Compatibility and Stability of a Shigella Polysaccharide—Protein Conjugate Antigen Formulated with Aluminum Salt and CpG 1018® Adjuvants
Abstract
1. Introduction
2. Materials and Methods
2.1. Materials
2.2. Methods
2.2.1. Preparation of Formulated Samples of O-PS-IpaB Conjugate Antigens with Adjuvants
2.2.2. Competitive ELISAs for Shigella O-PS-IpaB Conjugates
2.2.3. Protein Concentration of Shigella O-PS-IpaB Conjugate Antigens Using Micro-Bicinchoninic Acid Assay (m-BCA)
2.2.4. CpG 1018 Concentration Using Ultraviolet-Visible (UV-Vis) Spectroscopy
2.2.5. Binding Studies Between Aluminum Salt Adjuvants and Either O-PS-IpaB Conjugate Antigens or CpG Adjuvant
2.2.6. Langmuir Isotherm Binding Studies
2.2.7. Zeta Potential of Aluminum Salt Adjuvants (AH, AP)
2.2.8. Isoelectric Point (pI) Estimations Using Spin Columns
2.2.9. Storage Stability Studies
2.2.10. Thermal Stability Studies to Estimate Relative Degradation Profiles
3. Results
3.1. Properties of Shigella OPS and O-PS-IpaB Conjugates and Adjuvants
3.2. Antigenicity of Shigella O-PS-IpaB Conjugate Antigens Formulated with Adjuvants as Measured by Competitive ELISAs
3.3. Antigen–Adjuvant Interactions at Different pH Values
3.4. Conjugate Antigen and CpG Adjuvant Interaction Studies with Aluminum Salt Adjuvants at Selected pH Conditions
3.5. Langmuir Binding Isotherm Analysis of O-PS-IpaB Conjugate Antigens with Aluminum Salt Adjuvants
3.6. Evaluating CpG Binding to Aluminum Salt Adjuvants and Loss of CpG Material Under Certain Solution Conditions
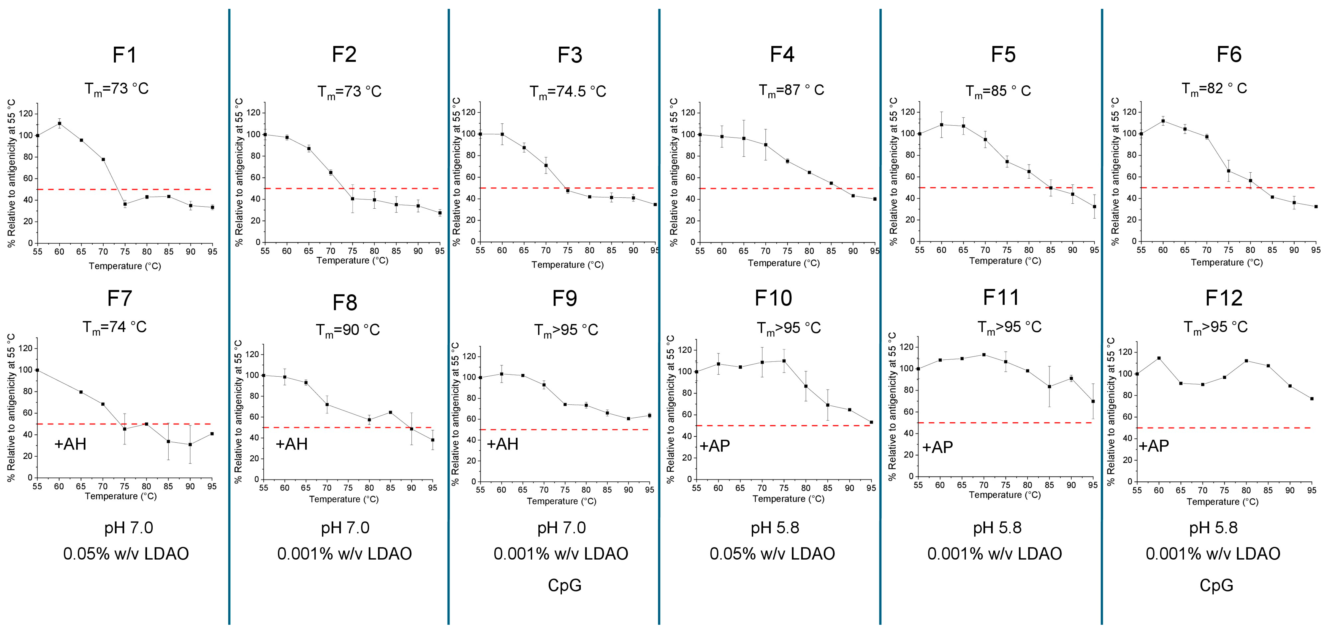
3.7. Preparation of 12 Different Adjuvanted Formulations and Effects of Increasing Temperature Exposure on Antigenicity of S. sonnei O-PS-IpaB Conjugate Antigen
3.8. Short-Term Storage Stability Study at Different Temperatures
4. Discussion
4.1. Antigen Structural Complexity, Analytical Challenges, and Suggested Future Work
4.2. S. sonnei O-PS-IpaB Conjugate Antigen and CpG Adjuvant Interaction Studies with Aluminum Salt Adjuvants and Suggested Future Work
