-literate
- B: Primary school
- C: Middle school
- D: High school (including vocational/technical school)
- E: University (college undergraduate)
- F: Graduate or higher degree
- 1.5. Your occupation:
- A: Agriculture/forestry/animal husbandry/fishery industry worker
- B: Transportation, construction, production or manufacturing industry worker
- C: Enterprise management personnel
- D: Commercial or service industry staff
- E: Government or public institution staff (excluding healthcare workers)
- F: Healthcare worker
- G: Homemaker or self-employed (freelancer)
- H: Retired
- I: Other: ____________
- 1.6. Total household annual income in 2023:
- A: Below ¥20,000
- B: ¥20,000–50,000
- C: ¥50,000–100,000
- D: ¥100,000–500,000
- E: Above ¥500,000
- 1.7. Household living standard in your local area:
- A: Low income
- B: Middle income
- C: High income
- 1.8. Type of residence:
- A: Urban community
- B: Town center
- C: Rural area
- 1.9. Household members living together with you: (Select all that apply.)
- A: Child(ren) aged 0–6 years
- B: Youth/adolescent(s) aged 7–17 years
- C: Adult(s) aged 18–60 years
- D: Elderly person(s) over 60 years old
- E: No cohabiting family members
- 1.10. Your health status:
- A: Healthy, no diseases or conditions
- B: Have a chronic disease (e.g., hypertension, diabetes)
- C: Have a serious illness
- 1.11. Which medical insurance do you have:
- A: Urban employee basic medical insurance
- B: Urban or rural resident medical insurance
- C: None (uninsured)
- 1.12. In the past year, have you or any family member experienced a major health event (e.g., serious illness, hospitalization)?
- A: Yes
- B: No
- 1.13. Which vaccination site do you usually visit for vaccinations?
- A: CDC-designated vaccination center
- B: Local health center
- C: Community health center
- D: Village clinic/station
- E: Other: ____________
- 1.14. Distance from your home to the nearest vaccination site:
- A: <1 km
- B: 1–3 km
- C: 3–5 km
- D: 5–10 km
- E: >10 km
- 1.15. Mode of transport you typically use to reach the vaccination site:
- A: Public transportation
- B: Personal vehicle (drive yourself)
- C: Walking
- D: Bicycle or e-scooter
- E: Other: ____________
- 1.16. Your usual waiting time when getting vaccinated:
- A: 15 min or less
- B: 15–30 min
- C: 30–60 min
- D: More than 60 min
- 1.17. Do you consider it convenient for your household to get to the vaccination site?
- A: Convenient
- B: Moderately convenient
- C: Not convenient
- 1.18. Contact information (kept strictly confidential):
- Name: ________________ Phone/Email: ________________
- 2. Overall Awareness of and Factors Influencing non-NIP Vaccines
- 2.1. How would you describe your level of understanding of non-National Immunization Program (non-NIP) vaccines?
- A: Very well aware (fully understand)
- B: Fairly well aware
- C: Moderately aware
- D: Not very aware
- E: Completely unaware
- 2.2. What is your level of support for non-NIP vaccines (i.e., do you think they should be provided)?
- A: Not supportive at all
- B: Slightly supportive
- C: Moderately supportive
- D: Quite supportive
- E: Fully supportive
- 2.3. How satisfied are you with the provision of non-NIP vaccine services?
- A: Completely unsatisfied
- B: Slightly satisfied
- C: Moderately satisfied
- D: Quite satisfied
- E: Completely satisfied
- 2.4. Has any medical professional ever recommended that you receive a non-NIP vaccine?
- A: Yes
- B: No
- 2.5. Have you ever participated in any promotional or educational activities about non-NIP vaccines?
- A: Yes
- B: No
- 2.6. Do you have any preference regarding domestic (Chinese-made) vs. imported vaccines?
- A: No preference
- B: Prefer domestic vaccines
- C: Prefer imported vaccines
- 2.7. How safe do you believe non-NIP vaccines are?
- A: Very unsafe
- B: Unsafe
- C: Neutral
- D: Safe
- E: Very safe
- 2.8–2.10. Please indicate your level of agreement with the following statements about vaccine safety. (Use a 1–5 Likert scale, where 1 = “strongly disagree” and 5 = “strongly agree.”)
- 2.8. I believe that getting vaccinated is safe and the side effects are controllable. (Rate 1–5)
- A: 1 B: 2 C: 3 D: 4 E: 5
- 2.9. The risk of a serious adverse reaction from vaccination is very low. (Rate 1–5)
- A: 1 B: 2 C: 3 D: 4 E: 5
- 2.10. Imported vaccines are higher in quality and are worth choosing. (Rate 1–5)
- A: 1 B: 2 C: 3 D: 4 E: 5
- 2.11. Are you aware of any recent negative news or events related to vaccines?
- A: Yes
- B: No
- 2.12. In your view, what is the public’s overall level of acceptance of non-NIP vaccines?
- A: Very low
- B: Low
- C: Moderate
- D: High
- E: Very high
- 2.13. What do you think are the main benefits of vaccination? (Please rank the following in order of importance, 1 = most important)
- A: Preventing disease
- B: Reducing the risk of infection
- C: Lowering treatment costs
- D: Enhancing immunity
- 2.14. In your locality, have you ever wanted to get a vaccine but found that it was not available (out of stock)?
- A: No
- B: Yes—for example: ________________ (which vaccine?)
- 2.15. In the past two years, have you gotten any non-NIP vaccine because of any of the following reasons? (Select all that apply.)
- A: Recommendation from a doctor or medical institution
- B: Government or health department publicity campaign
- C: Advice or recommendation from friends/relatives
- D: Media reports or advertisements
- E: Requirement for overseas travel
- F: Requirement of your job or profession
- G: Other reason: ________________
- 2.16. What do you think are the reasons why you or your family members have not received non-NIP vaccines? (Select all that apply.)
- A: Vaccine cost is too high
- B: Lack of knowledge about the vaccine
- C: Doubts about the vaccine’s effectiveness
- D: Worries about vaccine safety
- E: No perceived need to vaccinate
- F: No time to go for vaccination
- G: Vaccine shortage or unavailability
- H: Other: ________________
- 2.17–2.21. When deciding whether to get a non-NIP vaccine, how much influence do the following factors have on you? (Likert scale 1–5: 1 = no influence at all, 5 = extreme influence.)
- 2.17. My family’s or relatives’ opinions influence my vaccination decision. (1–5 rating)
- A: 1 B: 2 C: 3 D: 4 E: 5
- 2.18. A doctor’s recommendation is very important to me. (1–5 rating)
- A: 1 B: 2 C: 3 D: 4 E: 5
- 2.19. I tend to prefer choosing vaccines that are cheaper in price. (1–5 rating)
- A: 1 B: 2 C: 3 D: 4 E: 5
- 2.20. Vaccine safety is the factor I care about the most. (1–5 rating)
- A: 1 B: 2 C: 3 D: 4 E: 5
- 2.21. I would consider getting vaccines that are widely promoted in my community. (1–5 rating)
- A: 1 B: 2 C: 3 D: 4 E: 5
- 2.22. When choosing self-paid vaccines, what is the primary factor you consider?
- A: The price of the vaccine
- B: The effectiveness of the vaccine
- C: Potential adverse reactions or side effects
- D: Recommendation from the government or medical institutions
- E: Opinions of family members
- 2.23. Are you aware of any free vaccination programs (besides NIP vaccines) either locally or in other regions?
- A: Yes
- B: No
- 2.24. If free vaccination programs (e.g., for HPV, influenza, etc.) were offered in your area, would you choose to get vaccinated (for yourself or your children)?
