Maternal Preconception COVID-19 Vaccination and Its Protective Effect on Infants after a Breakthrough Infection during Pregnancy
Abstract
1. Introduction
2. Method
2.1. Study Design
2.2. Sample Collection and SARS-CoV-2 Detection
2.3. SARS-CoV-2 RBD ELISA
2.4. Production of SARS-CoV-2 S Pseudoviruses
2.5. Neutralization Assay
2.6. Statistical Analyses
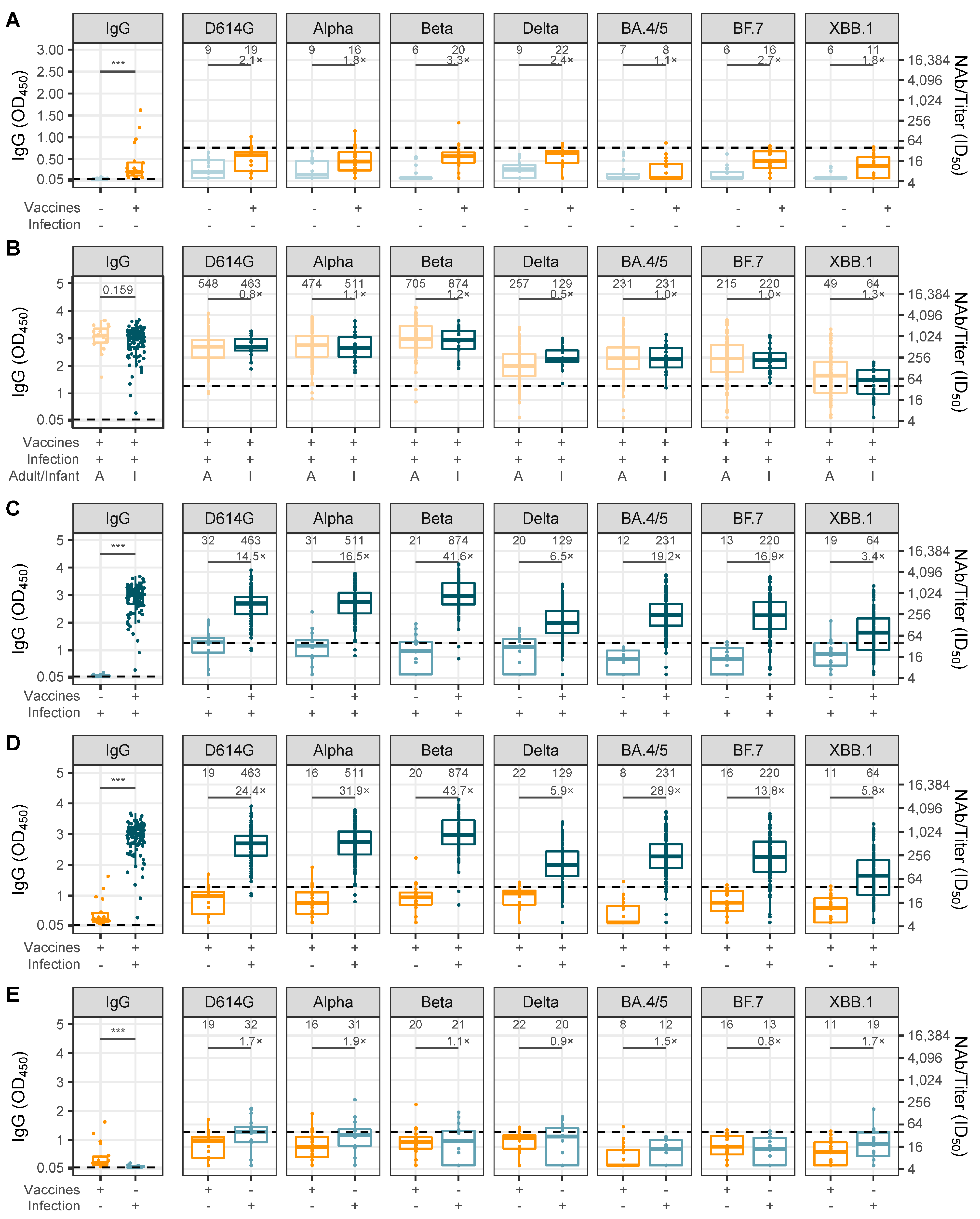
3. Results
4. Discussion
5. Strengths and Limitations
6. Conclusions
Supplementary Materials
Author Contributions
Funding
Institutional Review Board Statement
Informed Consent Statement
Data Availability Statement
Conflicts of Interest
References
- Marks, K.J.; Whitaker, M.; Agathis, N.T.; Anglin, O.; Milucky, J.; Patel, K.; Pham, H.; Kirley, P.D.; Kawasaki, B.; Meek, J.; et al. Hospitalization of Infants and Children Aged 0–4 Years with Laboratory-Confirmed COVID-19—COVID-NET, 14 States, March 2020–February 2022. MMWR Morb. Mortal. Wkly. Rep. 2022, 71, 429–436. [Google Scholar] [CrossRef]
- Cui, X.; Zhao, Z.; Zhang, T.; Guo, W.; Guo, W.; Zheng, J.; Zhang, J.; Dong, C.; Na, R.; Zheng, L.; et al. A systematic review and meta-analysis of children with coronavirus disease 2019 (COVID-19). J. Med. Virol. 2021, 93, 1057–1069. [Google Scholar] [CrossRef] [PubMed]
- Etti, M.; Calvert, A.; Galiza, E.; Lim, S.; Khalil, A.; Le Doare, K.; Heath, P.T. Maternal vaccination: A review of current evidence and recommendations. Am. J. Obstet. Gynecol. 2022, 226, 459–474. [Google Scholar] [CrossRef] [PubMed]
- Halasa, N.B.; Olson, S.M.; Staat, M.A.; Newhams, M.M.; Price, A.M.; Boom, J.A.; Sahni, L.C.; Cameron, M.A.; Pannaraj, P.S.; Bline, K.E.; et al. Effectiveness of Maternal Vaccination with mRNA COVID-19 Vaccine during Pregnancy against COVID-19-Associated Hospitalization in Infants Aged <6 Months—17 States, July 2021–January 2022. MMWR Morb. Mortal. Wkly. Rep. 2022, 71, 264–270. [Google Scholar]
- Halasa, N.B.; Olson, S.M.; Staat, M.A.; Newhams, M.M.; Price, A.M.; Pannaraj, P.S.; Boom, J.A.; Sahni, L.C.; Chiotos, K.; Cameron, M.A.; et al. Maternal Vaccination and Risk of Hospitalization for Covid-19 among Infants. N. Engl. J. Med. 2022, 387, 109–119. [Google Scholar] [CrossRef]
- Carlsen, E.; Magnus, M.C.; Oakley, L.; Fell, D.B.; Greve-Isdahl, M.; Kinge, J.M.; Håberg, S.E. Association of COVID-19 Vaccination during Pregnancy with Incidence of SARS-CoV-2 Infection in Infants. JAMA Intern. Med. 2022, 182, 825–831. [Google Scholar] [CrossRef]