4.2.1. Effect of pH on CpG Adjuvant and Glycoconjugate Antigen Interactions with Aluminum Hydroxide (AH) Adjuvant
4.2.2. Effect of Phosphate Buffer on CpG Adjuvant and Glycoconjugate Antigen Interactions with Aluminum Hydroxide (AH) Adjuvant
4.2.3. Effect of pH on CpG Adjuvant and Glycoconjugate Antigen Interactions with Aluminum Phosphate (AP) Adjuvant
4.2.4. Effect of Phosphate Buffer on CpG Adjuvant and Glycoconjugate Antigen Interactions with Aluminum Phosphate (AP) Adjuvant
4.3. Stability Studies with Different Adjuvanted Formulations of S. sonnei O-PS-IpaB Conjugate Antigen and Suggested Future Work
4.3.1. Antigen Stability in Different Aluminum Salt Adjuvanted Formulations
4.3.2. CpG Adjuvant Stability in Different Aluminum Salt Adjuvanted Formulations and Selection of Candidate Formulations
5. Conclusions
Supplementary Materials
Author Contributions
Funding
Data Availability Statement
Conflicts of Interest
Abbreviations
| L-Rha | L-Rhamnose (6-deoxy-L-mannose) |
| D-Glc | D-Glucose |
| D-GlcNAc | 2-Acetamido-2-deoxy-D-glucose |
| D-GalNAc | 2-Acetamido-2-deoxy-D-galactose |
| L-AltNAcA | 2-Acetamido-2-deoxy-L-alturonic acid |
| D-FucNAc4N | 2-Acetamido-4-amino-2,4-dideoxy-D-fucose |
| D-GalA | D-Galacturonic acid |
| Ac | O-acetyl |
| O-PS | O-antigen polysaccharide |
| S. f. 2a | Shigella flexneri 2a |
| S. f. 3a | Shigella flexneri 3a |
| S. f. 6 | Shigella flexneri 6 |
| S. sonnei | Shigella sonnei |
| LMIC | Low-and-middle-income countries |
| WHO | World Health Organization |
| EED | Environmental enteric dysfunction |
| WRAIR | Walter Reed Army Institute of Research |
| AH | Alhydrogel® |
| AP | Adju-phos® |
| CpG | CpG 1018® |
References and Note
- Raso, M.M.; Arato, V.; Gasperini, G.; Micoli, F. Toward a Shigella Vaccine: Opportunities and Challenges to Fight an Antimicrobial-Resistant Pathogen. Int. J. Mol. Sci. 2023, 24, 4649. [Google Scholar] [CrossRef] [PubMed]
- Geddes, L. Vaccine Profiles: Shigella VaccinesWork: Gavi. 2023. Available online: https://www.gavi.org/vaccineswork/vaccine-profiles-shigella (accessed on 27 March 2025).
