Immunogenicity and Safety of Half-Dose Heterologous mRNA-1273 Booster Vaccination for Adults Primed with the CoronaVac® and ChAdOx1-S Vaccines for SARS-CoV-2
Abstract
1. Introduction
2. Materials and Methods
2.1. Investigational Products
2.2. Study Design, Ethics, and Blinding
2.3. Trial Protocol
2.4. Primary and Secondary Outcomes
2.5. Statistical Analyses
3. Results
3.1. Reactogenicity of Half-Dose mRNA Vaccine Booster
3.2. Immunogenicity Evaluation (Anti-sRBD [Spike-Receptor Binding Domain] IgG)
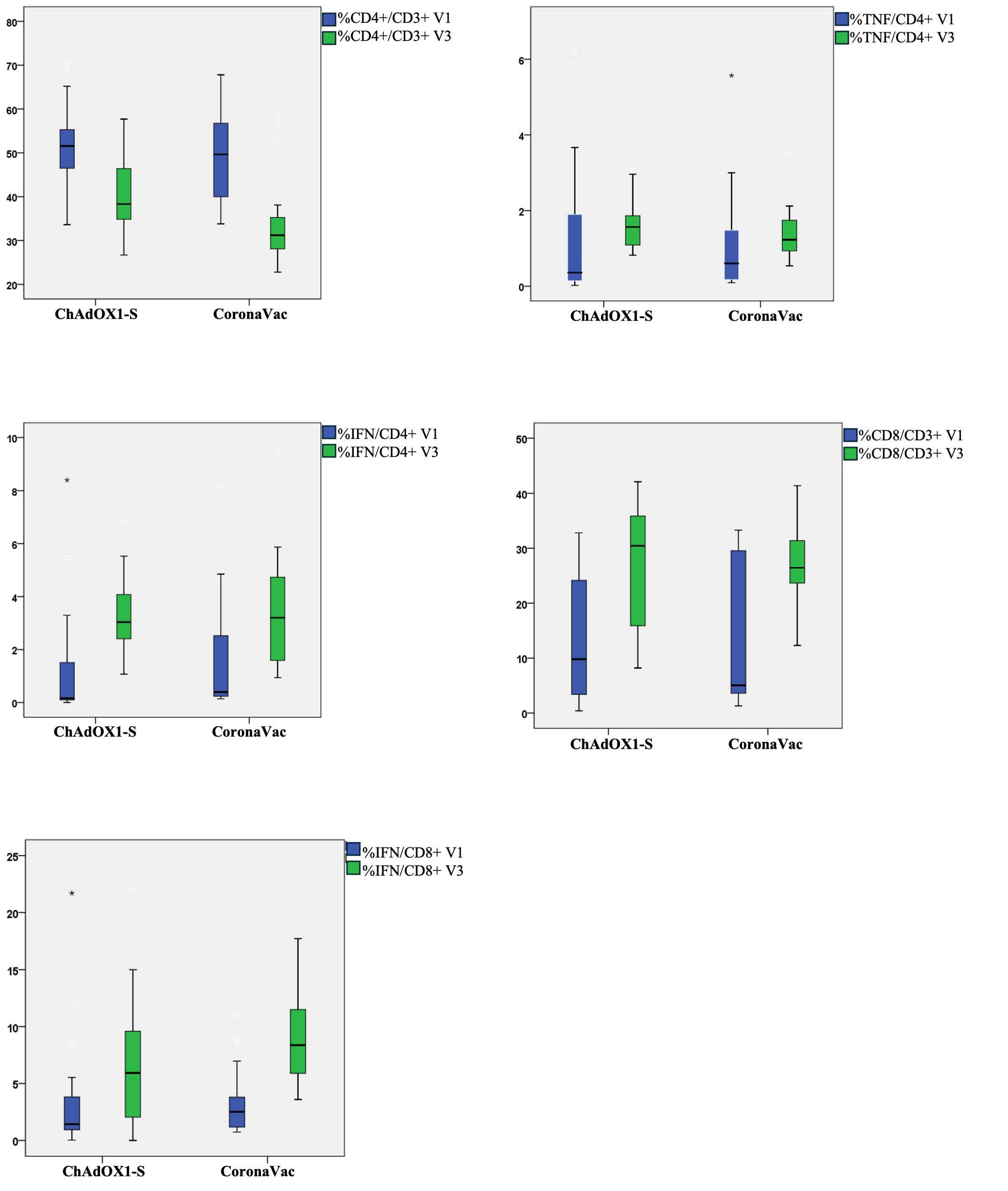
3.3. Cell-Mediated Immunity (Specific T Cell Responses)
4. Discussion
5. Conclusions
Supplementary Materials
Author Contributions
Funding
Institutional Review Board Statement
Informed Consent Statement
Data Availability Statement
Acknowledgments
Conflicts of Interest
References
- Bhatia, N. Middle East Quickens Booster Shot Drive. Middle East Business Intelligence. 2022. Available online: https://www.meed.com/booster-shots-gather-pace-in-middle-east (accessed on 18 January 2024).
