Health Worker Influenza Vaccination Programs: A Key to Pandemic Preparedness and Effective COVID-19 Vaccine Deployment in Low- and Middle-Income Countries
Abstract
1. Introduction
2. Methods
2.1. Data Sources and Collection
2.2. Data Analysis—Public Data
2.3. Data Analysis—cPIE Data
2.4. Partners and Ethical Review
3. Results
3.1. Study Population (Public Data)
3.2. Timely Deployment of COVID-19 Vaccines in Country (Public Data—60 Countries)
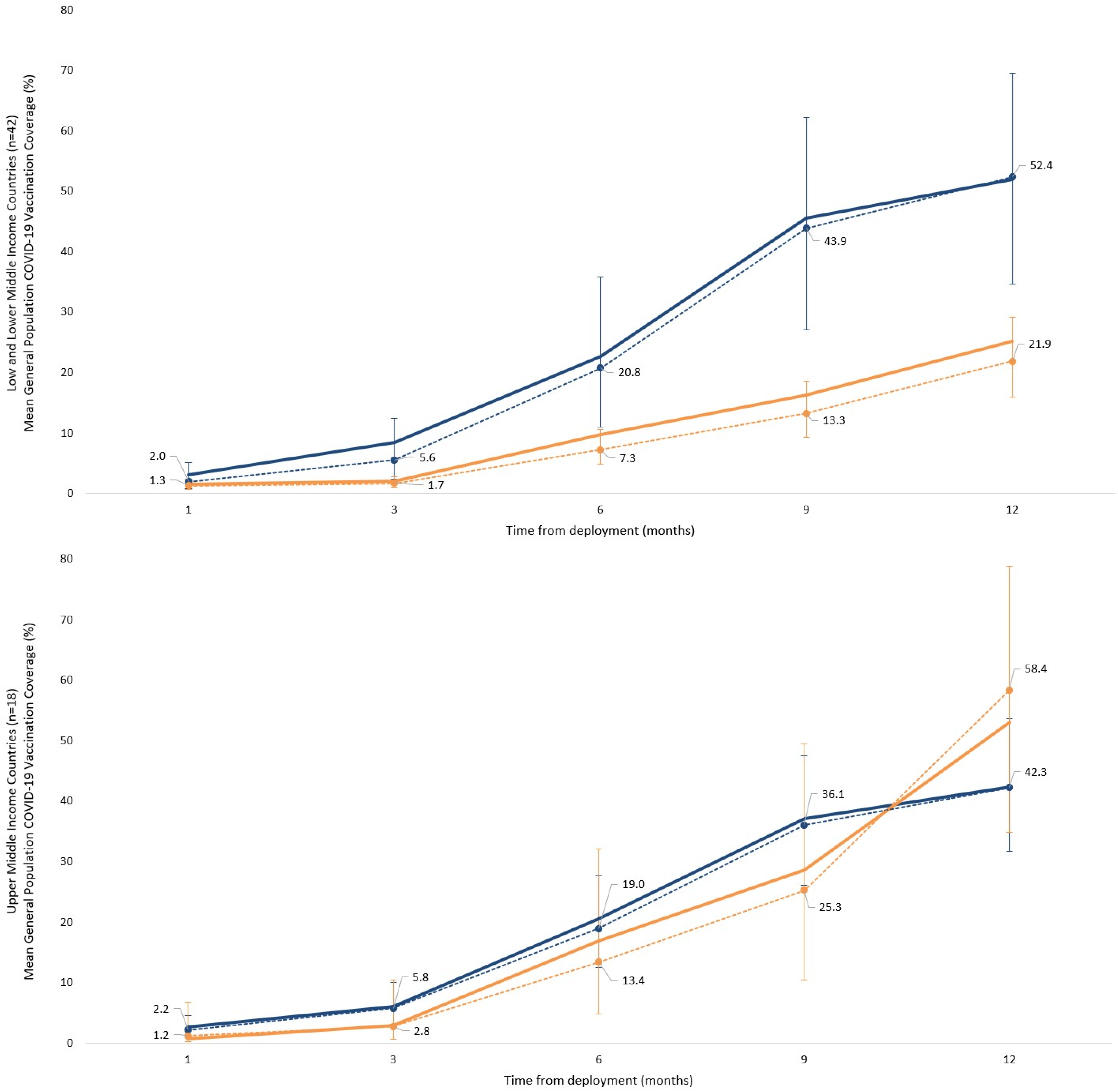
3.3. COVID-19 General Population Vaccination Coverage (Public Data—60 Countries)
3.4. cPIE Findings
4. Discussion
5. Limitations
6. Conclusions
Supplementary Materials
Author Contributions
Funding
Data Availability Statement
Acknowledgments
Conflicts of Interest
References
- WHO. Vaccines against influenza, WHO position paper. Wkly. Epidemiol. Rec. 2022, 97, 185–208. [Google Scholar]
- Lietz, J.; Westermann, C.; Nienhaus, A.; Schablon, A. The Occupational Risk of Influenza A (H1N1) Infection among Healthcare Personnel during the 2009 Pandemic: A Systematic Review and Meta-Analysis of Observational Studies. PLoS ONE 2016, 11, e0162061. [Google Scholar] [CrossRef] [PubMed]
- Morales, K.F.; Menning, L.; Lambach, P. The faces of influenza vaccine recommendation: A Literature review of the determinants and barriers to health providers’ recommendation of influenza vaccine in pregnancy. Vaccine 2020, 38, 4805–4815. [Google Scholar] [CrossRef]
- Zhang, W.; Hirve, S.; Kieny, M.P. Seasonal vaccines—Critical path to pandemic influenza response. Vaccine 2017, 35, 851–852. [Google Scholar] [CrossRef]
- Doornekamp, L.; van Leeuwen, L.; van Gorp, E.; Voeten, H.; Goeijenbier, M. Determinants of Vaccination Uptake in Risk Populations: A Comprehensive Literature Review. Vaccines 2020, 8, 480. [Google Scholar] [CrossRef]
- Lin, C.; Mullen, J.; Smith, D.; Kotarba, M.; Kaplan, S.J.; Tu, P. Healthcare Providers’ Vaccine Perceptions, Hesitancy, and Recommendation to Patients: A Systematic Review. Vaccines 2021, 9, 713. [Google Scholar] [CrossRef]
- McCarron, M.; Marcenac, P.; Yau, T.S.; Lafond, K.E.; Ebama, M.S.; Duca, L.M.; Sahakyan, G.; Bino, S.; Coulibaly, D.; Emukule, G.; et al. Healthcare personnel acceptance and recommendations for influenza vaccine in twelve low- and middle-income countries: A pooled analysis from 2018 to 2020. Vaccine 2024, 42, 125670. [Google Scholar] [CrossRef]