- Amanda Garcia-Williams KVE, Naeemah Logan. Shigellosis: CDC. 2024. Travel–Associated Infections and Diseases. Updated 06–13–2023. Available online: https://wwwnc.cdc.gov/travel/yellowbook/2024/infections-diseases/shigellosis (accessed on 2 April 2025).
- Hausdorff, W.P.; Anderson, J.D., IV; Bagamian, K.H.; Bourgeois, A.L.; Mills, M.; Sawe, F.; Scheele, S.; Talaat, K.; Giersing, B.K. Vaccine value profile for Shigella. Vaccine 2023, 41, S76–S94. [Google Scholar] [CrossRef] [PubMed]
- Khalil, I.A.; Troeger, C.; Blacker, B.F.; Rao, P.C.; Brown, A.; Atherly, D.E.; Brewer, T.G.; Engmann, C.M.; Houpt, E.R.; Kang, G.; et al. Morbidity and mortality due to shigella and enterotoxigenic Escherichia coli diarrhoea: The Global Burden of Disease Study 1990–2016. Lancet Infect Dis. 2018, 18, 1229–1240. [Google Scholar] [CrossRef] [PubMed]
- World Health Organization. Immunization, Vaccines and Biologicals: Shigella. Updated 04–30–2022. 2022. Available online: https://www.who.int/teams/immunization-vaccines-and-biologicals/diseases/shigella (accessed on 27 March 2025).
- CDC Increase in Extensively Drug-Resistant Shigellosis in the United States. Updated 02–23–2023; 2023. Available online: https://www.cdc.gov/han/2023/han00486.html (accessed on 2 April 2025).
- Pakbin, B.; Didban, A.; Brück, W.M.; Alizadeh, M. Phylogenetic analysis and antibiotic resistance of Shigella sonnei isolates. FEMS Microbiol. Lett. 2022, 369, fnac042. [Google Scholar] [CrossRef]
- Satija, K.; Anjankar, V.P. Molecular Characterization of Multidrug-Resistant Shigella flexneri. Cureus 2024, 16, e53276. [Google Scholar] [CrossRef]
- Neupane, R.; Bhathena, M.; Das, G.; Long, E.; Beard, J.; Solomon, H.; Simon, J.L.; Nisar, Y.B.; MacLeod, W.B.; Hamer, D.H. Antibiotic resistance trends for common bacterial aetiologies of childhood diarrhoea in low- and middle-income countries: A systematic review. J. Glob. Health 2023, 13, 04060. [Google Scholar] [CrossRef]
- Puzari, M.; Sharma, M.; Chetia, P. Emergence of antibiotic resistant Shigella species: A matter of concern. J. Infect. Public Health 2018, 11, 451–454. [Google Scholar] [CrossRef]
- MacLennan, C.A.; Grow, S.; Ma, L.F.; Steele, A.D. The Shigella Vaccines Pipeline. Vaccines 2022, 10, 1376. [Google Scholar] [CrossRef]
- Lu, T.; Das, S.; Howlader, D.R.; Picking, W.D.; Picking, W.L. Shigella Vaccines: The Continuing Unmet Challenge. Int. J. Mol. Sci. 2024, 25, 4329. [Google Scholar] [CrossRef]
- Frenck, R.W., Jr.; Baqar, S.; Alexander, W.; Dickey, M.; McNeal, M.; El-Khorazaty, J.; Baughman, H.; Hoeper, A.; Barnoy, S.; Suvarnapunya, A.E.; et al. A Phase I trial to evaluate the safety and immunogenicity of WRSs2 and WRSs3; two live oral candidate vaccines against Shigella sonnei. Vaccine 2018, 36, 4880–4889. [Google Scholar] [CrossRef]
- Harutyunyan, S.; Neuhauser, I.; Mayer, A.; Aichinger, M.; Szijártó, V.; Nagy, G.; Nagy, E.; Girardi, P.; Malinoski, F.J.; Henics, T. Characterization of ShigETEC, a Novel Live Attenuated Combined Vaccine against Shigellae and ETEC. Vaccines 2020, 8, 689. [Google Scholar] [CrossRef] [PubMed]