- Normark, J.; Vikström, L.; Gwon, Y.-D.; Persson, I.-L.; Edin, A.; Björsell, T.; Dernstedt, A.; Christ, W.; Tevell, S.; Evander, M.; et al. Heterologous ChAdOx1 nCoV-19 and mRNA-1273 Vaccination. N. Engl. J. Med. 2021, 385, 1049–1051. [Google Scholar] [CrossRef]
- Sinto, R.; Utomo, D.; Suwarti None Nelwan, E.; Surendra, H.; Natasha, C.; Fransiska None Theresia, D.; Ranitria, A.F.; Subekti, D.; Nuraeni, N.; Handayani, W.; et al. Serum anti-Spike antibody titers before and after heterologous booster with mRNA-1273 SARS-CoV-2 vaccine following two doses of inactivated whole-virus CoronaVac vaccine. medRxiv 2021. [CrossRef]
- Moderna: Spikevax–COVID-19 Vaccine Tracker. Available online: https://covid19.trackvaccines.org/vaccines/22/ (accessed on 18 January 2024).
- Lim, W.W.; Mak, L.; Leung, G.M.; Cowling, B.J.; Peiris, M. Comparative immunogenicity of mRNA and inactivated vaccines against COVID-19. Lancet Microbe 2021, 2, e423. [Google Scholar] [CrossRef] [PubMed]
- So, H.; Li, T.; Chan, V.; Tam, L.S.; Chan, P.K. Immunogenicity and safety of inactivated and mRNA COVID-19 vaccines in patients with systemic lupus erythematosus. Ther. Adv. Musculoskelet. Dis. 2022, 14, 1759720X221089586. [Google Scholar] [CrossRef]
- Sharif, N.; Alzahrani, K.J.; Ahmed, S.N.; Dey, S.K. Efficacy, Immunogenicity and Safety of COVID-19 Vaccines: A Systematic Review and Meta-Analysis. Front. Immunol. 2021, 12, 714170. [Google Scholar] [CrossRef] [PubMed]
- World Health Organization. Indonesia Received the First Batch of COVID-19 Vaccines from the COVAX Facility. Available online: https://www.who.int/indonesia/news/detail/09-03-2021-indonesia-received-the-first-batch-of-covid-19-vaccines-from-the-covax-facility (accessed on 18 January 2024).