- A: Yes
- B: No
- 2.25. If you would still choose not to get vaccinated even when vaccines are free, what concerns are the reasons?
- A: Worries about vaccine safety
- B: Do not feel vaccination is necessary
- C: Other: ________________
- 2.26. Do you feel that the current prices of vaccines are compatible with your ability to pay?
- A: The price is reasonable and I can fully afford it
- B: The price is somewhat high but I can manage to afford it
- C: The price is rather high and it reduces my willingness to vaccinate
- D: I cannot afford it, so I will not consider getting vaccinated
- 2.27. Does the current price of vaccines affect your decision to get self-paid (non-NIP) vaccines?
- A: No effect—I think the price is reasonable
- B: Some effect—but I am willing to bear the cost
- C: Yes, the price is high and it affects my decision to vaccinate
- D: Yes, I find the current price unacceptable and will not get self-paid vaccines
- 2.28. If the price of non-NIP vaccines were lowered, would you be more willing to get vaccinated?
- A: Yes—I would vaccinate if the price were greatly reduced
- B: Yes—I would consider vaccinating if the price were slightly reduced
- C: No—price is not a deciding factor for me
- 2.29. If the cost of non-NIP vaccines were reduced by 10%, 20%, or 30%, would you consider getting vaccinated?
- A: If costs drop by 10%, I would consider vaccination
- B: If costs drop by 20%, I would consider vaccination
- C: If costs drop by 30%, I would consider vaccination
- D: Even with cost reductions, I would still not consider vaccination
- 2.30. To ensure safety in vaccination, besides the vaccine cost itself, would you be willing to pay for any of the following additional fees at the time of vaccination?
- (Select all that you would accept paying.)
- A: Registration fee
- B: Necessary medical examination fee before vaccination
- C: Consultation service fee for vaccine-related information before vaccination
- D: Other additional fee: ________________
- E: I would not accept paying any additional fees
- 2.31. If you are willing to pay the above additional fees, what is the maximum amount you would accept to pay each time?
- A: Less than ¥20
- B: Less than ¥50
- C: Less than ¥70
- D: Less than ¥100
- E: More than ¥100
References
- Piot, P.; Larson, H.J.; O’Brien, K.L.; N’kengasong, J.; Ng, E.; Sow, S.; Kampmann, B. Immunization: Vital progress, unfinished agenda. Nature 2019, 575, 119–129. [Google Scholar] [CrossRef]
- Jiang, M.; Chen, S.; Yan, X.; Ying, X.; Tang, S. The coverage and challenges of increasing uptake of non-National Immunization Program vaccines in China: A scoping review. Infect. Dis. Poverty 2023, 12, 114. [Google Scholar] [CrossRef]
- Fu, C.; Wang, M.; Liang, J.; Zhang, Q.; Liu, Y. The effectiveness of varicella vaccine in China. Pediatr. Infect. Dis. J. 2010, 29, 690–693. [Google Scholar] [CrossRef]
- Trombetta, C.M.; Kistner, O.; Montomoli, E.; Viviani, S.; Marchi, S. Influenza viruses and vaccines: The role of vaccine effectiveness studies for evaluation of the benefits of influenza vaccines. Vaccines 2022, 10, 714. [Google Scholar] [CrossRef]
- Gong, X.; Huang, Z.; Zheng, Y.; Xiao, W.; Liu, J.; Lin, S.; Pan, H.; Chen, J.; Wu, H.; Wang, W. Rotavirus vaccine effectiveness and coverage among children younger than 5 years old in Shanghai, China: A test-negative case-control study. Vaccine 2025, 48, 126731. [Google Scholar] [CrossRef]
- Peng, R.; Zhang, T.; Dunne, E.M.; Xu, Z.; Sun, A.; Cheng, J.; Yang, J.; Zhao, G. Effectiveness and impact of 7- and 13-valent pneumococcal conjugate vaccines in Chinese children: A systematic review and meta-analysis. Hum. Vaccines Immunother. 2025, 21, 2573542. [Google Scholar] [CrossRef]
- Zhang, H.; Lai, X.; Patenaude, B.N.; Jit, M.; Fang, H. Adding new childhood vaccines to China’s National Immunization Program: Evidence, benefits, and priorities. Lancet Public Health 2023, 8, e1016–e1024. [Google Scholar] [CrossRef] [PubMed]
- Yuan, B.; Hei, L.; Li, J.; Yao, X.; Guo, J.; Jiang, M.; Fang, H. Economic evaluation of vaccination strategies in China: A systematic review. Pharmacoecon. Policy 2025, 1, 51–62. [Google Scholar] [CrossRef]
- Kong, F.; Cai, L.; Zhang, J.; Zhu, H.; Peng, Z.; Zheng, J.; Zheng, Y.; Fang, H. Comparative Analysis of Health Economic Evaluations for Different Influenza Vaccines and Vaccination Strategies in China: A Systematic Review. Vaccines 2025, 13, 332. [Google Scholar] [CrossRef] [PubMed]
- Rémy, V.; Zöllner, Y.; Heckmann, U. Vaccination: The cornerstone of an efficient healthcare system. J. Mark. Access Health Policy 2015, 3, 27041. [Google Scholar] [CrossRef]
- Zhang, H.; Lai, X.; Mak, J.; Sriudomporn, S.; Zhang, H.; Fang, H.; Patenaude, B.N. Coverage and equity of childhood vaccines in China. JAMA Netw. Open 2022, 5, e2246005. [Google Scholar] [CrossRef] [PubMed]
- Lin, S.-Y.; Zhang, S.-Y.; Chantler, T.; Sun, F.-Y.; Zou, J.-T.; Cheng, J.-J.; Chen, Y.-Q.; Sun, M.; Howard, N. Vaccination coverage determinants in low uptake areas of China: A qualitative study of provider perspectives in Sichuan, Guangdong, and Henan Provinces. Hum. Vaccines Immunother. 2022, 18, 2030623. [Google Scholar] [CrossRef]
- Liu, S.; Xu, E.; Liu, Y.; Xu, Y.; Wang, J.; Du, J.; Zhang, X.; Che, X.; Gu, W. Factors associated with pneumococcal vaccination among an urban elderly population in China. Hum. Vaccines Immunother. 2014, 10, 2994–2999. [Google Scholar] [CrossRef]
- Wu, S.; Su, J.; Yang, P.; Zhang, H.; Li, H.; Chu, Y.; Hua, W.; Li, C.; Tang, Y.; Wang, Q. Factors associated with the uptake of seasonal influenza vaccination in older and younger adults: A large, population-based survey in Beijing, China. BMJ Open 2017, 7, e017459. [Google Scholar] [CrossRef]
- Sun, B.; Zheng, J.D.; Zhang, S.Y.; Lu, M.X.; Yuan, H.; Wang, J.R.; Li, J.C.; Su, J.F.; Li, M.; Wang, Z. SWOT analysis of influenza vaccination promotion of primary care staff based on the perspective of the supplier, customer, and management. Zhonghua Liu Xing Bing Xue Za Zhi 2022, 43, 953–959. [Google Scholar] [CrossRef]