- Biemans, R.L.; Micoli, F.; Romano, M.R. (Eds.) Glycoconjugate vaccines, production and characterization. In Recent Trends in Carbohydrate Chemistry; Elsevier: Amsterdam, The Netherlands, 2020. [Google Scholar]
- Martin, P.; Alaimo, C. The Ongoing Journey of a Shigella Bioconjugate Vaccine. Vaccines 2022, 10, 212. [Google Scholar] [CrossRef] [PubMed]
- Livio, S.; Strockbine, N.A.; Panchalingam, S.; Tennant, S.M.; Barry, E.M.; Marohn, M.E.; Antonio, M.; Hossain, A.; Mandomando, I.; Ochieng, J.B.; et al. Shigella Isolates from the Global Enteric Multicenter Study Inform Vaccine Development. Clin. Infect. Dis. 2014, 59, 933–941. [Google Scholar] [CrossRef] [PubMed]
- Desalegn, G.; Kapoor, N.; Pill-Pepe, L.; Bautista, L.; Yin, L.; Ndungo, E.; Oaks, E.V.; Fairman, J.; Pasetti, M.F. A Novel Shigella O-Polysaccharide–IpaB Conjugate Vaccine Elicits Robust Antibody Responses and Confers Protection against Multiple Shigella Serotypes. mSphere 2023, 8, e00019-23. [Google Scholar] [CrossRef]
- Parvej, M.S.; Lu, T.; Maiti, S.; Dietz, Z.K.; Howlader, D.R.; Zahan, M.N.; Cato, A.; Biswas, S.; Picking, W.D.; Picking, W.L. The fusion subunit vaccine L-DBF protects aged mice against heterologous lethal Shigella challenge after prior exposure. Front. Immunol. 2025, 16, 1586537. [Google Scholar] [CrossRef]
- Boerth, E.M.; Gong, J.; Roffler, B.; Hancock, Z.; Berger, L.; Song, B.; Malley, S.F.; MacLennan, C.A.; Zhang, F.; Malley, R.; et al. Evaluation of a Quadrivalent Shigella flexneri Serotype 2a, 3a, 6, and Shigella sonnei O-Specific Polysaccharide and IpaB MAPS Vaccine. Vaccines 2024, 12, 1091. [Google Scholar] [CrossRef]
- Lees, A.; Barr, J.F.; Gebretnsae, S. Activation of Soluble Polysaccharides with 1-Cyano-4-Dimethylaminopyridine Tetrafluoroborate (CDAP) for Use in Protein-Polysaccharide Conjugate Vaccines and Immunological Reagents. III Optimization of CDAP Activation. Vaccines 2020, 8, 777. [Google Scholar] [CrossRef]
- Kumar, P.; Holland, D.A.; Secrist, K.; Taskar, P.; Dotson, B.; Saleh-Birdjandi, S.; Adewunmi, Y.; Doering, J.; Mantis, N.J.; Volkin, D.B.; et al. Evaluating the Compatibility of New Recombinant Protein Antigens (Trivalent NRRV) with a Mock Pentavalent Combination Vaccine Containing Whole-Cell Pertussis: Analytical and Formulation Challenges. Vaccines 2024, 12, 609. [Google Scholar] [CrossRef]
- Jerajani, K.; Wan, Y.; Hickey, J.M.; Kumru, O.S.; Sharma, N.; Pullagurla, S.R.; Ogun, O.; Mapari, S.; Whitaker, N.; Brendle, S.; et al. Analytical and Preformulation Characterization Studies of Human Papillomavirus Virus-Like Particles to Enable Quadrivalent Multi-Dose Vaccine Formulation Development. J. Pharm. Sci. 2022, 111, 2983–2997. [Google Scholar] [CrossRef]
- ThermoFisher Scientific. Micro BCA Protein Assay Kit. 2015. Available online: https://www.thermofisher.com/order/catalog/product/23235 (accessed on 25 March 2025).