- Yang, Y.; Xing, H.; Zhao, Y. Transplacental transmission of SARS-CoV-2 immunoglobulin G antibody to infants from maternal COVID-19 vaccine immunization before pregnancy. J. Med. Virol. 2023, 95, e28296. [Google Scholar] [CrossRef]
- Fu, D.; He, G.; Li, H.; Tan, H.; Ji, X.; Lin, Z.; Hu, J.; Liu, T.; Xiao, J.; Liang, X.; et al. Effectiveness of COVID-19 Vaccination Against SARS-CoV-2 Omicron Variant Infection and Symptoms—China, December 2022–February 2023. China CDC Wkly. 2023, 28, 369–373. [Google Scholar] [CrossRef] [PubMed]
- The Central People’s Government of the China. Available online: https://www.gov.cn/ (accessed on 24 December 2022).
- Hu, J.; Gao, Q.; He, C.; Huang, A.; Tang, N.; Wang, K. Development of cell-based pseudovirus entry assay to identify potential viral entry inhibitors and neutralizing antibodies against SARS-CoV-2. Genes Dis. 2020, 7, 551–557. [Google Scholar] [CrossRef]
- Suryawanshi, R.K.; Chen, I.P.; Ma, T.; Syed, A.M.; Brazer, N.; Saldhi, P.; Simoneau, C.R.; Ciling, A.; Khalid, M.M.; Sreekumar, B.; et al. Limited cross-variant immunity from SARS-CoV-2 Omicron without vaccination. Nature 2022, 607, 351–355. [Google Scholar] [CrossRef]
- Khan, K.; Karim, F.; Cele, S.; Reedoy, K.; San, J.E.; Lustig, G.; Tegally, H.; Rosenberg, Y.; Bernstein, M.; Jule, Z.; et al. Omicron infection enhances Delta antibody immunity in vaccinated persons. Nature 2022, 607, 356–359. [Google Scholar] [CrossRef] [PubMed]
- Tan, C.Y.; Chiew, C.J.; Pang, D.; Lee, V.J.; Ong, B.; Lye, D.C.; Tan, K.B. Protective immunity of SARS-CoV-2 infection and vaccines against medically attended symptomatic omicron BA.4, BA.5, and XBB reinfections in Singapore: A national cohort study. Lancet Infect. Dis. 2023, 23, 799–805. [Google Scholar] [CrossRef] [PubMed]
- Bobrovitz, N.; Ware, H.; Ma, X.; Li, Z.; Hosseini, R.; Caoa, C.; Selemond, A.; Whelan, M.; Premji, Z.; Issa, H.; et al. Protective effectiveness of previous SARS-CoV-2 infection and hybrid immunity against the omicron variant and severe disease: A systematic review and meta-regression. Lancet Infect. Dis. 2023, 23, 556–567. [Google Scholar] [CrossRef] [PubMed]
- Walls, A.C.; Sprouse, K.R.; Bowen, J.E.; Joshi, A.; Franko, N.; Navarro, M.J.; Stewart, C.; Cameroni, E.; McCallum, M.; Goecker, E.A.; et al. SARS-CoV-2 breakthrough infections elicit potent, broad, and durable neutralizing antibody responses. Cell 2022, 185, 872–880.e3. [Google Scholar] [CrossRef]