- Zhou, M.; Zhao, L.; Kong, N.; Campy, K.S.; Wang, S.; Qu, S. Predicting behavioral intentions to children vaccination among Chinese parents: An extended TPB model. Hum. Vaccines Immunother. 2018, 14, 2748–2754. [Google Scholar] [CrossRef]
- Li, L.; Ma, Y.; Li, W.; Tang, G.; Jiang, Y.; Li, H.; Jiang, S.; Zhou, Y.; Yang, Y.; Zhang, T.; et al. Caregiver willingness to vaccinate children with pneumococcal vaccines and to pay in a low-resource setting in China: A cross-sectional study. Vaccines 2022, 10, 1897. [Google Scholar] [CrossRef]
- Miron, V.D.; Toma, A.R.; Filimon, C.; Bar, G.; Craiu, M. Optional vaccines in children—Knowledge, attitudes, and practices in Romanian parents. Vaccines 2022, 10, 404. [Google Scholar] [CrossRef] [PubMed]
- Ozawa, S.; Stack, M.L. Public trust and vaccine acceptance—International perspectives. Hum. Vaccines Immunother. 2013, 9, 1774–1778. [Google Scholar] [CrossRef] [PubMed]
- Liu, Y.; Di, N.; Tao, X. Knowledge, practice and attitude towards HPV vaccination among college students in Beijing, China. Hum. Vaccines Immunother. 2020, 16, 116–123. [Google Scholar] [CrossRef]
- Ortiz-Prado, E.; Suárez-Sangucho, I.A.; Vasconez-Gonzalez, J.; Santillan-Roldán, P.A.; Villavicencio-Gomezjurado, M.; Salazar-Santoliva, C.; Tello-De-la-Torre, A.; Izquierdo-Condoy, J.S. Pandemic paradox: How the COVID-19 crisis transformed vaccine hesitancy into a two-edged sword. Hum. Vaccines Immunother. 2025, 21, 2543167. [Google Scholar] [CrossRef] [PubMed]
- Kim, S.; Gollwitzer, P.M.; Oettingen, G. Expectations versus fantasies and vaccine hesitancy: How suffering from COVID-19 versus suffering from vaccines interact. Ann. Behav. Med. 2024, 58, 563–577. [Google Scholar] [CrossRef]
- Liu, B.; Zhang, X.; Lai, Y.; Sun, T.; Wang, C.; Zhao, T.; Zhang, S.; Shi, B.; Li, Y.; Cui, F. Global vaccine confidence trends among adults above and below age 65. npj Vaccines 2025, 10, 160. [Google Scholar] [CrossRef]
- Siani, A.; Tranter, A. Is vaccine confidence an unexpected victim of the COVID-19 pandemic? Vaccine 2022, 40, 7262–7269. [Google Scholar] [CrossRef] [PubMed]
- Zhou, X.; Zhang, X.; Larson, H.J.; de Figueiredo, A.; Jit, M.; Fodeh, S.; Vermund, S.H.; Zang, S.; Lin, L.; Hou, Z. Spatiotemporal trends in COVID-19 vaccine sentiments on a social media platform and correlations with reported vaccine coverage. Bull. World Health Organ. 2024, 102, 32–45. [Google Scholar] [CrossRef]
- Jennings, W.; Valgarðsson, V.; McKay, L.; Stoker, G.; Mello, E.; Baniamin, H.M. Trust and vaccine hesitancy during the COVID-19 pandemic: A cross-national analysis. Vaccine X 2023, 14, 100299. [Google Scholar] [CrossRef] [PubMed]
- Ndasauka, Y.; Twabi, H.S.; Kainja, J.; Gunde, A.M.; Makhumula-Mtimuni, C. Knowledge, attitudes and demographic drivers for COVID-19 vaccine hesitancy in Malawi. Sci. Rep. 2024, 14, 9578. [Google Scholar] [CrossRef]
- Atakro, C.A.; Atakro, A.; Akuoko, C.P.; Aboagye, J.S.; Blay, A.A.; Addo, S.B.; Adatara, P.; Agyare, D.F.; Amoa-Gyarteng, K.G.; Garti, I.; et al. Knowledge attitudes practices perceived barriers of evidence-based practice among registered nurses in a Ghanaian teaching hospital. Int. J. Afr. Nurs. Sci. 2020, 12, 100204. [Google Scholar] [CrossRef]
- Chisale, M.R.O.; Kambalame, D.; Mwale, S.E.; Mbakaya, B.C.; Mankhamba, R.; Kumwenda, P.; Chilima, B.; Mitambo, C.; Chiwaula, M.; Nyambalo, B.; et al. Knowledge, attitudes, and practices on COVID-19 vaccination among general adult population in Malawi: A countrywide cross-sectional survey. Vaccines 2024, 12, 221. [Google Scholar] [CrossRef]
- Sengupta, M.; Dutta, S.; Roy, A.; Chakrabarti, S.; Mukhopadhyay, I. Knowledge, attitude and practice survey towards COVID-19 vaccination: A mediation analysis. Int. J. Health Plann. Manag. 2022, 37, 2063–2080. [Google Scholar] [CrossRef]
- Särndal, C.-E.; Swensson, B.; Wretman, J. Model Assisted Survey Sampling; Springer: New York, NY, USA, 1992. [Google Scholar]
- Cochran, W.G. Sampling Techniques, 3rd ed.; John Wiley & Sons: New York, NY, USA, 1977. [Google Scholar]
- Lazarus, J.V.; Romero, D.; Kopka, C.J.; Karim, S.A.; Abu-Raddad, L.J.; Almeida, G.; Baptista-Leite, R.; Barocas, J.A.; Barreto, M.L.; Bar-Yam, Y.; et al. A multinational Delphi consensus to end the COVID-19 public health threat. Nature 2022, 611, 332–345. [Google Scholar] [CrossRef]
- Dong, C.; Liang, Q.; Ji, T.; Gu, J.; Feng, J.; Shuai, M.; Zhang, X.; Zhao, R.; Gu, Z. Determinants of Vaccine Acceptance against COVID-19 in China: Perspectives on Knowledge and DrVac-COVID19S Scale. Int. J. Environ. Res. Public Health 2021, 18, 11192. [Google Scholar] [CrossRef]
- Dapari, R.; Li, M.; Chen, X.; Cui, J.; Zamzuri, M.A.I.A.; Hassan, M.R.; Dom, N.C.; Syed Abdul Rahim, S.S. Factors Influencing HPV Vaccine Acceptance among Females in Mainland China: A Systematic Review. Clin. Epidemiol. Glob. Health 2024, 26, 101514. [Google Scholar] [CrossRef]
- Wu, L.; Huang, Z.; Guo, X.; Liu, J.; Sun, X. Measuring parents’ acceptance of non-national immunization program vaccines for children and its influencing factors during the COVID-19 pandemic in Shanghai, China. Hum. Vaccines Immunother. 2022, 18, 2069427. [Google Scholar] [CrossRef]
- Shanghai Municipal Statistics Bureau; Survey Office of the National Bureau of Statistics in Shanghai. Shanghai Resident Population and Demographic Data, 2024. Available online: https://english.shanghai.gov.cn/en-Overview/20231207/a0323b4c7b034212b00dc4171ea90915.html (accessed on 19 January 2026).
- Shanghai Municipal Bureau of Statistics. Shanghai Statistical Yearbook 2024: Table 2.12 Permanent Residents by District and Age from the Seventh Population Census. Available online: https://tjj.sh.gov.cn/tjnj/nj24.htm?d1=2024tjnjen/E0212.htm (accessed on 19 January 2026).
- Hongheiku (Derived from Shanghai Statistical Yearbook 2024). Shanghai Demographic and Urbanization Data. Available online: https://www.hongheiku.com/shijirenkou/1082.html (accessed on 19 January 2026).
- Shanghai Municipal Bureau of Statistics. Shanghai Statistical Yearbook 2024: Education Distribution per 100,000 Persons. Available online: https://www.tjnj.net/navipage-n3025060235000226.html (accessed on 19 January 2026).
