Exploring the Impact of Adjuvants on Vaccine Immunity Through Hematopoietic Cells
Abstract
1. Introduction
2. Materials and Methods
2.1. Preparation of HPV VLP Vaccine with Adjuvants
2.2. Non-Human Primates Study Design
2.3. Immune Profiling—RNA Sequencing
2.4. Multiplexed Meso Scale Discovery (MSD) Assay
2.5. Data Preparation for Computational Analysis
2.6. Enrichment Scores for Analyzing Differentially Expressed Genes
3. Results
3.1. Non-Human Primates Study with 8 Different Adjuvants for the HPV Vaccine
3.2. Longitudinal Antibody Profile of Adjuvanted Vaccines
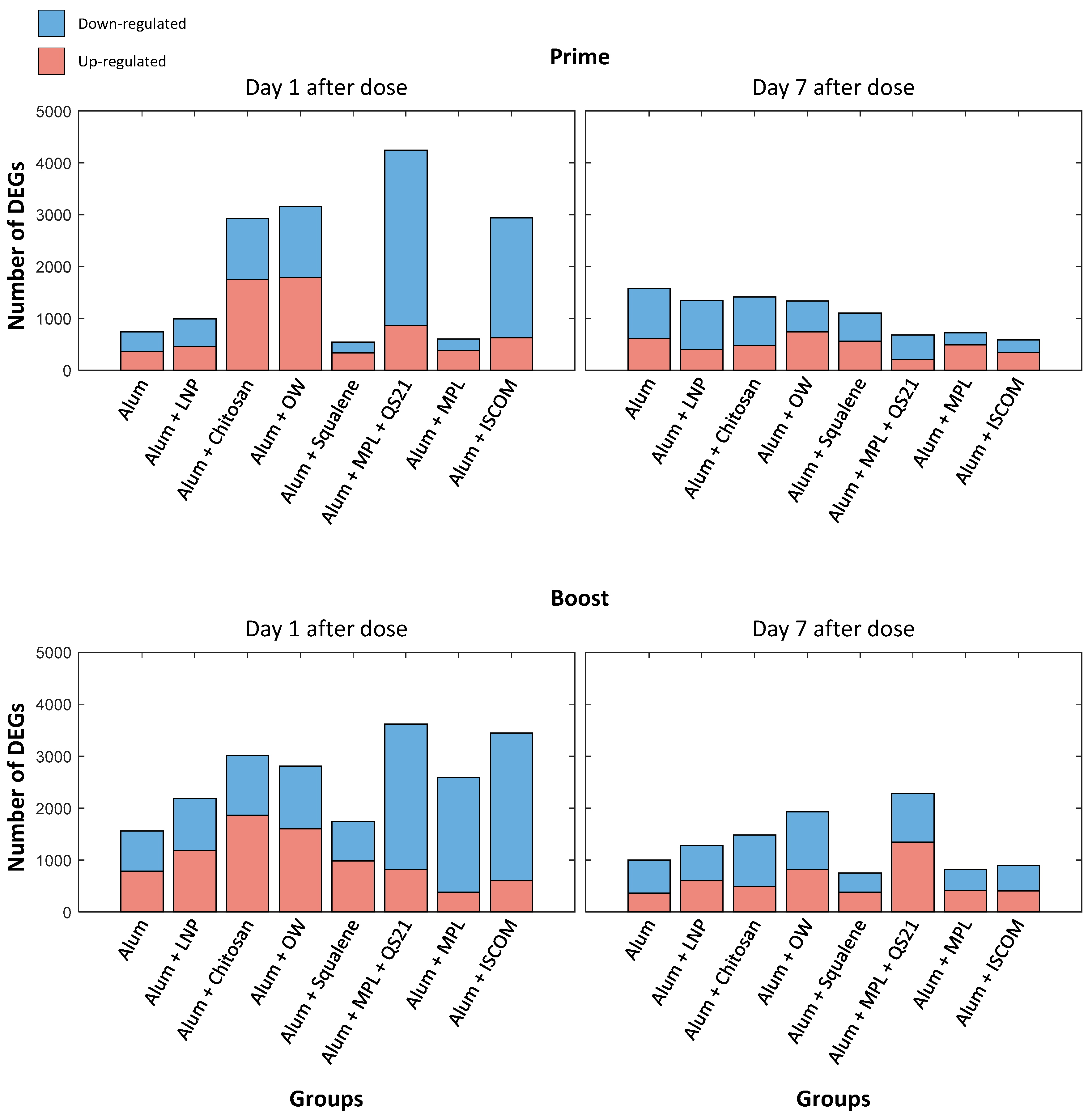
3.3. Analysis of Differentially Expressed Genes Using Bulk RNA Sequencing Data
3.4. Enrichment Scores of Differentially Expressed Genes
3.5. Heatmap of Differentially Expressed Genes Related to Megakaryocytes and Platelets
3.6. Generative AI for Connecting Immune Response and Megakaryocytes/Platelets
4. Discussion
5. Conclusions
Author Contributions
Funding
Institutional Review Board Statement
Data Availability Statement
Acknowledgments
Conflicts of Interest
References
- Brodin, P. Platelet partnerships and lasting memories. Nat. Immunol. 2025, 26, 7–8. [Google Scholar] [CrossRef] [PubMed]
- Ben-Akiva, E.; Chapman, A.; Mao, T.; Irvine, D.J. Linking vaccine adjuvant mechanisms of action to function. Sci. Immunol. 2025, 10, eado5937. [Google Scholar] [CrossRef] [PubMed]
- Zhao, T.; Cai, Y.; Jiang, Y.; He, X.; Wei, Y.; Yu, Y.; Tian, X. Vaccine adjuvants: Mechanisms and platforms. Signal Transduct. Target. Ther. 2023, 8, 283. [Google Scholar] [CrossRef]
- Pellegrina, D.; Wilson, H.L.; Mutwiri, G.K.; Helmy, M. Transcriptional Systems Vaccinology Approaches for Vaccine Adjuvant Profiling. Vaccines 2025, 13, 33. [Google Scholar] [CrossRef]
- Cortese, M.; Hagan, T.; Rouphael, N.; Wu, S.Y.; Xie, X.; Kazmin, D.; Wimmers, F.; Gupta, S.; van der Most, R.; Coccia, M.; et al. System vaccinology analysis of predictors and mechanisms of antibody response durability to multiple vaccines in humans. Nat. Immunol. 2025, 26, 116–130. [Google Scholar] [CrossRef]
- Palin, A.C.; Alter, G.; Crotty, S.; Ellebedy, A.H.; Lane, M.C.; Lee, F.E.; Locci, M.; Malaspina, A.; Mallia, C.; McElrath, M.J.; et al. The persistence of memory: Defining, engineering, and measuring vaccine durability. Nat. Immunol. 2022, 23, 1665–1668. [Google Scholar] [CrossRef]