- Roozen, G.V.T.; Prins, M.L.M.; van Binnendijk, R.; den Hartog, G.; Kuiper, V.P.; Prins, C.; Janse, J.J.; Kruithof, A.C.; Feltkamp, M.C.W.; Kuijer, M.; et al. Tolerability, safety and immunogenicity of intradermal delivery of a fractional dose mRNA-1273 SARS-CoV-2 vaccine in healthy adults as a dose sparing strategy. medRxiv 2021. [Google Scholar] [CrossRef]
- World Health Organization. WHO position on the use of fractional doses–June 2017, addendum to vaccines and vaccination against yellow fever WHO: Position paper–June 2013. Vaccine 2017, 35, 5751–5752. [Google Scholar] [CrossRef]
- Sadoff, J.; Le Gars, M.; Brandenburg, B.; Cárdenas, V.; Shukarev, G.; Vaissiere, N.; Heerwegh, D.; Truyers, C.; de Groot, A.M.; Jongeneelen, M.; et al. Durable antibody responses elicited by 1 dose of Ad26.COV2.S and substantial increase after boosting: 2 randomized clinical trials. Vaccine 2022, 40, 4403–4411. [Google Scholar] [CrossRef]
- Dolgin, E. Quarter-dose of Moderna COVID vaccine still rouses a big immune response. Nature 2021. [Google Scholar] [CrossRef] [PubMed]
- World Health Organization. Background Document on the mRNA-1273 Vaccine (Moderna) against COVID-19. Available online: https://www.who.int/publications-detail-redirect/background-document-on-the-mrna-1273-vaccine-(moderna)-against-covid-19 (accessed on 18 January 2024).
- Research Center for Biologics Evaluation. Toxicity Grading Scale for Healthy Adult and Adolescent Volunteers Enrolled in Preventive Vaccine Clinical Trials. FDA. 2019. Available online: https://www.fda.gov/regulatory-information/search-fda-guidance-documents/toxicity-grading-scale-healthy-adult-and-adolescent-volunteers-enrolled-preventive-vaccine-clinical (accessed on 18 January 2024).
- Fadlyana, E.; Setiabudi, D.; Kartasasmita, C.B.; Putri, N.D.; Rezeki Hadinegoro, S.; Mulholland, K.; on Behalf of theBCOV21 Study Group. Immunogenicity and safety in healthy adults of full dose versus half doses of COVID-19 vaccine (ChAdOx1-S or BNT162b2) or full-dose CoronaVac administered as a booster dose after priming with CoronaVac: A randomised, observer-masked, controlled trial in Indonesia. Lancet Infect. Dis. 2023, 23, 545–555. [Google Scholar]
- World Health Organization. Coronavirus Disease (COVID-19): Vaccines and Vaccine Safety. Available online: https://www.who.int/news-room/questions-and-answers/item/coronavirus-disease-(covid-19)-vaccines (accessed on 18 January 2024).
- Embassy of the Republic of Indonesia. Indonesia Launches First COVID-19 Vaccination Program. Kementerian Luar Negeri Repulik Indonesia. Available online: https://kemlu.go.id/madrid/en (accessed on 18 January 2024).
- Indonesia Ministry of Health. Kemenkes Terbitkan Surat Edaran Informasi Vaksin AstraZeneca, Begini Isinya. Sehat Negeriku. 2021. Available online: https://sehatnegeriku.kemkes.go.id/baca/rilis-media/20210409/3837444/kemenkes-terbitkan-surat-edaran-informasi-vaksin-astrazeneca-begini-isinya/ (accessed on 18 January 2024).
- Walsh, E.E.; Frenck, R.W., Jr.; Falsey, A.R.; Kitchin, N.; Absalon, J.; Gurtman, A.; Lockhart, S.; Neuzil, K.; Mulligan, M.J.; Bailey, R.; et al. Safety and Immunogenicity of Two RNA-Based Covid-19 Vaccine Candidates. N. Engl. J. Med. 2020, 383, 2439–2450. [Google Scholar] [CrossRef]
- Sarah, Siti. Reasons Why You Should Take Your Second Dose of COVID-19 Vaccine. Jakarta’s COVID-19 Response Team. 2021. Available online: https://corona.jakarta.go.id/en (accessed on 18 January 2024).