- Bajoria, S.; Kumru, O.S.; Doering, J.; Berman, K.; Slyke, G.V.; Prigodich, A.; Rodriguez-Aponte, S.A.; Kleanthous, H.; Love, J.C.; Mantis, N.J.; et al. Nanoalum Formulations Containing Aluminum Hydroxide and CpG 1018TM Adjuvants: The Effect on Stability and Immunogenicity of a Recombinant SARS-CoV-2 RBD Antigen. Vaccines 2023, 11, 1030. [Google Scholar] [CrossRef]
- Dynavax. Determination of 1018 Oligonucleotide Concentration by A260 (Provided by Dynavax Technologies).
- Kumar, P.; Lau, P.W.; Kale, S.; Johnson, S.; Pareek, V.; Utikar, R.; Lali, A. Kafirin adsorption on ion-exchange resins: Isotherm and kinetic studies. J Chromatogr. A 2014, 1356, 105–116. [Google Scholar] [CrossRef] [PubMed]
- Pierce Biotechnology. Pierce Strong Ion Exchange Spin Columns. Available online: https://www.thermofisher.com/order/catalog/product/90008 (accessed on 25 March 2025).
- Liu, B.; Knirel, Y.A.; Feng, L.; Perepelov, A.V.; Senchenkova, S.N.; Wang, Q.; Reeves, P.R.; Wang, L. Structure and genetics of Shigella O antigens. FEMS Microbiol. Rev. 2008, 32, 627–653. [Google Scholar] [CrossRef] [PubMed]
- Perepelov, A.V.; Shekht, M.E.; Liu, B.; Shevelev, S.D.; Ledov, V.A.; Senchenkova, S.y.N.; L’vov, V.L.; Shashkov, A.S.; Feng, L.; Aparin, P.G.; et al. Shigella flexneri O-antigens revisited: Final elucidation of the O-acetylation profiles and a survey of the O-antigen structure diversity. FEMS Immunol. Med. Microbiol. 2012, 66, 201–210. [Google Scholar] [CrossRef]
- Berti, F.; Adamo, R. Antimicrobial glycoconjugate vaccines: An overview of classic and modern approaches for protein modification. Chem. Soc. Rev. 2018, 47, 9015–9025. [Google Scholar] [CrossRef]
- Hickey, J.M.; Sharma, N.; Fairlamb, M.; Doering, J.; Adewunmi, Y.; Prieto, K.; Costa, G.; Wizel, B.; Levashina, E.A.; Mantis, N.J.; et al. PfCSP-ferritin nanoparticle malaria vaccine antigen formulated with aluminum-salt and CpG 1018® adjuvants: Preformulation characterization, antigen-adjuvant interactions, and mouse immunogenicity studies. Hum. Vaccines Immunother. 2025, 21, 2460749. [Google Scholar] [CrossRef]
- Campbell, J.D. Development of the CpG Adjuvant 1018: A Case Study. In Vaccine Adjuvants: Methods and Protocols; Fox, C.B., Ed.; Springer: New York, NY, USA, 2017; pp. 15–27. [Google Scholar]
- Sharma, P.; Kale, S.; Phugare, S.; Goel, S.K.; Gairola, S. Analytical Challenges in Novel Pentavalent Meningococcal Conjugate Vaccine (A, C, Y, W, X). Vaccines 2024, 12, 1227. [Google Scholar] [CrossRef]
- Giannelli, C.; Cappelletti, E.; Di Benedetto, R.; Pippi, F.; Arcuri, M.; Di Cioccio, V.; Martin, L.B.; Saul, A.; Micoli, F. Determination of free polysaccharide in Vi glycoconjugate vaccine against typhoid fever. J. Pharm. Biomed. Anal. 2017, 139, 143–147. [Google Scholar] [CrossRef]
- Picking, W.L.; Picking, W.D. The Many Faces of IpaB. Front. Cell Infect. Microbiol. 2016, 6, 12. [Google Scholar] [CrossRef]
- Scientific, F. Thermo ScientificTM Lauryldimethylamine-N-Oxide (LDAO), LC/MS Grade. 2025. Available online: https://www.thermofisher.com/order/catalog/product/A65503 (accessed on 2 April 2025).