- Ji, Y.; Bekkari, K.; Patel, R.; Shardar, M.; Walford, G.A.; Kim, S.; Liu, Y.P.; Read-Button, W.; Tracy, K.; Kriss, J.; et al. Machine learning insights into vaccine adjuvants and immune outcomes. Front. Immunol. 2025, 16, 1654060. [Google Scholar] [CrossRef]
- Seder, R.A.; Darrah, P.A.; Roederer, M. T-cell quality in memory and protection: Implications for vaccine design. Nat. Rev. Immunol. 2008, 8, 247–258. [Google Scholar] [CrossRef] [PubMed]
- Querec, T.D.; Akondy, R.S.; Lee, E.K.; Cao, W.; Nakaya, H.I.; Teuwen, D.; Pirani, A.; Gernert, K.; Deng, J.; Marzolf, B.; et al. Systems biology approach predicts immunogenicity of the yellow fever vaccine in humans. Nat. Immunol. 2009, 10, 116–125. [Google Scholar] [CrossRef]
- Cunin, P.; Nigrovic, P.A. Megakaryocytes as immune cells. J. Leukoc. Biol. 2019, 105, 1111–1121. [Google Scholar] [CrossRef]
- Scherlinger, M.; Richez, C.; Tsokos, G.C.; Boilard, E.; Blanco, P. The role of platelets in immune-mediated inflammatory diseases. Nat. Rev. Immunol. 2023, 23, 495–510. [Google Scholar] [CrossRef]
- Prabahran, A.; Manley, A.L.; Wu, Z.J.; Gao, S.G.; Mizumaki, H.; Combs, C.; Chen, J.C.; Feng, X.M.; Young, N.S. Megakaryocytes Have Immune Characteristics in Murine Immune Bone Marrow Failure. Blood 2023, 142, 1349. [Google Scholar] [CrossRef]
- Marcoux, G.; Laroche, A.; Espinoza Romero, J.; Boilard, E. Role of platelets and megakaryocytes in adaptive immunity. Platelets 2021, 32, 340–351. [Google Scholar] [CrossRef]
- Frydman, G.H.; Ellett, F.; Jorgensen, J.; Marand, A.L.; Zukerberg, L.; Selig, M.K.; Tessier, S.N.; Wong, K.H.K.; Olaleye, D.; Vanderburg, C.R.; et al. Megakaryocytes respond during sepsis and display innate immune cell behaviors. Front. Immunol. 2023, 14, 1083339. [Google Scholar] [CrossRef] [PubMed]
- Khatib-Massalha, E.; Méndez-Ferrer, S. Megakaryocyte Diversity in Ontogeny, Functions and Cell-Cell Interactions. Front. Oncol. 2022, 12, 840044. [Google Scholar] [CrossRef] [PubMed]
- Buka, R.J.; Montague, S.J.; Moran, L.A.; Martin, E.M.; Slater, A.; Watson, S.P.; Nicolson, P.L.R. PF4 activates the c-Mpl-Jak2 pathway in platelets. Blood 2024, 143, 64–69. [Google Scholar] [CrossRef]
- Sharma, S.; Tyagi, T.; Antoniak, S. Platelet in thrombo-inflammation: Unraveling new therapeutic targets. Front. Immunol. 2022, 13, 1039843. [Google Scholar] [CrossRef] [PubMed]