- Fridman, I.; Lucas, N.; Henke, D.; Zigler, C.K. Association between public knowledge about COVID-19, trust in information sources, and adherence to social distancing: Cross-sectional survey. JMIR Public Health Surveill. 2020, 6, e22060. [Google Scholar] [CrossRef] [PubMed]
- Ashkenazi, S.; Livni, G.; Klein, A.; Kremer, N.; Havlin, A.; Berkowitz, O. The relationship between parental source of information and knowledge about measles/measles vaccine and vaccine hesitancy. Vaccine 2020, 38, 7292–7298. [Google Scholar] [CrossRef] [PubMed]
- Li, K.; Zhou, F. Influence of information sources on Chinese parents regarding COVID-19 vaccination for children: An online survey. Int. J. Environ. Res. Public Health 2022, 19, 7037. [Google Scholar] [CrossRef]
- Pan, Z.; Liang, F.; Tang, S. Trust in information sources and parents’ knowledge, attitudes, and practices (KAP) of children’s PCV13 vaccination in the Yangtze River Delta region, China. Vaccines 2025, 13, 947. [Google Scholar] [CrossRef] [PubMed]
- Goldenberg, M.J. Stuck: How Vaccine Rumors Start—And Why They Don’t Go Away, by Heidi J. Larson. New York: Oxford University Press, 2020. J. Med. Humanit. 2023, 44, 417–419. [Google Scholar] [CrossRef]
- Luo, Y.F.; Chen, L.C.; Yang, S.C.; Hong, S. Knowledge, attitude, and practice (KAP) toward COVID-19 pandemic among the public in Taiwan: A cross-sectional study. Int. J. Environ. Res. Public Health 2022, 19, 2784. [Google Scholar] [CrossRef]
- Osuagwu, U.L.; Mashige, K.P.; Ovenseri-Ogbomo, G.; Envuladu, E.A.; Abu, E.K.; Miner, C.A.; Adebisi, Y.A. The impact of information sources on COVID-19 vaccine hesitancy and resistance in sub-Saharan Africa. BMC Public Health 2023, 23, 38. [Google Scholar] [CrossRef]
- Gao, H.; Zhao, Q.; Li, L.; Bai, X.; Guo, D. The multi-dimensional impact of different sources of information on influenza vaccination of college students in China. J. Am. Coll. Health 2024, 72, 995–1000. [Google Scholar] [CrossRef] [PubMed]
- Wang, X.; Fan, Y.; Wang, W. Investigation of non-National Immunization Program vaccination intentions in rural areas of China. BMC Public Health 2023, 23, 1485. [Google Scholar] [CrossRef] [PubMed]
- Zheng, S.; Deng, X.; Li, L.; Luo, F.; He, H.; Wang, Y.; Xu, X.; Fang, H. Awareness, preference, and acceptance of HPV vaccine and related influencing factors among guardians of adolescent girls in China: A health belief model-based cross-sectional study. Vaccines 2025, 13, 840. [Google Scholar] [CrossRef]
- Zhou, Y.; Li, D.; Cao, Y.; Lai, F.; Wang, Y.; Long, Q.; Zhang, Z.; An, C.; Xu, X. Immunization coverage, knowledge, satisfaction, and associated factors of non-NIP vaccines among migrant and left-behind families in China: Evidence from Zhejiang and Henan provinces. Infect. Dis. Poverty 2023, 12, 93. [Google Scholar] [CrossRef] [PubMed]
- Kwon, D.H.; Kwon, Y.D. Patterns of health literacy and influencing factors differ by age: A cross-sectional study. BMC Public Health 2025, 25, 1556. [Google Scholar] [CrossRef]
- Stifjell, K.; Sandanger, T.M.; Wien, C. Exploring online health information-seeking behavior among young adults: Scoping review. J. Med. Internet Res. 2025, 27, e70379. [Google Scholar] [CrossRef] [PubMed]
- Fatima, K.; Syed, N.I. Dengvaxia controversy: Impact on vaccine hesitancy. J. Glob. Health 2018, 8, 020312. [Google Scholar] [CrossRef]
- Hara, M.; Koshida, R.; Araki, K.; Kondo, M.; Hirota, Y. Determinants of self-paid rotavirus vaccination status in Kanazawa, Japan, including socioeconomic factors, parents’ perception, and children’s characteristics. BMC Infect. Dis. 2020, 20, 712. [Google Scholar] [CrossRef]
- Choe, Y.J.; Yang, J.J.; Park, S.K.; Choi, E.H.; Lee, H.J. Comparative estimation of coverage between national immunization program vaccines and non-NIP vaccines in Korea. J. Korean Med. Sci. 2013, 28, 1283–1288. [Google Scholar] [CrossRef]
- Lin, C.; Mullen, J.; Smith, D.; Kotarba, M.; Kaplan, S.J.; Tu, P. Healthcare providers’ vaccine perceptions, hesitancy, and recommendation to patients: A systematic review. Vaccines 2021, 9, 713. [Google Scholar] [CrossRef]
- Kaufman, J.; Synnot, A.; Ryan, R.; Hill, S.; Horey, D.; Willis, N.; Crowe, S.; Harrison, S. Face-to-face interventions for informing or educating parents about early childhood vaccination. Cochrane Database Syst. Rev. 2013, 5, CD010038. [Google Scholar] [CrossRef] [PubMed]
- Yang, M.; Ma, W.; Jiang, J.; Lu, Z.; Wang, X.; Shen, Y.; Li, Z. COVID-19 vaccination and concerns regarding vaccine hesitancy after the termination of the zero-COVID policy in China: A nationwide cross-sectional study. Hum. Vaccines Immunother. 2024, 20, 2388938. [Google Scholar] [CrossRef] [PubMed]
- Tan, M.; Straughan, P.T.; Cheong, G. Information trust and COVID-19 vaccine hesitancy amongst middle-aged and older adults in Singapore: A latent class analysis approach. Soc. Sci. Med. 2022, 296, 114767. [Google Scholar] [CrossRef] [PubMed]
- Wagner, A.L.; Boulton, M.L.; Sun, X.; Huang, Z.; Harmsen, I.A.; Ren, J.; Zikmund-Fisher, B.J. Parents’ concerns about vaccine scheduling in Shanghai, China. Vaccine 2017, 35, 4362–4367. [Google Scholar] [CrossRef]
- Mtenga, S.; Mhalu, G.; Osetinsky, B.; Ramaiya, K.; Kassim, T.; Hooley, B.; Tediosi, F. Social-political and vaccine related determinants of COVID-19 vaccine hesitancy in Tanzania: A qualitative inquiry. PLoS Glob. Public Health 2023, 3, e0002010. [Google Scholar] [CrossRef]
- Fu, L.Y.; Zimet, G.D.; Latkin, C.A.; Joseph, J.G. Associations of trust and healthcare provider advice with HPV vaccine acceptance among African American parents. Vaccine 2017, 35, 802–807. [Google Scholar] [CrossRef]
- Dickson, T.; Hirko, K.A.; Ford, S. Provider confidence and perceived barriers when recommending the human papillomavirus vaccine to parents. J. Cancer Educ. 2023, 38, 1193–1199. [Google Scholar] [CrossRef]