- McCarron, M.; Yau, T.S.; Griffin, C.; Marcenac, P.; Ebama, M.S.; Lafond, K.E.; Igboh, L.S.; Duca, L.M.; Bino, S.; Bettaieb, J.; et al. Do pregnant persons want influenza vaccines? Knowledge, attitudes, perceptions, and practices toward influenza vaccines in 8 low- and middle-income countries. J. Infect. Dis. 2024, 231, e213–e224. [Google Scholar] [CrossRef]
- Paterson, P.; Meurice, F.; Stanberry, L.R.; Glismann, S.; Rosenthal, S.L.; Larson, H.J. Vaccine hesitancy and healthcare providers. Vaccine 2016, 34, 6700–6706. [Google Scholar] [CrossRef]
- Li, L.; Wood, C.E.; Kostkova, P. Vaccine hesitancy and behavior change theory-based social media interventions: A systematic review. Transl. Behav. Med. 2021, 12, 243–272. [Google Scholar] [CrossRef] [PubMed]
- Bandyopadhyay, S.; Baticulon, R.E.; Kadhum, M.; Alser, M.; Ojuka, D.K.; Badereddin, Y.; Kamath, A.; Parepalli, S.A.; Brown, G.; Iharchane, S.; et al. Infection and mortality of healthcare workers worldwide from COVID-19: A systematic review. BMJ Glob. Health 2020, 5, e003097. [Google Scholar] [CrossRef]
- WHO. WHO SAGE Values Framework for the Allocation and Prioritization of COVID-19 Vaccination; World Health Organization: Geneva, Switzerland, 2020. [Google Scholar]
- World Health Organization. WHO SAGE Roadmap for Prioritizing Uses of COVID-19 Vaccines in the Context of Limited Supply: An Approach to Inform Planning and Subsequent Recommendations Based Upon Epidemiologic Setting and Vaccine Supply Scenarios, 20 October 2020; World Health Organization: Geneva, Switzerland, 2020. [Google Scholar]
- Mihigo, R.; Torrealba, C.V.; Coninx, K.; Nshimirimana, D.; Kieny, M.P.; Carrasco, P.; Hedman, L.; Widdowson, M.-A. 2009 Pandemic influenza A virus subtype H1N1 vaccination in Africa--successes and challenges. J. Infect. Dis. 2012, 206, S22–S28. [Google Scholar] [CrossRef] [PubMed]
- Porter, R.M.; Goldin, S.; Lafond, K.E.; Hedman, L.; Ungkuldee, M.; Kurzum, J.; Azziz-Baumgartner, E.; Nannei, C.; Bresee, J.S.; Moen, A. Does having a seasonal influenza program facilitate pandemic preparedness? An analysis of vaccine deployment during the 2009 pandemic. Vaccine 2020, 38, 1152–1159. [Google Scholar] [CrossRef]
- Ropero-Alvarez, A.M.; Whittembury, A.; Kurtis, H.J.; dos Santos, T.; Danovaro-Holliday, M.C.; Ruiz-Matus, C. Pandemic influenza vaccination: Lessons learned from Latin America and the Caribbean. Vaccine 2012, 30, 916–921. [Google Scholar] [CrossRef]