- Anitua, E.; Troya, M.; Alkhraisat, M.H. Immunoregulatory role of platelet derivatives in the macrophage-mediated immune response. Front. Immunol. 2024, 15, 1399130. [Google Scholar] [CrossRef]
- Cognasse, F.; Duchez, A.C.; Audoux, E.; Ebermeyer, T.; Arthaud, C.A.; Prier, A.; Eyraud, M.A.; Mismetti, P.; Garraud, O.; Bertoletti, L.; et al. Platelets as Key Factors in Inflammation: Focus on CD40L/CD40. Front. Immunol. 2022, 13, 825892. [Google Scholar] [CrossRef]
- Zhai, L.K.; Tumban, E. Gardasil-9: A global survey of projected efficacy. Antivir. Res. 2016, 130, 101–109. [Google Scholar] [CrossRef]
- Bryan, J.T.; Buckland, B.; Hammond, J.; Jansen, K.U. Prevention of cervical cancer: Journey to develop the first human papillomavirus virus-like particle vaccine and the next generation vaccine. Curr. Opin. Chem. Biol. 2016, 32, 34–47. [Google Scholar] [CrossRef]
- Luxembourg, A.; Moeller, E. 9-Valent human papillomavirus vaccine: A review of the clinical development program. Expert Rev. Vaccines 2017, 16, 1119–1139. [Google Scholar] [CrossRef]
- Huh, W.K.; Joura, E.A.; Giuliano, A.R.; Iversen, O.E.; de Andrade, R.P.; Ault, K.A.; Bartholomew, D.; Cestero, R.M.; Fedrizzi, E.N.; Hirschberg, A.L.; et al. Final efficacy, immunogenicity, and safety analyses of a nine-valent human papillomavirus vaccine in women aged 16-26 years: A randomised, double-blind trial. Lancet 2017, 390, 2143–2159. [Google Scholar] [CrossRef]
- Kunda, N.K.; Peabody, J.; Zhai, L.; Price, D.N.; Chackerian, B.; Tumban, E.; Muttil, P. Evaluation of the thermal stability and the protective efficacy of spray-dried HPV vaccine, Gardasil(R) 9. Hum. Vaccin. Immunother. 2019, 15, 1995–2002. [Google Scholar] [CrossRef]
- Mohsen, M.O.; Bachmann, M.F. Virus-like particle vaccinology, from bench to bedside. Cell Mol. Immunol. 2022, 19, 993–1011. [Google Scholar] [CrossRef]
- Moyer, T.J.; Kato, Y.; Abraham, W.; Chang, J.Y.H.; Kulp, D.W.; Watson, N.; Turner, H.L.; Menis, S.; Abbott, R.K.; Bhiman, J.N.; et al. Engineered immunogen binding to alum adjuvant enhances humoral immunity. Nat. Med. 2020, 26, 430–440. [Google Scholar] [CrossRef]
- Cerofolini, L.; Giuntini, S.; Ravera, E.; Luchinat, C.; Berti, F.; Fragai, M. Structural characterization of a protein adsorbed on aluminum hydroxide adjuvant in vaccine formulation. Npj Vaccines 2019, 4, 20. [Google Scholar] [CrossRef]