- Oh, N.L.; Biddell, C.B.; Rhodes, B.E.; Brewer, N.T. Provider communication and HPV vaccine uptake: A meta-analysis and systematic review. Prev. Med. 2021, 148, 106554. [Google Scholar] [CrossRef]
- Njogu, R.; Deb Roy, A.; Bagudu, Z.; Borda, H.; Jurgensmeyer, M.; Muralidharan, K.; Limaye, R. Effective communication by health care workers to promote HPV vaccination: Lessons learned from Kenya, India, and Nigeria. Vaccine 2024, 42, S27–S32. [Google Scholar] [CrossRef]
- Wang, X.; Wen, S.; Wu, J.; Cui, Z.; Shen, H.; Hu, S.; Zeng, S.; Tang, F. Why do older adults hesitate to get the flu vaccine? A cross-sectional study on vaccine hesitancy in the post-COVID-19 era. Front. Public Health 2025, 13, 1603091. [Google Scholar] [CrossRef]
- Abdul-Mutakabbir, J.C.; Abdul-Mutakabbir, R.; Casey, S.J. Utilizing an educational intervention to enhance influenza vaccine literacy and acceptance among minoritized adults in Southern Californian vulnerable communities in the post-COVID-19 era. Infect. Dis. Rep. 2025, 17, 18. [Google Scholar] [CrossRef] [PubMed]
- Jiang, M.; Jiang, W.; Yan, X.; Ma, H.; Zhou, S.; Ying, X. The equity road ahead for financing non-national immunization program vaccines in China: Challenges and opportunities from a qualitative study. Int. J. Equity Health 2024, 23, 193. [Google Scholar] [CrossRef] [PubMed]
- Zhang, X.; Chen, S.; Zhu, K.; Tang, S. Financing the introduction of new vaccines to the national immunisation programme in China: Challenges and options for action. BMJ Glob. Health 2025, 10, e017970. [Google Scholar] [CrossRef]
- Ngamprasertchai, T.; Kositamongkol, C.; Lawpoolsri, S.; Rattanaumpawan, P.; Luvira, V.; Chongtrakool, P.; Kaewkungwal, J.; Chokephaibulkit, K.; Phisalprapa, P. A cost-effectiveness analysis of the 13-valent pneumococcal conjugated vaccine and the 23-valent pneumococcal polysaccharide vaccine among Thai older adult. Front. Public Health 2023, 11, 1071117. [Google Scholar] [CrossRef]
- Ando, T.; Ibuka, Y.; Goto, R.; Haruta, J.; Le, D.D.; Fujishima, S. Effect of influenza vaccine subsidies for older adults on vaccination coverage and mortality before and during the COVID-19 pandemic: An ecological study in Japan. Public Health 2023, 224, 152–158. [Google Scholar] [CrossRef] [PubMed]
- Tang, F.F.-Y.; Kosana, P.; Jit, M.; Terris-Prestholt, F.; Wu, D.; Ong, J.J.; Tucker, J.D. Pay-it-forward influenza vaccination among older adults and children: A cost-effectiveness analysis in China. PLoS Glob. Public Health 2023, 3, e0001590. [Google Scholar] [CrossRef]
- Zhang, H.; Patenaude, B.; Ma, C.; Fang, H. Vaccine pricing strategies in China. BMJ Glob. Health 2023, 8, e011405. [Google Scholar] [CrossRef]


| Variable | Response Options |
|---|---|
| Age group (years) | ≤20; 21–40; 41–60; 61–80; ≥81 |
| Gender | Male; Female |
| Educational attainment | Illiterate or semi-literate; Primary school; Middle school; High school (vocational/technical); University; Graduate or higher degree |
| Occupation | Healthcare worker; non-healthcare worker; Retired; Other occupation |
| Economic (living) standard | Low income; Middle income; High income |
| Residence type | Urban community; Town center; Rural |
| Self-reported health status | Healthy, no chronic conditions; Chronic disease (e.g., hypertension, diabetes); Severe illness |
| Medical insurance coverage | Urban employee health insurance; Urban/Rural resident health insurance; No insurance |
| Usual vaccination site | CDC-designated vaccination center; Local health center; Community health center; Village clinic |
| Distance to nearest vaccination site | <1 km; 1–3 km; 3–5 km; 5–10 km; >10 km |
| Mode of transport to vaccination site | Public transportation; Personal vehicle; Walking; Bicycle/e-scooter; Other mode |
| Waiting time at vaccination site | ≤15 min; 15–30 min; 30–60 min; >60 min |
| Convenience of access to vaccination site | Convenient; Moderately convenient; Not convenient |
| Awareness and acceptance of non-NIP vaccines | Five-point Likert scales (self-rated understanding and endorsement) |
| Received recommendation from healthcare provider | Yes; No |
| Participation in non-NIP vaccine education/promotion | Yes; No |
| Awareness of recent vaccine-related adverse event reports | Yes; No |
| Knowledge of free vaccination programmes | Yes; No |
| Affordability of vaccine price | Price reasonable and fully affordable; Price somewhat high but affordable; Price high and reduces willingness; Cannot afford; Will not consider vaccination |
| Characteristic | Category | n | % |
|---|---|---|---|
| Gender | Male | 242 | 32.1 |
| Female | 511 | 67.9 | |
| Age group (years) | ≤20 | 16 | 2.1 |
| 21–40 | 361 | 47.9 | |
| 41–60 | 219 | 29.1 | |
| 61–80 | 151 | 20.1 | |
| ≥81 | 6 | 0.8 | |
| Educational attainment | Illiterate or semi-literate | 10 | 1.3 |
| Primary school | 37 | 4.9 | |
| Middle school | 78 | 10.4 | |
| High school (vocational/technical) | 121 | 16.1 | |
| University | 478 | 63.5 | |
| Graduate or above | 29 | 3.9 | |
| Occupation | Healthcare worker | 176 | 23.4 |
| Non-healthcare worker | 404 | 53.7 | |
| Retired | 131 | 17.4 | |
| Other | 42 | 5.6 | |
| Annual household income (2023) | <¥20,000 | 40 | 5.3 |
| ¥20,000–49,999 | 45 | 6 | |
| ¥50,000–99,999 | 214 | 28.4 | |
| ¥100,000–499,999 | 430 | 57.1 | |
| ≥¥500,000 | 24 | 3.2 | |
| Self-reported living standard | Low income | 249 | 33.1 |
| Middle income | 495 | 65.7 | |
| High income | 9 | 1.2 | |
| Residence type | Urban community | 616 | 81.8 |
| Town center | 104 | 13.8 | |
| Rural | 33 | 4.4 |