- Goldin, S.; Brooks, D.; Jorgensen, P.; Wijesinghe, P.; Cho, H.; Attia, R.; Doshi, R.; Nogareda, F.; Herring, B.; Dumolard, L.; et al. Seasonal influenza vaccination: A global review of national policies in 194 WHO member states in 2022. Vaccine 2024, 42, 126274. [Google Scholar] [CrossRef] [PubMed]
- Gavi TVA. About COVAX; Gavi: Geneva, Switzerland, 2020; Available online: https://www.gavi.org/covax/about (accessed on 2 January 2023).
- Palache, A.; Rockman, S.; Taylor, B.; Akcay, M.; Billington, J.K.; Barbosa, P. Vaccine complacency and dose distribution inequities limit the benefits of seasonal influenza vaccination, despite a positive trend in use. Vaccine 2021, 39, 6081–6087. [Google Scholar] [CrossRef] [PubMed]
- WHO. WHO Immunization Data Portal; WHO: Geneva, Switzerland, 2023; Available online: https://immunizationdata.who.int/ (accessed on 1 February 2024).
- WHO. WHO COVID Vaccine Data Dashboard; WHO: Geneva, Switzerland, 2023; Available online: https://data.who.int/dashboards/covid19/vaccines (accessed on 2 January 2023).
- UNICEF. COVID-19 Market Dashboard; UNICEF: Geneva, Switzerland, 2023; Available online: https://www.unicef.org/supply/covid-19-market-dashboard (accessed on 1 June 2023).
- World Bank Country and Lending Groups [Internet]; World Bank: Washington, DC, USA, 2021; Available online: https://datahelpdesk.worldbank.org/knowledgebase/articles/906519-world-bank-country-and-lending-groups (accessed on 20 July 2021).
- Global Health Security Index. Available online: https://ghsindex.org/ (accessed on 1 April 2025).
- WHO. COVID-19 Vaccine Post-Introduction Evaluation (cPIE) Guide; World Health Organization: Geneva, Switzerland, 2022. [Google Scholar]
- PIVI. Partnership for International Vaccine Initiative (PIVI): Task Force for Global Health. 2024. Available online: www.pivipartners.org (accessed on 1 February 2024).
- Gavi. Eligibility for Gavi Support 2023 Updated 3/27/2023. Available online: https://www.gavi.org/types-support/sustainability/eligibility (accessed on 2 January 2024).
- Goldin, S.; Moen, A.; Moss, W.J.; Nuzzo, J. Assessing the relationship between existing childhood, adolescent and adult immunization programmes and national COVID-19 vaccination capacities in 2021. Vaccine 2024, 42, 125528. [Google Scholar] [CrossRef]
- R Core Team. R: A Language and Environment for Statistical Computing; R Foundation for Statistical Computing: Vienna, Austria, 2023; Available online: https://www.R-project.org/ (accessed on 21 November 2025).