- Li, S.X.; Hu, Y.Z.; Li, A.; Lin, J.H.; Hsieh, K.W.; Schneiderman, Z.; Zhang, P.F.; Zhu, Y.N.; Qiu, C.H.; Kokkoli, E.; et al. Payload distribution and capacity of mRNA lipid nanoparticles. Nat. Commun. 2022, 13, 5561. [Google Scholar] [CrossRef] [PubMed]
- Schober, G.B.; Story, S.; Arya, D.P. A careful look at lipid nanoparticle characterization: Analysis of benchmark formulations for encapsulation of RNA cargo size gradient. Sci. Rep. 2024, 14, 2403. [Google Scholar] [CrossRef] [PubMed]
- Zhao, Z.; Peng, Y.; Shi, X.A.; Zhao, K. Chitosan derivative composite nanoparticles as adjuvants enhance the cellular immune response via activation of the cGAS-STING pathway. Int. J. Pharm. 2023, 636, 122847. [Google Scholar] [PubMed]
- Beyer, W.E.P.; Palache, A.M.; Reperant, L.A.; Boulfich, M.; Osterhaus, A.D.M.E. Association between vaccine adjuvant effect and pre-seasonal immunity. Systematic review and meta-analysis of randomised immunogenicity trials comparing squalene-adjuvanted and aqueous inactivated influenza vaccines. Vaccine 2020, 38, 1614–1622. [Google Scholar] [CrossRef]
- Roman, F.; Burny, W.; Ceregido, M.A.; Laupèze, B.; Temmerman, S.T.; Warter, L.; Coccia, M. Adjuvant system AS01: From mode of action to effective vaccines. Expert Rev. Vaccines 2024, 23, 715–729. [Google Scholar] [CrossRef]
- Coccia, M.; Collignon, C.; Hervé, C.; Chalon, A.; Welsby, I.; Detienne, S.; van Helden, M.J.; Dutta, S.; Genito, C.J.; Waters, N.C.; et al. Cellular and molecular synergy in AS01-adjuvanted vaccines results in an early IFNγ response promoting vaccine immunogenicity (vol 2, 2017). npj Vaccines 2018, 3, 25. [Google Scholar] [CrossRef] [PubMed]
- Garcon, N.; Morel, S.; Didierlaurent, A.; Descamps, D.; Wettendorff, M.; Van Mechelen, M. Development of an AS04-adjuvanted HPV vaccine with the adjuvant system approach. BioDrugs 2011, 25, 217–226. [Google Scholar] [CrossRef]
- Loos, C.; Coccia, M.; Didierlaurent, A.M.; Essaghir, A.; Fallon, J.K.; Lauffenburger, D.; Luedemann, C.; Michell, A.; van der Most, R.; Zhu, A.L.; et al. Systems serology-based comparison of antibody effector functions induced by adjuvanted vaccines to guide vaccine design. Npj Vaccines 2023, 8, 34. [Google Scholar] [CrossRef] [PubMed]
- Baz Morelli, A.; Becher, D.; Koernig, S.; Silva, A.; Drane, D.; Maraskovsky, E. ISCOMATRIX: A novel adjuvant for use in prophylactic and therapeutic vaccines against infectious diseases. J. Med. Microbiol. 2012, 61, 935–943. [Google Scholar] [CrossRef]