| Influencing Factor | Total Respondents (n (%)) | Very Well Aware (%) | Fairly Well Aware (%) | Moderately Aware (%) | Not Very Aware (%) | Completely Unaware (%) | Test Statistic | p-Value |
|---|---|---|---|---|---|---|---|---|
| Age group (years) | 54.939 | <0.001 | ||||||
| ≤20 | 16 (2.12%) | 12.50% | 12.50% | 37.50% | 31.25% | 6.25% | ||
| 21–40 | 361 (47.94%) | 20.22% | 22.44% | 32.96% | 19.94% | 4.43% | ||
| 41–60 | 219 (29.08%) | 15.07% | 17.81% | 34.70% | 26.03% | 6.39% | ||
| 61–80 | 151 (20.05%) | 5.96% | 12.58% | 25.17% | 45.70% | 10.60% | ||
| ≥81 | 6 (0.80%) | 0.00% | 0.00% | 33.33% | 33.33% | 33.33% | ||
| Educational attainment | 58.945 | <0.001 | ||||||
| Illiterate or semi-literate | 10 (1.33%) | 0.00% | 20.00% | 10.00% | 50.00% | 20.00% | ||
| Primary school | 37 (4.91%) | 8.11% | 8.11% | 29.73% | 43.24% | 10.81% | ||
| Middle school | 78 (10.36%) | 10.26% | 11.54% | 15.38% | 46.15% | 16.67% | ||
| High school (vocational/technical) | 121 (16.07%) | 9.92% | 14.05% | 31.40% | 35.54% | 9.09% | ||
| University | 478 (63.48%) | 18.62% | 21.34% | 35.56% | 20.71% | 3.77% | ||
| Graduate or higher degree | 29 (3.85%) | 17.24% | 27.59% | 31.03% | 20.69% | 3.45% | ||
| Occupation | 59.303 | <0.001 | ||||||
| Healthcare worker | 176 (23.37%) | 22.16% | 27.84% | 33.52% | 13.07% | 3.41% | ||
| Non-healthcare worker | 404 (53.65%) | 15.84% | 17.57% | 34.16% | 26.73% | 5.69% | ||
| Retired | 131 (17.40%) | 6.11% | 13.74% | 21.37% | 46.56% | 12.21% | ||
| Other occupation | 42 (5.58%) | 14.29% | 7.14% | 38.10% | 30.95% | 9.52% | ||
| Economic (living) standard | 28.378 | <0.001 | ||||||
| Low income | 249 (33.07%) | 10.44% | 13.65% | 31.33% | 34.94% | 9.64% | ||
| Middle income | 495 (65.74%) | 17.58% | 21.41% | 32.12% | 23.84% | 5.05% | ||
| High income | 9 (1.20%) | 44.44% | 11.11% | 44.44% | 0.00% | 0.00% | ||
| Self-reported health status | 15.494 | <0.001 | ||||||
| Healthy; no chronic condition | 572 (75.96%) | 16.78% | 19.58% | 34.62% | 22.90% | 6.12% | ||
| Chronic disease (e.g., hypertension, diabetes) | 178 (23.64%) | 11.80% | 16.29% | 23.60% | 40.45% | 7.87% | ||
| Severe illness | 3 (0.40%) | 0.00% | 0.00% | 33.33% | 66.67% | 0.00% | ||
| Medical insurance coverage | 13.526 | <0.001 | ||||||
| Urban employee health insurance | 616 (81.81%) | 16.07% | 20.62% | 32.79% | 24.51% | 6.01% | ||
| Urban/Rural resident health insurance | 120 (15.94%) | 14.17% | 9.17% | 30.00% | 37.50% | 9.17% | ||
| No insurance | 17 (2.26%) | 5.88% | 17.65% | 17.65% | 52.94% | 5.88% | ||
| Convenience of access to vaccination site | 17.582 | <0.001 | ||||||
| Convenient | 599 (79.55%) | 17.70% | 19.70% | 31.39% | 26.21% | 5.01% | ||
| Moderately convenient | 141 (18.73%) | 7.09% | 14.18% | 34.75% | 32.62% | 11.35% | ||
| Not convenient | 13 (1.73%) | 7.69% | 23.08% | 30.77% | 15.38% | 23.08% | ||
| Received recommendation from healthcare provider | 47.8 | <0.001 | ||||||
| Yes | 463 (61.49%) | 20.52% | 21.38% | 32.40% | 21.60% | 4.10% | ||
| No | 290 (38.51%) | 7.59% | 14.48% | 31.38% | 36.21% | 10.34% | ||
| Participation in non-NIP vaccine education/promotion | 100.836 | <0.001 | ||||||
| Yes | 354 (47.01%) | 26.27% | 24.86% | 29.38% | 16.10% | 3.39% | ||
| No | 399 (52.99%) | 6.02% | 13.28% | 34.34% | 37.09% | 9.27% |
| Influencing Factor | Total Respondents (n (%)) | Strongly Accept (%) | Somewhat Accept (%) | Moderately Accept (%) | Somewhat Reject (%) | Strongly Reject (%) | Test Statistic | p-Value |
|---|---|---|---|---|---|---|---|---|
| Age group | 33.804 | <0.001 | ||||||
| ≤20 years | 16 (2.12%) | 18.75% | 18.75% | 62.50% | 0.00% | 0.00% | ||
| 21–40 years | 361 (47.94%) | 26.04% | 28.25% | 39.06% | 5.82% | 0.83% | ||
| 41–60 years | 219 (29.08%) | 19.63% | 21.46% | 46.12% | 9.59% | 3.20% | ||
| 61–80 years | 151 (20.05%) | 7.28% | 21.19% | 60.26% | 8.61% | 2.65% | ||
| ≥81 years | 6 (0.80%) | 16.67% | 33.33% | 50.00% | 0.00% | 0.00% | ||
| Educational attainment | 20.84 | 0.001 | ||||||
| Illiterate or semi-literate | 10 (1.33%) | 20.00% | 10.00% | 40.00% | 20.00% | 10.00% | ||
| Primary school | 37 (4.91%) | 5.41% | 18.92% | 59.46% | 10.81% | 5.41% | ||
| Middle school | 78 (10.36%) | 11.54% | 23.08% | 52.56% | 10.26% | 2.56% | ||
| High school (vocational/technical) | 121 (16.07%) | 16.53% | 23.97% | 52.07% | 4.96% | 2.48% | ||
| University | 478 (63.48%) | 22.80% | 25.94% | 43.31% | 6.69% | 1.26% | ||
| Graduate or higher degree | 29 (3.85%) | 34.48% | 24.14% | 31.03% | 10.34% | 0.00% | ||
| Occupation | 25.037 | <0.001 | ||||||
| Healthcare worker | 176 (23.37%) | 28.41% | 30.68% | 34.09% | 5.11% | 1.70% | ||
| Non-healthcare worker | 404 (53.65%) | 20.79% | 22.77% | 47.28% | 7.67% | 1.49% | ||
| Retired | 131 (17.40%) | 8.40% | 24.43% | 55.73% | 9.16% | 2.29% | ||
| Other occupation | 42 (5.58%) | 16.67% | 19.05% | 52.38% | 7.14% | 4.76% | ||
| Economic (living) standard | 11.574 | 0.003 | ||||||
| Low-income | 249 (33.07%) | 15.26% | 22.49% | 49.80% | 9.24% | 3.21% | ||
| Middle-income | 495 (65.74%) | 22.02% | 26.26% | 44.24% | 6.26% | 1.21% | ||
| High-income | 9 (1.20%) | 55.56% | 0.00% | 33.33% | 11.11% | 0.00% | ||
| Residence type | 7.669 | 0.022 | ||||||
| Urban community | 616 (81.81%) | 18.67% | 23.38% | 49.03% | 6.98% | 1.95% | ||
| Town center | 104 (13.81%) | 25.96% | 32.69% | 29.81% | 9.62% | 1.92% | ||
| Rural | 33 (4.38%) | 30.30% | 24.24% | 39.39% | 6.06% | 0.00% | ||
| Self-reported health status | 6.844 | 0.033 | ||||||
| Healthy, no chronic conditions | 572 (75.96%) | 21.68% | 25.35% | 44.93% | 6.47% | 1.57% | ||
| Chronic disease (e.g., hypertension, diabetes) | 178 (23.64%) | 15.73% | 22.47% | 49.44% | 9.55% | 2.81% | ||
| Severe illness | 3 (0.40%) | 0.00% | 33.33% | 33.33% | 33.33% | 0.00% | ||
| Usual vaccination site | 11.520 | 0.009 | ||||||