- CDC. Vaccine Safety, Adjuvants and Vaccines, Updated: December 20, 2024. Available online: https://www.cdc.gov/vaccine-safety/about/adjuvants.html (accessed on 18 November 2025).
- Facciolà, A.; Visalli, G.; Laganà, A.; Di Pietro, A. An Overview of Vaccine Adjuvants: Current Evidence and Future Perspectives. Vaccines 2022, 10, 819. [Google Scholar] [CrossRef]
- Joffe, A. The Promise and Predicament of Combining Adjuvants in Vaccines. Vaccine Insights 2025, 4, 27–30. [Google Scholar] [CrossRef] [PubMed]
- Jones, L.S.; Peek, L.J.; Power, J.; Markham, A.; Yazzie, B.; Middaugh, C.R. Effects of Adsorption to Aluminum Salt Adjuvants on the Structure and Stability of Model Protein Antigens. J. Biol. Chem. 2005, 280, 13406–13414. [Google Scholar] [CrossRef] [PubMed]
- Regnier, M.; Metz, B.; Tilstra, W.; Hendriksen, C.; Jiskoot, W.; Norde, W.; Kersten, G. Structural perturbation of diphtheria toxoid upon adsorption to aluminium hydroxide adjuvant. Vaccine 2012, 30, 6783–6788. [Google Scholar] [CrossRef] [PubMed]
- Orsi, A.; Azzari, C.; Bozzola, E.; Chiamenti, G.; Chirico, G.; Esposito, S.; Francia, F.; Lopalco, P.; Prato, R.; Russo, R.; et al. Hexavalent vaccines: Characteristics of available products and practical considerations from a panel of Italian experts. J. Prev. Med. Hyg. 2018, 59, E107–E119. [Google Scholar]
- Kumar, S.; Singh, M.P.; Bharti, V.K.; Pandey, R.P. Quality control of vaccines-A journey from classical approach to 3Rs. Microbiol. Curr. Res. 2018, 2, 45–61. [Google Scholar]
- Weinstein, J.R.; Swarts, S.; Bishop, C.; Hanisch, U.K.; Möller, T. Lipopolysaccharide is a frequent and significant contaminant in microglia-activating factors. Glia 2008, 56, 16–26. [Google Scholar] [CrossRef]
- HogenEsch, H.; O’Hagan, D.T.; Fox, C.B. Optimizing the utilization of aluminum adjuvants in vaccines: You might just get what you want. NPJ Vaccines 2018, 3, 51. [Google Scholar] [CrossRef]
- Zhao, T.; Cai, Y.; Jiang, Y.; He, X.; Wei, Y.; Yu, Y.; Tian, X. Vaccine adjuvants: Mechanisms and platforms. Signal Transduct. Target. Ther. 2023, 8, 283. [Google Scholar] [CrossRef]
- Fox, C.B.; Kramer, R.M.; Barnes, V.L.; Dowling, Q.M.; Vedvick, T.S. Working together: Interactions between vaccine antigens and adjuvants. Ther. Adv. Vaccines 2013, 1, 7–20. [Google Scholar] [CrossRef]
- Bajoria, S.; Kaur, K.; Kumru, O.S.; Van Slyke, G.; Doering, J.; Novak, H.; Rodriguez Aponte, S.A.; Dalvie, N.C.; Naranjo, C.A.; Johnston, R.S.; et al. Antigen-adjuvant interactions, stability, and immunogenicity profiles of a SARS-CoV-2 receptor-binding domain (RBD) antigen formulated with aluminum salt and CpG adjuvants. Hum. Vaccines Immunother. 2022, 18, 2079346. [Google Scholar] [CrossRef]
- Sawant, N.; Joshi, S.B.; Weis, D.D.; Volkin, D.B. Interaction of Aluminum-adjuvanted Recombinant P[4] Protein Antigen with Preservatives: Storage Stability and Backbone Flexibility Studies. J. Pharm. Sci. 2022, 111, 970–981. [Google Scholar] [CrossRef]