- Shameer, K.; Denny, J.C.; Ding, K.Y.; Jouni, H.; Crosslin, D.R.; de Andrade, M.; Chute, C.G.; Peissig, P.; Pacheco, J.A.; Li, R.L.; et al. A genome- and phenome-wide association study to identify genetic variants influencing platelet count and volume and their pleiotropic effects. Hum. Genet. 2014, 133, 95–109. [Google Scholar] [CrossRef]
- Yin, J.K.; Liang, Y.M.; He, X.L.; Lu, J.G.; Zhang, L.; Bao, G.Q.; Ma, Q.J. Fusion protein containing SH3 domain of c-Abl induces hepatocarcinoma cells to apoptosis. Hepatol. Res. 2007, 37, 454–463. [Google Scholar] [CrossRef] [PubMed]
- Zhang, T.; Yang, M.N.; Li, S.J.; Yan, R.; Dai, K.S. Activation of AMPK in platelets promotes the production of offspring. Platelets 2024, 35, 2334701. [Google Scholar] [CrossRef]
- Raslan, Z.; Aburima, A.; Naseem, K.M. The Spatiotemporal Regulation of cAMP Signaling in Blood Platelets-Old Friends and New Players. Front. Pharmacol. 2015, 6, 266. [Google Scholar] [CrossRef]
- Yang, X.J.; Ren, H.R.; Yao, L.; Chen, X.Y.; He, A.N. Role of EHD2 in migration and invasion of human breast cancer cells. Tumor Biol. 2015, 36, 3717–3726. [Google Scholar] [CrossRef] [PubMed]
- Parguina, A.F.; Grigorian-Shamajian, L.; Agra, R.M.; Teijeira-Fernandez, E.; Rosa, I.; Alonso, J.; Vinuela-Roldan, J.E.; Seoane, A.; Gonzalez-Juanatey, J.R.; Garcia, A. Proteins involved in platelet signaling are differentially regulated in acute coronary syndrome: A proteomic study. PLoS ONE 2010, 5, e13404. [Google Scholar]
- Sun, L.; Gorospe, J.R.; Hoffman, E.P.; Rao, A.K. Decreased platelet expression of myosin regulatory light chain polypeptide (MYL9) and other genes with platelet dysfunction and CBFA2/RUNX1 mutation: Insights from platelet expression profiling. J. Thromb. Haemost. 2007, 5, 146–154. [Google Scholar] [CrossRef] [PubMed]
- Forstner, D.; Guettler, J.; Brugger, B.A.; Lyssy, F.; Neuper, L.; Daxboeck, C.; Cvirn, G.; Fuchs, J.; Kraeker, K.; Frolova, A.; et al. CD39 abrogates platelet-derived factors induced IL-1beta expression in the human placenta. Front. Cell Dev. Biol. 2023, 11, 1183793. [Google Scholar] [CrossRef]
- O’Doherty, N.; Marketing, F. Software Powered by Artificial Intelligence Accelerates Drug Discovery. Available online: https://www.nature.com/articles/d43747-022-00125-2 (accessed on 30 January 2026).