- Rockman, S.; Taylor, B.; McCauley, J.W.; Barr, I.G.; Longstaff, R.; Bahra, R. Global Pandemic Preparedness: Optimizing Our Capabilities and the Influenza Experience. Vaccines 2022, 10, 589. [Google Scholar] [CrossRef]
- World Health Organization. WHO Influenza Health Worker Vaccination Programmes: Platforms for Pandemic Preparedness; World Health Organization: Geneva, Switzerland, 21 November 2023. [Google Scholar]
- Kouadio, K.; Okeibunor, J.; Nsubuga, P.; Mihigo, R.; Mkanda, P. Polio infrastructure strengthened disease outbreak preparedness and response in the WHO African Region. Vaccine 2016, 34, 5175–5180. [Google Scholar] [CrossRef]
- Pilkington, V.; Keestra, S.M.; Hill, A. Global COVID-19 Vaccine Inequity: Failures in the First Year of Distribution and Potential Solutions for the Future. Front Public Health 2022, 10, 821117. [Google Scholar] [CrossRef]
- Meysamie, A.; Ghasemi, E.; Moshksar, S.; Askarian, M. Intention to receive COVID-19 vaccine among healthcare workers: A comparison between two surveys. BMC Health Serv. Res. 2022, 22, 982. [Google Scholar] [CrossRef]
- Paris, C.; Bénézit, F.; Geslin, M.; Polard, E.; Baldeyrou, M.; Turmel, V.; Tadié, É.; Garlantezec, R.; Tattevin, P. COVID-19 vaccine hesitancy among healthcare workers. Infect. Dis. Now 2021, 51, 484–487. [Google Scholar] [CrossRef] [PubMed]
- Nair, P.; Wales, D.P. Seasonal and 2009 Pandemic H1N1 Vaccine Acceptance as a Predictor forCOVID-19 Vaccine Acceptance. Cureus 2022, 14, e21746. [Google Scholar]
- Jorgensen, P.; Schmid, A.; Sulo, J.; Preza, I.; Hasibra, I.; Kissling, E.; Fico, A.; Sridhar, S.; Rubin-Smith, J.E.; Kota, M.; et al. Factors associated with receipt of COVID-19 vaccination and SARS-CoV-2 seropositivity among healthcare workers in Albania (February 2021–June 2022): Secondary analysis of a prospective cohort study. Lancet Reg. Health Eur. 2023, 27, 100584. [Google Scholar] [CrossRef] [PubMed]
- Nindrea, R.D.; Usman, E.; Katar, Y.; Sari, N.P. Acceptance of COVID-19 vaccination and correlated variables among global populations: A systematic review and meta-analysis. Clin. Epidemiol. Glob. Health 2021, 12, 100899. [Google Scholar] [CrossRef] [PubMed]


| Public Data Countries (n = 60) | |||
|---|---|---|---|
| Mature Health Worker Influenza Vaccination Program (n = 24) | No Mature Health Worker Influenza Vaccination Program (n = 36) | Total (n = 60) | |
| Geographic Region, n, (%) | |||
| African | 0 (0) | 24 (68) | 24 (40) |
| American | 9 (38) | 0 (0) | 9 (15) |
| Eastern Mediterranean | 2 (8) | 2 (6) | 4 (7) |
| European | 9 (38) | 3 (8) | 12 (20) |
| Southeast Asia | 1 (4) | 4 (11) | 5 (8) |
| Western Pacific | 3 (13) | 3 (8) | 6 (10) |
| World Bank Income Group | |||
| Low Income | 0 (0) | 14 (39) | 14 (23) |
| Lower-Middle Income | 9 (38) | 19 (53) | 28 (47) |
| Upper-Middle Income | 15 (63) | 3 (8) | 18 (30) |
| Gavi # Eligible (per 2023) | |||
| Yes | 1 (4) | 28 (78) | 29 (48) |