- Levin, E.G.; Lustig, Y.; Cohen, C.; Fluss, R.; Indenbaum, V.; Amit, S.; Doolman, R.; Asraf, K.; Mendelson, E.; Ziv, A.; et al. Waning Immune Humoral Response to BNT162b2 Covid-19 Vaccine over 6 Months. N. Engl. J. Med. 2021, 385, e84. [Google Scholar] [CrossRef]
- Jakarta Globe. Indonesia Suspects Omicron Already Becomes Dominant Variant. Available online: https://jakartaglobe.id/news/indonesia-suspects-omicron-already-becomes-dominant-variant (accessed on 18 January 2024).
- Burki, T.K. Omicron variant and booster COVID-19 vaccines. Lancet Respir. Med. 2022, 10, e17. [Google Scholar] [CrossRef] [PubMed]
- Petrelli, F.; Luciani, A.; Borgonovo, K.; Ghilardi, M.; Parati, M.C.; Petrò, D.; Lonati, V.; Pesenti, A.; Cabiddu, M. Third dose of SARS-CoV-2 vaccine: A systematic review of 30 published studies. J. Med. Virol. 2022, 94, 2837–2844. [Google Scholar] [CrossRef] [PubMed]
- Hervé, C.; Laupèze, B.; Del Giudice, G.; Didierlaurent, A.M.; Tavares Da Silva, F. The how’s and what’s of vaccine reactogenicity. NPJ Vaccines 2019, 4, 39. [Google Scholar] [CrossRef] [PubMed]
- Chapin-Bardales, J.; Gee, J.; Myers, T. Reactogenicity Following Receipt of mRNA-Based COVID-19 Vaccines. JAMA 2021, 325, 2201. [Google Scholar] [CrossRef] [PubMed]
- Centers for Disease Control and Prevention. Moderna COVID-19 Vaccine’s Reactions and Adverse Events | CDC. 2023. Available online: https://www.cdc.gov/vaccines/covid-19/info-by-product/moderna/reactogenicity.html (accessed on 18 January 2024).
- Polack, F.P.; Thomas, S.J.; Kitchin, N.; Absalon, J.; Gurtman, A.; Lockhart, S.; Perez, J.L.; Marc, G.P.; Moreira, E.D.; Zerbini, C.; et al. Safety and Efficacy of the BNT162b2 mRNA COVID-19 Vaccine. N. Engl. J. Med. 2020, 383, 2603–2615. [Google Scholar] [CrossRef] [PubMed]
- Menni, C.; Klaser, K.; May, A.; Polidori, L.; Capdevila, J.; Louca, P.; Sudre, C.H.; Nguyen, L.H.; Drew, D.A.; Merino, J.; et al. Vaccine side-effects and SARS-CoV-2 infection after vaccination in users of the COVID Symptom Study app in the UK: A prospective observational study. Lancet Infect. Dis. 2021, 21, 939–949. [Google Scholar] [CrossRef] [PubMed]
- World Health Organization. Side Effects of COVID-19 Vaccines. Available online: https://www.who.int/news-room/feature-stories/detail/side-effects-of-covid-19-vaccines (accessed on 18 January 2024).