- Cerofolini, L.; Giuntini, S.; Ravera, E.; Luchinat, C.; Berti, F.; Fragai, M. Structural characterization of a protein adsorbed on aluminum hydroxide adjuvant in vaccine formulation. npj Vaccines 2019, 4, 20. [Google Scholar] [CrossRef]
- Sturgess, A.W.; Rush, K.; Charbonneau, R.J.; Lee, J.I.; West, D.J.; Sitrin, R.D.; Hennessy, J.P., Jr. Haemophilus influenzae type b conjugate vaccine stability: Catalytic depolymerization of PRP in the presence of aluminum hydroxide. Vaccine 1999, 17, 1169–1178. [Google Scholar] [CrossRef]
- Smith, W.J.; Thompson, R.; Egan, P.M.; Zhang, Y.; Indrawati, L.; Skinner, J.M.; Blue, J.T.; Winters, M.A. Impact of aluminum adjuvants on the stability of pneumococcal polysaccharide-protein conjugate vaccines. Vaccine 2023, 41, 5113–5125. [Google Scholar] [CrossRef]
- Murakami, K.; Fujii, Y.; Someya, Y. Effects of the thermal denaturation of Sabin-derived inactivated polio vaccines on the D-antigenicity and the immunogenicity in rats. Vaccine 2020, 38, 3295–3299. [Google Scholar] [CrossRef]











| Panel A | Net Charge | CpG Bound to AH? Comment | Antigen Bound to AH? Comment | |||
|---|---|---|---|---|---|---|
| AH | Antigen | |||||
| 2 mM PO4, pH 7 | + | − | yes | Consistent with electrostatic interactions | ||
| 2 mM PO4, pH 7, CpG | − − | − | yes | Electrostatic interaction with negatively charged CpG or ligand exchange | yes | Antigen binds with CpG bound, consistent with other molecular interactions |
| 2 mM PO4, pH 5.8 | + | + | yes | Consistent with other molecular interactions | ||
| 2 mM PO4, pH 5.8, CpG | − − | + | yes | Electrostatic interaction with negatively charged CpG or ligand exchange | yes | Antigen binds AH with CpG bound—consistent with electrostatic interactions |
| Panel B | Net Charge | CpG Bound to AH? Comment | Antigen Bound to AH? Comment | |||
| AH | Antigen | |||||
| 200 mM PO4, pH 7 | − | − | no | Not bound- consistent with electrostatic repulsion | ||
| 200 mM PO4, pH 7, CpG | − − − | − | Partial 60%- CpG mass balance loss | no | Mostly not bound (80% unbound)- consistent with electrostatic repulsion with some limited other molecular interaction mechanisms | |
| 200 mM PO4, pH 5.8 | − | + | yes | Consistent with electrostatic interactions | ||
| 200 mM PO4, pH 5.8, CpG | − − − | + | Partial 60%- CpG mass balance loss | yes | Consistent with electrostatic interactions | |
| Panel A | Net Charge | CpG Bound to AP? Comment | Antigen Bound to AP? Comment | ||
|---|---|---|---|---|---|
| AP | Antigen | ||||
| 2 mM PO4, pH 7 | − | − | yes | Consistent with other molecular interactions | |
| 2 mM PO4, pH 7, CpG | − − | − | Partial 30%- CpG mass balance loss | yes (80%) | Mostly bound- consistent with other molecular interactions, with unbound (20%) potentially from displacement by CpG-LDAO complexes? |