| CDC-designated vaccination center | 22 (2.92%) | 18.18% | 9.09% | 50.00% | 18.18% | 4.55% | ||
| Local health center | 55 (7.30%) | 29.09% | 30.91% | 34.55% | 5.45% | 0.00% | ||
| Community health center | 673 (89.38%) | 19.61% | 24.81% | 46.66% | 6.98% | 1.93% | ||
| Village clinic | 3 (0.40%) | 0.00% | 0.00% | 66.67% | 33.33% | 0.00% | ||
| Mode of transport to vaccination site | 27.578 | <0.001 | ||||||
| Public transportation | 149 (19.79%) | 14.77% | 22.15% | 54.36% | 6.71% | 2.01% | ||
| Personal vehicle | 264 (35.06%) | 29.55% | 26.89% | 36.36% | 5.30% | 1.89% | ||
| Walking | 139 (18.46%) | 15.83% | 28.78% | 47.48% | 6.47% | 1.44% | ||
| Bicycle/e-scooter | 200 (26.56%) | 15.00% | 21.00% | 51.00% | 11.00% | 2.00% | ||
| Other mode | 1 (0.13%) | 0.00% | 0.00% | 100.00% | 0.00% | 0.00% | ||
| Convenience of access to vaccination site | 18.217 | <0.001 | ||||||
| Convenient | 599 (79.55%) | 22.04% | 25.88% | 44.91% | 6.01% | 1.17% | ||
| Moderately convenient | 141 (18.73%) | 12.77% | 21.28% | 51.06% | 10.64% | 4.26% | ||
| Not convenient | 13 (1.73%) | 15.38% | 7.69% | 38.46% | 30.77% | 7.69% | ||
| Received recommendation from healthcare provider | 188.304 | <0.001 | ||||||
| Yes | 463 (61.49%) | 25.92% | 26.78% | 40.60% | 4.97% | 1.73% | ||
| No | 290 (38.51%) | 11.03% | 21.38% | 54.48% | 11.03% | 2.07% | ||
| Participation in non-NIP vaccine education/promotion | 147.692 | <0.001 | ||||||
| Yes | 354 (47.01%) | 33.05% | 26.55% | 35.03% | 3.95% | 1.41% | ||
| No | 399 (52.99%) | 8.77% | 23.06% | 55.64% | 10.28% | 2.26% | ||
| Awareness of recent vaccine-related adverse event reports | 35.486 | <0.001 | ||||||
| Yes | 258 (34.26%) | 33.72% | 23.64% | 36.05% | 5.04% | 1.55% | ||
| No | 495 (65.74%) | 13.13% | 25.25% | 51.11% | 8.48% | 2.02% | ||
| Knowledge of free vaccination programmes | 31.299 | <0.001 | ||||||
| Yes | 414 (54.98%) | 26.81% | 25.60% | 41.55% | 4.59% | 1.45% | ||
| No | 339 (45.02%) | 12.09% | 23.60% | 51.33% | 10.62% | 2.36% | ||
| Affordability of vaccine price | 45.604 | <0.001 | ||||||
| Price reasonable and fully affordable | 236 (31.34%) | 30.93% | 23.31% | 40.25% | 4.24% | 1.27% | ||
| Price somewhat high but affordable | 281 (37.32%) | 19.93% | 29.54% | 43.06% | 7.12% | 0.36% | ||
| Price high and reduces willingness | 205 (27.22%) | 9.27% | 21.46% | 57.56% | 9.27% | 2.44% | ||
| Cannot afford; will not consider vaccination | 31 (4.12%) | 12.90% | 12.90% | 38.71% | 19.35% | 16.13% |
| Influencing Factor | Regression Coefficient (β) | Standard Error (SE) | Wald Statistic | p-Value | Adjusted Odds Ratio (95% CI) | VIF |
|---|---|---|---|---|---|---|
| Awareness of non-NIP vaccines (ref: very well aware) | ||||||
| completely unaware | −0.998 | 1.627 | 0.377 | 0.539 | 0.369 (0.015, 8.935) | |
| not very aware | 1.360 | 1.628 | 0.697 | 0.404 | 3.896 (0.160, 94.822) | |
| moderately aware | 3.050 | 1.631 | 3.496 | 0.062 | 21.115 (0.863, 516.978) | |
| fairly well aware | 4.308 | 1.633 | 6.956 | 0.008 | 74.292 (3.022, 1824.388) | |
| Age group (ref: ≥81 years) | 1.879 | |||||
| ≤20 years | 1.394 | 1.007 | 1.917 | 0.166 | 4.031 (0.560, 29.020) | |
| 21–40 years | 1.811 | 0.864 | 4.392 | 0.036 | 6.117 (1.124, 33.281) | |
| 41–60 years | 1.380 | 0.855 | 2.607 | 0.106 | 3.975 (0.745, 21.242) | |
| 61–80 years | 1.121 | 0.805 | 1.940 | 0.164 | 3.068 (0.634, 14.850) | |
| Educational attainment (ref: Graduate or higher degree) | 1.924 | |||||
| Illiterate or semi-literate | −1.154 | 0.737 | 2.451 | 0.117 | 0.315 (0.074, 1.338) | |
| Primary school | −0.604 | 0.535 | 1.278 | 0.258 | 0.547 (0.192, 1.557) | |
| Middle school | −0.771 | 0.469 | 2.696 | 0.101 | 0.463 (0.184, 1.161) | |
| High school (vocational/technical) | −0.224 | 0.408 | 0.301 | 0.583 | 0.799 (0.360, 1.779) | |
| University | 0.105 | 0.355 | 0.088 | 0.766 | 1.111 (0.554, 2.228) | |
| Occupation (ref: Other occupation) | 1.140 | |||||
| Healthcare worker | 0.629 | 0.510 | 1.518 | 0.218 | 1.876 (0.690, 5.099) | |
| Non-healthcare worker | 0.352 | 0.392 | 0.806 | 0.369 | 1.422 (0.659, 3.068) | |
| Retired | 0.343 | 0.406 | 0.712 | 0.399 | 1.409 (0.636, 3.124) | |
| Economic (living) standard (ref: high income) | 1.088 | |||||
| Low income | −2.306 | 0.686 | 11.298 | 0.001 | 0.100 (0.026, 0.382) | |
| Middle income | −1.795 | 0.683 | 6.906 | 0.009 | 0.166 (0.043, 0.634) | |
| Self-reported health status (ref: Severe illness) | 1.313 | |||||
| Healthy; no chronic condition | 1.750 | 1.137 | 2.368 | 0.124 | 5.755 (0.619, 53.410) | |
| Chronic disease (e.g., hypertension, diabetes) | 1.710 | 1.141 | 2.245 | 0.134 | 5.529 (0.590, 51.780) | |
| Medical insurance coverage (ref: No insurance) | 1.214 | |||||
| Urban employee health insurance | −0.001 | 0.477 | 0.001 | 0.998 | 0.999 (0.392, 2.545) | |
| Urban/Rural resident health insurance | 0.054 | 0.493 | 0.012 | 0.913 | 1.055 (0.402, 2.773) | |
| Convenience of access to vaccination site (ref: Not convenient) | 1.052 | |||||
| Convenient | 0.072 | 0.536 | 0.018 | 0.894 | 1.075 (0.375, 3.074) | |
| Moderately convenient | −0.424 | 0.552 | 0.589 | 0.443 | 0.654 (0.222, 1.931) | |
| Recommended non-NIP vaccine by healthcare provider (ref: No) | 1.346 | |||||
| Yes | 0.563 | 0.163 | 11.969 | 0.001 | 1.756 (1.276, 2.416) | |
| Participated in non-NIP vaccine education/promotion (ref: No) | 1.312 | |||||
| Yes | 1.115 | 0.162 | 47.579 | <0.001 | 3.050 (2.221, 4.187) |
| Influencing Factor | Regression Coefficient (β) | Standard Error (SE) | Wald Statistic | p-Value | Adjusted Odds Ratio (95% CI) | VIF |
|---|---|---|---|---|---|---|
| Acceptance (endorsement) of non-NIP Vaccines (ref: strongly accept) | ||||||
| strongly reject | −0.315 | 2.884 | 0.012 | 0.913 | 0.730 (0.003, 208.096) | |
| somewhat reject | 1.509 | 2.878 | 0.275 | 0.600 | 4.522 (0.016, 1274.106) | |