- Kitagawa, H.; Kaiki, Y.; Sugiyama, A.; Nagashima, S.; Kurisu, A.; Nomura, T.; Omori, K.; Akita, T.; Shigemoto, N.; Tanaka, J.; et al. Adverse reactions to the BNT162b2 and mRNA-1273 mRNA COVID-19 vaccines in Japan. J. Infect. Chemother. 2022, 28, 576–581. [Google Scholar] [CrossRef] [PubMed]
- El-Shitany, N.A.; Harakeh, S.; Badr-Eldin, S.M.; Bagher, A.M.; Eid, B.; Almukadi, H.; Sindi, N.; Alghamdi, S.A.; Almohaimeed, H.M.; Mohammedsaleh, Z.M.; et al. Minor to Moderate Side Effects of Pfizer-BioNTech COVID-19 Vaccine Among Saudi Residents: A Retrospective Cross-Sectional Study. Int. J. Gen. Med. 2021, 14, 1389–1401. [Google Scholar] [CrossRef]
- Chun, Y.; Jang, J.; Jo, J.H.; Park, J.W. Various painful oral adverse reactions following COVID-19 vaccination: A case series. BMC Oral Health 2022, 22, 64. [Google Scholar] [CrossRef]
- Cirillo, N. Reported orofacial adverse effects of COVID-19 vaccines: The knowns and the unknowns. J. Oral Pathol. Med. 2021, 50, 424–427. [Google Scholar] [CrossRef]
- Angeli, F.; Reboldi, G.; Trapasso, M.; Zappa, M.; Spanevello, A.; Verdecchia, P. COVID-19, vaccines and deficiency of ACE(2) and other angiotensinases. Closing the loop on the “Spike effect.” Eur. J. Intern. Med. 2022, 103, 23–28. [Google Scholar]
- Meylan, S.; Livio, F.; Foerster, M.; Genoud, P.J.; Marguet, F.; Wuerzner, G.; CHUV COVID Vaccination Center. Stage III Hypertension in Patients After mRNA-Based SARS-CoV-2 Vaccination. Hypertension 2021, 77, e56–e57. [Google Scholar] [CrossRef]
- Pang, K.; Pan, L.; Guo, H.; Wu, X. Case Report: Associated Ocular Adverse Reactions With Inactivated COVID-19 Vaccine in China. Front. Med. 2022, 8, 823346. [Google Scholar] [CrossRef]
- Lee, Y.K.; Huang, Y.H. Ocular Manifestations after Receiving COVID-19 Vaccine: A Systematic Review. Vaccines 2021, 9, 1404. [Google Scholar] [CrossRef]
- Ng, X.L.; Betzler, B.K.; Testi, I.; Ho, S.L.; Tien, M.; Ngo, W.K.; Zierhut, M.; Chee, S.P.; Gupta, V.; Pavesio, C.E.; et al. Ocular Adverse Events After COVID-19 Vaccination. Ocul. Immunol. Inflamm. 2021, 29, 1216–1224. [Google Scholar] [CrossRef] [PubMed]
- Angkasekwinai, N.; Niyomnaitham, S.; Sewatanon, J.; Phumiamorn, S.; Sukapirom, K.; Senawong, S.; Toh, Z.Q.; Umrod, P.; Somporn, T. The immunogenicity and reactogenicity of four COVID-19 booster vaccinations against SARS-CoV-2 variants of concerns (Delta, Beta, and Omicron) following CoronaVac or ChAdOx1 nCoV-19 primary series. medRxiv 2022. [Google Scholar] [CrossRef]
- Yalçın, T.Y.; Topçu, D.İ.; Doğan, Ö.; Aydın, S.; Sarı, N.; Erol, Ç.; Kuloğlu, Z.E.; Azap, Ö.K.; Can, F.; Arslan, H. Immunogenicity after two doses of inactivated virus vaccine in healthcare workers with and without previous COVID-19 infection: Prospective observational study. J. Med. Virol. 2022, 94, 279–286. [Google Scholar] [CrossRef] [PubMed]