| 2 mM PO4, pH 5.8 | − | + | yes | Consistent with electrostatic interactions | |
| 2 mM PO4, pH 5.8, CpG | − − | + | Partial 10%- CpG mass balance loss | yes | Consistent with electrostatic interactions |
| Panel B | Net Charge | CpG Bound to AP? Comment | Antigen Bound to AP? Comment | ||
| AP | Antigen | ||||
| 200 mM PO4, pH 7 | − | − | no | Not bound- consistent with electrostatic repulsion | |
| 200 mM PO4, pH 7, CpG | − − − | − | Partial 40%- CpG mass balance loss | no | Not bound- consistent with electrostatic repulsion |
| 200 mM PO4, pH 5.8 | − | + | yes | Consistent with electrostatic interactions | |
| 200 mM PO4, pH 5.8, CpG | − − − | + | Partial 40%- CpG mass balance loss | no (80%) | Bound part (20%) is consistent with electrostatic interactions, with unbound (80%) potentially from displacement by CpG-LDAO complexes? |
Disclaimer/Publisher’s Note: The statements, opinions and data contained in all publications are solely those of the individual author(s) and contributor(s) and not of MDPI and/or the editor(s). MDPI and/or the editor(s) disclaim responsibility for any injury to people or property resulting from any ideas, methods, instructions or products referred to in the content. |
© 2025 by the authors. Licensee MDPI, Basel, Switzerland. This article is an open access article distributed under the terms and conditions of the Creative Commons Attribution (CC BY) license.
Share and Cite
Taskar, P.; Kumar, P.; Dotson, B.; Datta, A.; Guo, S.; Chalke, G.; Puri, R.; Seth, H.; Wizel, B.; Joshi, S.B.; et al. Compatibility and Stability of a Shigella Polysaccharide—Protein Conjugate Antigen Formulated with Aluminum Salt and CpG 1018® Adjuvants. Vaccines 2026, 14, 10. https://doi.org/10.3390/vaccines14010010
Taskar P, Kumar P, Dotson B, Datta A, Guo S, Chalke G, Puri R, Seth H, Wizel B, Joshi SB, et al. Compatibility and Stability of a Shigella Polysaccharide—Protein Conjugate Antigen Formulated with Aluminum Salt and CpG 1018® Adjuvants. Vaccines. 2026; 14(1):10. https://doi.org/10.3390/vaccines14010010
Chicago/Turabian StyleTaskar, Poorva, Prashant Kumar, Brandy Dotson, Anup Datta, Shangdong Guo, Giriraj Chalke, Richa Puri, Harshita Seth, Benjamin Wizel, Sangeeta B. Joshi, and et al. 2026. "Compatibility and Stability of a Shigella Polysaccharide—Protein Conjugate Antigen Formulated with Aluminum Salt and CpG 1018® Adjuvants" Vaccines 14, no. 1: 10. https://doi.org/10.3390/vaccines14010010
APA StyleTaskar, P., Kumar, P., Dotson, B., Datta, A., Guo, S., Chalke, G., Puri, R., Seth, H., Wizel, B., Joshi, S. B., & Volkin, D. B. (2026). Compatibility and Stability of a Shigella Polysaccharide—Protein Conjugate Antigen Formulated with Aluminum Salt and CpG 1018® Adjuvants. Vaccines, 14(1), 10. https://doi.org/10.3390/vaccines14010010