| No | 23 (96) | 8 (22) | 31 (52) |
| PIVI * Partner | |||
| Yes | 9 (38) | 7 (19) | 16 (27) |
| No | 15 (63) | 29 (81) | 44 (73) |
| COVID-19 Vaccine Post-Introduction Evaluations (cPIEs) Countries (n = 16) | |||
| Mature Health Worker Influenza Vaccination Program (n = 7) | No Mature Health Worker Influenza Vaccination Program (n = 9) | Total (n = 16) | |
| Geographic Region, n, (%) | |||
| African | 0 (0) | 4 (44) | 4 (25) |
| Eastern Mediterranean | 1 (14) | 1 (11) | 2 (13) |
| European | 3 (43) | 1 (11) | 4 (25) |
| Southeast Asia | 1 (14) | 2 (22) | 3 (19) |
| Western Pacific | 2 (29) | 1 (11) | 3 (19) |
| World Bank Income Group | |||
| Low Income | 0 (0) | 1 (11) | 1 (6) |
| Lower-Middle Income | 4 (57) | 7 (78) | 11 (69) |
| Upper-Middle Income | 3 (43) | 1 (11) | 4 (25) |
| Gavi Eligible # (per 2023) | |||
| Yes | 0 (0) | 4 (44) | 4 (25) |
| No | 7 (100) | 5 (56) | 12 (75) |
| PIVI Partner * | |||
| Yes | 6 (86) | 4 (44) | 10 (63) |
| No | 1 (14) | 5 (56) | 6 (38) |
| Immunization Program Maturity Scores | |||||
|---|---|---|---|---|---|
| Health Worker COVID-19 Vaccination Coverage | Full Series | At Least One Dose | COVID-19 Capacity Score 1 | Influenza (Out of 4) 2 | DTP3 (Out of 5) 3 |
| Countries with Mature * Influenza Vaccination Program | p ** = 0.610 | p ** = 0.787 | p ** = 0.147 | p ** < 0.001 | p ** = 0.807 |
| Albania | 74% | 85% | 1 | 2 | 5 |
| Armenia | ND # | ND | 1 | 2 | 5 |
| Belize | 57% | 100% | 5 | 3 | 4 |
| Bolivia (Plurinational State of) | 100% | 100% | 5 | 3 | 4 |
| Costa Rica | 100% | 100% | 4 | 2 | 5 |
| El Salvador | 100% | 100% | 3 | 3 | 5 |
| Georgia | 53% | 58% | 5 | 3 | 5 |
| Guatemala | 100% | 100% | 5 | 3 | 5 |
| Honduras | 100% | 100% | 4 | 4 | 5 |
| Iraq | 53% | 87% | 1 | 3 | 4 |
| Jamaica | 65% | 75% | 5 | 3 | 5 |
| Kazakhstan | 0% | 0% | 1 | 3 | 5 |
| Lao People’s Democratic Republic | 100% | 100% | 4 | 3 | 5 |
| Mongolia | 100% | 100% | 4 | 3 | 5 |
| Montenegro | 50% | 91% | 3 | 3 | 4 |
| Nicaragua | 88% | 100% | 3 | 3 | 5 |
| Paraguay | 67% | 83% | 5 | 3 | 4 |
| Republic of Moldova | 81% | 85% | 1 | 3 | 5 |
| Serbia | 64% | 79% | 1 | 3 | 3 |
| Thailand | 100% | 100% | 1 | 3 | 5 |
| Tunisia | ND | ND | 1 | 3 | 5 |
| Ukraine | 61% | 77% | 5 | 2 | 4 |
| Uzbekistan | 83% | 100% | 1 | 4 | 5 |
| Viet Nam | 100% | 100% | 2 | 2 | 3 |
| Countries without Mature Influenza Vaccination Program | |||||
| Bhutan | 93% | 100% | 4 | 2 | 5 |
| Burkina Faso | 78% | 82% | 4 | 0 | 5 |
| Cambodia | 97% | 100% | 5 | 0 | 5 |
| Côte d’Ivoire | 39% | 67% | 5 | 2 | 5 |
| Democratic Republic of the Congo | 100% | 100% | 1 | 0 | 4 |
| Eswatini | 100% | 100% | 3 | 0 | 5 |
| Ethiopia | 56% | 77% | 2 | 0 | 5 |
| Ghana | 66% | 78% | 4 | 1 | 5 |
| Indonesia | 100% | 100% | 4 | 2 | 4 |
| Kenya | 53% | 54% | 2 | 2 | 5 |
| Kosovo | ND | ND | 1 | 2 | 2 |
| Kyrgyzstan | 59% | 67% | 4 | 2 | 5 |
| Lebanon | 0 | 0 | 5 | ||
| Lesotho | 24% | 25% | 1 | 0 | 5 |
| Liberia | 42% | 42% | 1 | 0 | 5 |