- Hotez, P.J.; Nuzhath, T.; Callaghan, T.; Colwell, B. COVID-19 vaccine decisions: Considering the choices and opportunities. Microbes Infect. 2021, 23, 104811. [Google Scholar] [CrossRef] [PubMed]
- Kang, C.K.; Shin, H.M.; Choe, P.G.; Park, J.; Hong, J.; Seo, J.S.; Lee, Y.H.; Chang, E.; Kim, N.J. Broad humoral and cellular immunity elicited by one-dose mRNA vaccination 18 months after SARS-CoV-2 infection. BMC Med. 2022, 20, 181. [Google Scholar] [CrossRef] [PubMed]
- Chen, Z.; Zhang, Y.; Wang, M.; Islam, S.; Liao, P.; Hu, Y.; Chen, X. Humoral and Cellular Immune Responses of COVID-19 vaccines against SARS-CoV-2 Omicron variant: A systemic review. Int. J. Biol. Sci. 2022, 18, 4629–4641. [Google Scholar] [CrossRef] [PubMed]
- Misra, P.; Garg, P.K.; Awasthi, A.; Kant, S.; Rai, S.K.; Ahmad, M.; Guleria, R.; Deori, T.J.; Mandal, S.; Jaiswal, A.; et al. Cell-Mediated Immunity (CMI) for SARS-CoV-2 Infection Among the General Population of North India: A Cross-Sectional Analysis From a Sub-sample of a Large Sero-Epidemiological Study. Cureus 2023, 15, e48824. [Google Scholar] [CrossRef]
- Batmunkh, T.; Moore, K.A.; Thomson, H.; Altangerel, B.; Amraa, O.; Avaa, N.; Batbayar, L.; Batsukh, K.; Bright, K.; Burentogtokh, T.; et al. Immunogenicity, safety, and reactogenicity of a half- versus full-dose BNT162b2 (Pfizer-BioNTech) booster following a two-dose ChAdOx1 nCoV-19, BBIBP-CorV, or Gam-COVID-Vac priming schedule in Mongolia: A randomised, controlled, non-inferiority trial. Lancet Reg. Health West. Pac. 2023, 42, 100953. [Google Scholar] [CrossRef] [PubMed]




| Variables | ChAdOx1-S | CoronaVac® |
|---|---|---|
| Male, n (%) | 57 (57.0) | 77 (77.0) |
| Age (years) 18–59 years ≥60 years | 40.41 ± 1.32 98 (98.0) 11 (11.0) | 41.57 ± 0.98 89 (89.0) 11 (11.0) |
| Days since last vaccination | 190.0 (183.25–197.00) | 263.0 (199.25–285.00) |
| Body weight (kg) | 63.50 (57.05–72.63) | 68.85 (58.13–83.48) |
| Body height (cm) | 160.20 (154.85–166.68) | 165.25 (159.00–169.15) |
| Variables | ChAdOx1-S | CoronaVac® | p-Value |
|---|---|---|---|
| Types (n = 339) | 0.866 a | ||
| Local | 68 (44.2) | 80 (43.2) | |
| Systemic | 86 (55.8) | 105 (56.8) | |
| Duration since vaccination | 0.985 b | ||
| 30 min | 0 (0.0) | 4 (2.2) | |
| 1–7 days | 142 (92.2) | 171 (92.4) | |
| 8–28 days | 12 (7.8) | 10 (5.4) | |
| Duration of adverse events | 1 (1–2) days | 1 (1–2) days | 0.105 b |
| Intensity | 0.422 c | ||
| Grade 1 (mild) | 115 (74.7) | 145 (78.4) | |
| Grade 2 (moderate) | 38 (24.7) | 39 (21.1) | |
| Grade 3 (severe) | 1 (0.6) | 1 (0.5) | |
| Grade 4 (potentially life-threatening) | 0 (0.0) | 0 (0.0) | |
| Local adverse events | N/A | ||
| Redness | 2 (1.3) | 4 (2.2) | |
| Tenderness | 59 (38.3) | 62 (33.5) | |
| Swelling | 4 (2.6) | 7 (3.8) | |