| moderately accept | 4.572 | 2.885 | 2.511 | 0.113 | 96.737 (0.339, 27,667.120) | |
| somewhat accept | 6.046 | 2.888 | 4.384 | 0.036 | 422.420 (1.471, 121,297.320) | |
| Age group (ref: ≥81 years) | 1.946 | |||||
| ≤20 years | −0.641 | 1.053 | 0.370 | 0.543 | 0.527 (0.067, 4.154) | |
| 21–40 years | −0.696 | 0.904 | 0.592 | 0.442 | 0.499 (0.085, 2.936) | |
| 41–60 years | −1.290 | 0.894 | 2.082 | 0.149 | 0.275 (0.048, 1.589) | |
| 61–80 years | −1.838 | 0.845 | 4.734 | 0.030 | 0.159 (0.030, 0.834) | |
| Educational attainment (ref: Graduate or higher degree) | 1.830 | |||||
| Illiterate or semi-literate | −0.854 | 0.768 | 1.236 | 0.266 | 0.426 (0.094, 1.917) | |
| Primary school | −0.830 | 0.562 | 2.182 | 0.140 | 0.436 (0.145, 1.311) | |
| Middle school | −0.200 | 0.493 | 0.165 | 0.685 | 0.819 (0.311, 2.151) | |
| High school (vocational/technical) | −0.118 | 0.434 | 0.074 | 0.786 | 0.889 (0.379, 2.081) | |
| University | −0.420 | 0.376 | 1.249 | 0.264 | 0.657 (0.314, 1.373) | |
| Occupation (ref: Other occupation) | 1.156 | |||||
| Healthcare worker | 0.711 | 0.425 | 2.800 | 0.094 | 2.036 (0.885, 4.683) | |
| Non-healthcare worker | 0.488 | 0.400 | 1.489 | 0.222 | 1.629 (0.744, 3.568) | |
| Retired | 0.262 | 0.439 | 0.356 | 0.550 | 1.300 (0.549, 3.074) | |
| Economic (living) standard (ref: High-income) | 1.181 | |||||
| Low-income | −0.868 | 0.696 | 1.553 | 0.213 | 0.420 (0.107, 1.644) | |
| Middle-income | −0.838 | 0.688 | 1.484 | 0.223 | 0.433 (0.112, 1.665) | |
| Residence type (ref: rural) | 1.117 | |||||
| Urban community | −0.841 | 0.371 | 5.147 | 0.023 | 0.431 (0.209, 0.892) | |
| Town center | −0.302 | 0.4 | 0.570 | 0.450 | 0.739 (0.338, 1.619) | |
| Self-reported health status (ref: Severe illness) | 1.326 | |||||
| Healthy, no chronic conditions | 2.172 | 1.247 | 3.037 | 0.081 | 8.776 (0.763, 101.089) | |
| Chronic disease (e.g., hypertension, diabetes) | 2.155 | 1.249 | 2.975 | 0.085 | 8.628 (0.745, 99.883) | |
| Usual vaccination site (ref: Village clinic) | 1.027 | |||||
| CDC-designated vaccination center | 0.924 | 1.197 | 0.596 | 0.440 | 2.519 (0.241, 26.311) | |
| Local health center | 1.849 | 1.162 | 2.533 | 0.112 | 6.353 (0.652, 61.992) | |
| Community health center | 1.609 | 1.134 | 2.011 | 0.156 | 4.998 (0.541, 46.155) | |
| Mode of transport to vaccination site (ref: Other mode) | 1.024 | |||||
| Public transportation | 0.015 | 2.093 | 0.001 | 0.994 | 1.015 (0.017, 61.313) | |
| Personal vehicle | 0.447 | 2.094 | 0.046 | 0.831 | 1.564 (0.026, 94.727) | |
| Walking | 0.143 | 2.093 | 0.005 | 0.945 | 1.154 (0.019, 69.826) | |
| Bicycle/e-scooter | −0.078 | 2.093 | 0.001 | 0.970 | 0.925 (0.015, 55.924) | |
| Convenience of access to vaccination site (ref: Not convenient) | 1.080 | |||||
| Convenient | 0.874 | 0.588 | 2.212 | 0.137 | 2.396 (0.757, 7.584) | |
| Moderately convenient | 0.335 | 0.603 | 0.310 | 0.578 | 1.398 (0.429, 4.554) | |
| Received recommendation from healthcare provider (ref: No) | 1.425 | |||||
| Yes | 0.391 | 0.176 | 4.929 | 0.026 | 1.478 (1.047, 2.090) | |
| Participated in non-NIP education/promotion (ref: No) | 1.376 | |||||
| Yes | 0.897 | 0.170 | 27.918 | <0.001 | 2.452 (1.758, 3.421) | |
| Awareness of recent vaccine-related adverse event reports (ref: No) | 1.215 | |||||
| Yes | 0.207 | 0.164 | 1.602 | 0.206 | 1.230 (0.892, 1.696) | |
| Knowledge of free vaccination programs (ref: No) | 1.223 | |||||
| Yes | 0.238 | 0.159 | 2.232 | 0.135 | 1.269 (0.929, 1.733) | |
| Affordability of vaccine price (ref: cannot afford) | 1.142 | |||||
| Price reasonable; fully affordable | 1.817 | 0.398 | 20.851 | <0.001 | 6.153 (2.821, 13.410) | |
| Price somewhat high but affordable | 1.710 | 0.393 | 18.956 | <0.001 | 5.529 (2.560, 11.929) | |
| Price high reduces willingness | 1.042 | 0.389 | 7.181 | <0.001 | 2.835 (1.323, 6.080) |
Disclaimer/Publisher’s Note: The statements, opinions and data contained in all publications are solely those of the individual author(s) and contributor(s) and not of MDPI and/or the editor(s). MDPI and/or the editor(s) disclaim responsibility for any injury to people or property resulting from any ideas, methods, instructions or products referred to in the content. |
© 2026 by the authors. Licensee MDPI, Basel, Switzerland. This article is an open access article distributed under the terms and conditions of the Creative Commons Attribution (CC BY) license.
Share and Cite
Ma, H.; Zhang, Y.; Zhao, D.; Lu, H.; Yu, P.; Fan, J.; Wu, Q.; Zhong, W.; Shao, H.; Sun, X.; et al. Public Perceptions and Influencing Factors of Non-National Immunization Program (Non-NIP) Vaccines in Shanghai: A Population-Based Study. Vaccines 2026, 14, 174. https://doi.org/10.3390/vaccines14020174
Ma H, Zhang Y, Zhao D, Lu H, Yu P, Fan J, Wu Q, Zhong W, Shao H, Sun X, et al. Public Perceptions and Influencing Factors of Non-National Immunization Program (Non-NIP) Vaccines in Shanghai: A Population-Based Study. Vaccines. 2026; 14(2):174. https://doi.org/10.3390/vaccines14020174
Chicago/Turabian StyleMa, Haifeng, Yu Zhang, Danni Zhao, Hongmei Lu, Ping Yu, Jialei Fan, Qiangsong Wu, Wenjiang Zhong, Huiyong Shao, Xiaodong Sun, and et al. 2026. "Public Perceptions and Influencing Factors of Non-National Immunization Program (Non-NIP) Vaccines in Shanghai: A Population-Based Study" Vaccines 14, no. 2: 174. https://doi.org/10.3390/vaccines14020174
APA StyleMa, H., Zhang, Y., Zhao, D., Lu, H., Yu, P., Fan, J., Wu, Q., Zhong, W., Shao, H., Sun, X., Huang, Z., & Wu, L. (2026). Public Perceptions and Influencing Factors of Non-National Immunization Program (Non-NIP) Vaccines in Shanghai: A Population-Based Study. Vaccines, 14(2), 174. https://doi.org/10.3390/vaccines14020174