| Madagascar | 55% | 61% | 2 | 0 | 5 |
| Malawi | 100% | 100% | 0 | 0 | 5 |
| Mali | 100% | 100% | 1 | 0 | 4 |
| Mozambique | 49% | 63% | 4 | 0 | 5 |
| Namibia | 79% | 97% | 0 | 2 | 5 |
| Nepal | 100% | 100% | 4 | 0 | 5 |
| Nigeria | 54% | 78% | 2 | 0 | 4 |
| Pakistan | 100% | 100% | 5 | 0 | 4 |
| Papua New Guinea | 100% | 100% | 3 | 0 | 3 |
| Philippines | 100% | 100% | 3 | 3 | 4 |
| Rwanda | 100% | 100% | 0 | 0 | 5 |
| Senegal | 100% | 100% | 3 | 1 | 3 |
| Sierra Leone | 100% | 100% | 1 | 0 | 5 |
| South Sudan | 100% | 100% | 1 | 0 | 2 |
| Sri Lanka | 100% | 100% | 3 | 0 | 3 |
| Tajikistan | 91% | 94% | 4 | 1 | 3 |
| Togo | 70% | 74% | 1 | 1 | 5 |
| Uganda | 100% | 100% | 1 | 0 | 5 |
| United Republic of Tanzania | ND | ND | 1 | 0 | 5 |
| Zambia | 100% | 100% | 3 | 0 | 5 |
| Zimbabwe | ND | ND | 1 | 0 | 5 |
Disclaimer/Publisher’s Note: The statements, opinions and data contained in all publications are solely those of the individual author(s) and contributor(s) and not of MDPI and/or the editor(s). MDPI and/or the editor(s) disclaim responsibility for any injury to people or property resulting from any ideas, methods, instructions or products referred to in the content. |
© 2026 by the authors. Licensee MDPI, Basel, Switzerland. This article is an open access article distributed under the terms and conditions of the Creative Commons Attribution (CC BY) license.
Share and Cite
McCarron, M.; Griffin, C.; Yau, T.S.; Carlton, J.G.; Patel, J.C.; Hugo, C.B.; Mantel, C.; Saber, L.B.; Goldin, S.; Moen, A.; et al. Health Worker Influenza Vaccination Programs: A Key to Pandemic Preparedness and Effective COVID-19 Vaccine Deployment in Low- and Middle-Income Countries. Vaccines 2026, 14, 130. https://doi.org/10.3390/vaccines14020130
McCarron M, Griffin C, Yau TS, Carlton JG, Patel JC, Hugo CB, Mantel C, Saber LB, Goldin S, Moen A, et al. Health Worker Influenza Vaccination Programs: A Key to Pandemic Preparedness and Effective COVID-19 Vaccine Deployment in Low- and Middle-Income Countries. Vaccines. 2026; 14(2):130. https://doi.org/10.3390/vaccines14020130
Chicago/Turabian StyleMcCarron, Margaret, Chelsey Griffin, Tat S Yau, Julie Garon Carlton, Jaymin C Patel, Claire B Hugo, Carsten Mantel, Lindsay B. Saber, Shoshanna Goldin, Ann Moen, and et al. 2026. "Health Worker Influenza Vaccination Programs: A Key to Pandemic Preparedness and Effective COVID-19 Vaccine Deployment in Low- and Middle-Income Countries" Vaccines 14, no. 2: 130. https://doi.org/10.3390/vaccines14020130
APA StyleMcCarron, M., Griffin, C., Yau, T. S., Carlton, J. G., Patel, J. C., Hugo, C. B., Mantel, C., Saber, L. B., Goldin, S., Moen, A., Lafond, K. E., Walldorf, J. A., Hyde, T., & Bresee, J. S. (2026). Health Worker Influenza Vaccination Programs: A Key to Pandemic Preparedness and Effective COVID-19 Vaccine Deployment in Low- and Middle-Income Countries. Vaccines, 14(2), 130. https://doi.org/10.3390/vaccines14020130