| Thickening of the skin | 3 (1.9) | 6 (3.2) | |
| Soreness | 0 (0.0) | 1 (0.5) | |
| Systemic adverse events | N/A | ||
| Fatigue | 10 (6.5) | 19 (10.3) | |
| Nausea/vomiting | 4 (2.6) | 7 (3.7) | |
| Myalgia | 25 (16.2) | 29 (15.7) | |
| Joint pain | 12 (7.8) | 14 (7.6) | |
| Headache | 23 (14.9) | 25 (13.5) | |
| Other systemic adverse events | 12 (7.8) | 11 (5.9) |
| Vaccine Priming | |||
|---|---|---|---|
| ChAdOx1-S (n = 100) | CoronaVac® (n = 99) | p-Value *) | |
| Pre-vaccination: GMT (U/mL) (95% CI) Median (Q1, Q3) Seropositive, n (%) (95% CI) 28 days after vaccination: GMT (U/mL) (95% CI) Median (Q1, Q3) Seropositive, n (%) (95% CI) Seroconversion, n (%) (95% CI) GMI (95% CI) | 3848.57 (2930.89–5053.59) 4939 (1286–13,114.25) 100 (100) (96.38–100) 20,077.05 (28,940.87–21,281.39) 24,221.5 (17,164.5–25,000) 100 (100) (96.38–100) 46 (46) (35.98–56.26) 5.21 (3.97–6.85) | 1375.62 (861.59–2196.34) 1806 (331.1–10,676.0) 89 (89.9) (82.21–95.05) 20,169.73 (18,745.63–21,702.01) 25,000 (17,920–25,000) 99 (100) (96.34–100) 61 (61.6) (51.30–71.22) 14.66 (9.32–23.07) | <0.001 0.001 0.922 1.000 0.027 <0.001 |
| Variables | V1 | V3 | p-Value | ||
|---|---|---|---|---|---|
| Median (IQR) | p-Value | Median (IQR) | p-Value | ||
| sVNT | |||||
| % Inhibition ChAdOX1-S (n = 100) CoronaVac® (n = 99) | 96.0 (94.0–96.0) 95.0 (68.0–97.0) | 0.328 a | 96.0 (95.0–97.0) 96.0 (95.0–97.0) | 0.024 a,* | 0.000 b,* 0.000 b,* |
| Positive proportion (n%) ChAdOX1-S (n = 100) CoronaVac® (n = 99) | 95 (95.0) 86 (86.0) | 0.030 c,* | 100 (100) 99 (99.0) | 1.000 d | 0.000 b,* 0.000 b,* |
| Variables | V1 | V3 | p-Value | ||
|---|---|---|---|---|---|
| Median (IQR) | p-Value | Median (IQR) | p-Value | ||
| SARS-CoV-2 Wuhan strain | |||||
| ChAdOX1-S (n = 8) CoronaVac® (n = 8) | 128 (20–256) 256 (64–448) | 0.279 a | 512 (512–896) 768 (320–2048) | 0.645 a | 0.012 b,* 0.028 b,* |
| SARS-CoV-2 Delta strain | |||||
| ChAdOX1-S (n = 8) CoronaVac® (n = 8) | 96 (22–128) 96 (40–416) | 0.798 a | 384 (128–512) 256 (128–1024) | 0.574 a | 0.051 0.091 b |
| Variables | V1 | V3 | p-Value b | ||
|---|---|---|---|---|---|
| Median (IQR) | p-Value a | Median (IQR) | p-Value a | ||
| %CD4+/CD3+ | |||||
| ChAdOX1-S (n = 24) | 51.55 (33.6–70.2) | 0.643 | 38.3 (26.7–57.7) | 0.002 | <0.001 * |
| CoronaVac® (n = 24) | 49.65 (33.8–67.8) | 31.2 (22.8–58.2) | 0.001 * | ||
| %IFN/CD4+ | |||||
| ChAdOX1-S (n = 24) | 0.16 (0.003–8.40) | 0.014 * | 3.035 (1.07–6.80) | 1.00 | <0.001 * |
| CoronaVac® (n = 24) | 0.4 (0.14–8.2) | 3.205 (0.94–9.46) | 0.001 * | ||
| %TNF/CD4+ | |||||
| ChAdOX1-S (n = 24) | 0.36 (0.023–6.20) | 0.710 | 1.565 (0.82–3.06) | 0.143 | 0.034 * |
| CoronaVac® (n = 24) | 0.605 (0.094–5.57) | 1.23 (0.54–3.50) | 0.042 * | ||
| %CD8+/CD3+ | |||||
| ChAdOX1-S (n = 24) | 9.8 (0.4–32.8) | 0.959 | 30.45 (8.21–42.1) | 0.918 | 0.001 * |