- Tan, S.; Zhang, J.; Sun, Y.; Gistera, A.; Sheng, Z.; Malmstrom, R.E.; Hou, M.; Peng, J.; Ma, C.; Liao, W.; et al. Platelets enhance CD4+ central memory T cell responses via platelet factor 4-dependent mitochondrial biogenesis and cell proliferation. Platelets 2022, 33, 360–370. [Google Scholar] [CrossRef]






| Group | Immunostimulatory Molecules | Formulation Type | Abbreviation | References |
|---|---|---|---|---|
| 1 | Alum | Alum-absorbed suspension | Alum | [26,27] |
| 2 | Alum + Cationic Lipid | Lipid nanoparticle | Alum + LNP | [28,29] |
| 3 | Alum + Chitosan | Polymer nanoparticle | Alum + Chitosan | [30] |
| 4 | Alum + Cationic Lipid | Oil-in-water emulsion | Alum + OW | [3,29] |
| 5 | Alum + Squalene | Oil-in-water emulsion | Alum + Squalene | [31] |
| 6 | Alum + MPL + QS21 | Liposome | Alum + MPL + QS21 | [32,33] |
| 7 | Alum + MPL | Alum-absorbed suspension | Alum + MPL | [34,35] |
| 8 | Alum + Immune-stimulating complex (ISCOM) | Cage-like nanoparticle | Alum + ISCOM | [36] |
Disclaimer/Publisher’s Note: The statements, opinions and data contained in all publications are solely those of the individual author(s) and contributor(s) and not of MDPI and/or the editor(s). MDPI and/or the editor(s) disclaim responsibility for any injury to people or property resulting from any ideas, methods, instructions or products referred to in the content. |
© 2026 by the authors. Licensee MDPI, Basel, Switzerland. This article is an open access article distributed under the terms and conditions of the Creative Commons Attribution (CC BY) license.
Share and Cite
Ji, Y.; Bekkari, K.; Shardar, M.; Walford, G.A.; Kim, S.; Liu, Y.; Read-Button, W.; Tracy, K.; Kriss, J.; Barr, C.; et al. Exploring the Impact of Adjuvants on Vaccine Immunity Through Hematopoietic Cells. Vaccines 2026, 14, 155. https://doi.org/10.3390/vaccines14020155
Ji Y, Bekkari K, Shardar M, Walford GA, Kim S, Liu Y, Read-Button W, Tracy K, Kriss J, Barr C, et al. Exploring the Impact of Adjuvants on Vaccine Immunity Through Hematopoietic Cells. Vaccines. 2026; 14(2):155. https://doi.org/10.3390/vaccines14020155
Chicago/Turabian StyleJi, Yuhyun, Kavitha Bekkari, Mohammed Shardar, Geoffrey A. Walford, SamMoon Kim, Yaping Liu, Willis Read-Button, Kristina Tracy, Jennifer Kriss, Colleen Barr, and et al. 2026. "Exploring the Impact of Adjuvants on Vaccine Immunity Through Hematopoietic Cells" Vaccines 14, no. 2: 155. https://doi.org/10.3390/vaccines14020155
APA StyleJi, Y., Bekkari, K., Shardar, M., Walford, G. A., Kim, S., Liu, Y., Read-Button, W., Tracy, K., Kriss, J., Barr, C., Wolfle, M., Kummar, S., LaPorta, C., Graham, R., Chen, L., Smith, W. J., Bakshi, K., Murgolo, N., & Sullivan, N. L. (2026). Exploring the Impact of Adjuvants on Vaccine Immunity Through Hematopoietic Cells. Vaccines, 14(2), 155. https://doi.org/10.3390/vaccines14020155