| CoronaVac® (n = 24) | 5.05 (1.3–33.3) | 26.45 (12.3–41.4) | 0.002 * | ||
| %IFN/CD8+ | |||||
| ChAdOX1-S (n = 24) | 1.425 (0.028–21.7) | 0.184 | 5.93 (0.0–22.0) | 0.035 | <0.001 * |
| CoronaVac® (n = 24) | 2.515 (0.73–11.0) | 8.365 (3.6–17.7) | <0.001 * | ||
| %TNF/CD8+ | |||||
| ChAdOX1-S (n = 24) | 0.36 (0.023–6.20) | 0.877 | 4.76 (1.20–12.1) | 0.001 | <0.001 * |
| CoronaVac® (n = 24) | 0.425 (0.094–5.57) | 9.775 (2.0–17.0) | <0.001 * | ||
Disclaimer/Publisher’s Note: The statements, opinions and data contained in all publications are solely those of the individual author(s) and contributor(s) and not of MDPI and/or the editor(s). MDPI and/or the editor(s) disclaim responsibility for any injury to people or property resulting from any ideas, methods, instructions or products referred to in the content. |
© 2024 by the authors. Licensee MDPI, Basel, Switzerland. This article is an open access article distributed under the terms and conditions of the Creative Commons Attribution (CC BY) license (https://creativecommons.org/licenses/by/4.0/).
Share and Cite
Putri, N.D.; Zhafira, A.S.; Wicaksana, P.; Sinto, R.; Hanafi, G.; Wiyono, L.; Prayitno, A.; Karyanti, M.R.; Naibaho, M.L.; Febrina, F.; et al. Immunogenicity and Safety of Half-Dose Heterologous mRNA-1273 Booster Vaccination for Adults Primed with the CoronaVac® and ChAdOx1-S Vaccines for SARS-CoV-2. Vaccines 2024, 12, 344. https://doi.org/10.3390/vaccines12040344
Putri ND, Zhafira AS, Wicaksana P, Sinto R, Hanafi G, Wiyono L, Prayitno A, Karyanti MR, Naibaho ML, Febrina F, et al. Immunogenicity and Safety of Half-Dose Heterologous mRNA-1273 Booster Vaccination for Adults Primed with the CoronaVac® and ChAdOx1-S Vaccines for SARS-CoV-2. Vaccines. 2024; 12(4):344. https://doi.org/10.3390/vaccines12040344
Chicago/Turabian StylePutri, Nina Dwi, Aqila Sakina Zhafira, Pratama Wicaksana, Robert Sinto, Gryselda Hanafi, Lowilius Wiyono, Ari Prayitno, Mulya Rahma Karyanti, Murni Luciana Naibaho, Febrina Febrina, and et al. 2024. "Immunogenicity and Safety of Half-Dose Heterologous mRNA-1273 Booster Vaccination for Adults Primed with the CoronaVac® and ChAdOx1-S Vaccines for SARS-CoV-2" Vaccines 12, no. 4: 344. https://doi.org/10.3390/vaccines12040344
APA StylePutri, N. D., Zhafira, A. S., Wicaksana, P., Sinto, R., Hanafi, G., Wiyono, L., Prayitno, A., Karyanti, M. R., Naibaho, M. L., Febrina, F., Sukandar, H., Setiawaty, V., Mursinah, M., Putra, A. R., Wibowo, H., Sundoro, J., Satari, H. I., Oktavia, D., Multihartina, P., ... Hadinegoro, S. R. (2024). Immunogenicity and Safety of Half-Dose Heterologous mRNA-1273 Booster Vaccination for Adults Primed with the CoronaVac® and ChAdOx1-S Vaccines for SARS-CoV-2. Vaccines, 12(4), 344. https://doi.org/10.3390/vaccines12040344