- Nevo, L.; Cahen-Peretz, A.; Vorontsov, O.; Frenkel, R.; Kabessa, M.; Cohen, S.M.; Hamrani, A.; Oiknine-Djian, E.; Lipschuetz, M.; Goldman-Wohl, D.; et al. Boosting maternal and neonatal humoral immunity following SARS-CoV-2 infection using a single messenger RNA vaccine dose. Am. J. Obstet. Gynecol. 2022, 227, 486.e1–486.e10. [Google Scholar] [CrossRef]
- Munoz, F.M.; Bond, N.H.; Maccato, M.; Pinell, P.; Hammill, H.A.; Swamy, G.K.; Walter, E.B.; Jackson, L.A.; Englund, J.A.; Edwards, M.S.; et al. Safety and immunogenicity of tetanus diphtheria and acellular pertussis (Tdap) immunization during pregnancy in mothers and infants: A randomized clinical trial. JAMA 2014, 311, 1760–1769. [Google Scholar] [CrossRef]
- Rottenstreich, A.; Zarbiv, G.; Oiknine-Djian, E.; Vorontsov, O.; Zigron, R.; Kleinstern, G.; Porat, S.; Wolf, D.G. Kinetics of Maternally Derived Anti-Severe Acute Respiratory Syndrome Coronavirus 2 (SARS-CoV-2) Antibodies in Infants in Relation to the Timing of Antenatal Vaccination. Clin. Infect. Dis. 2023, 76, e274–e279. [Google Scholar] [CrossRef]
- Shook, L.L.; Atyeo, C.G.; Yonker, L.M.; Fasano, A.; Gray, K.J.; Alter, G.; Edlow, A.G. Durability of Anti-Spike Antibodies in Infants after Maternal COVID-19 Vaccination or Natural Infection. JAMA 2022, 327, 1087–1089. [Google Scholar] [CrossRef]
- van Zelm, M.C. Immune memory to SARS-CoV-2 Omicron BA.1 breakthrough infections: To change the vaccine or not? Sci. Immunol. 2022, 7, eabq5901. [Google Scholar] [CrossRef]
- Saito, A.; Irie, T.; Suzuki, R.; Maemura, T.; Nasser, H.; Uriu, K.; Kosugi, Y.; Shirakawa, K.; Sadamasu, K.; Kimura, I.; et al. Enhanced fusogenicity and pathogenicity of SARS-CoV-2 Delta P681R mutation. Nature 2022, 602, 300–306. [Google Scholar] [CrossRef]
- Chinn, J.; Sedighim, S.; Kirby, K.A.; Hohmann, S.; Hameed, A.B.; Jolley, J.; Nguyen, N.T. Characteristics and Outcomes of Women with COVID-19 Giving Birth at US Academic Centers during the COVID-19 Pandemic. JAMA Netw. Open 2021, 4, e2120456. [Google Scholar] [CrossRef] [PubMed]
- Conde-Agudelo, A.; Romero, R. SARS-CoV-2 infection during pregnancy and risk of preeclampsia: A systematic review and meta-analysis. Am. J. Obstet. Gynecol. 2022, 226, 68–89.e3. [Google Scholar] [CrossRef] [PubMed]
- DeBolt, C.A.; Bianco, A.; Limaye, M.A.; Silverstein, J.; Penfield, C.A.; Roman, A.S.; Rosenberg, H.M.; Ferrara, L.; Lambert, C.; Khoury, R.; et al. Pregnant women with severe or critical coronavirus disease 2019 have increased composite morbidity compared with nonpregnant matched controls. Am. J. Obstet. Gynecol. 2021, 224, 510.e1–510.e12. [Google Scholar] [CrossRef]
- Rasmussen, S.A.; Jamieson, D.J. Covid-19 Vaccination during Pregnancy—Two for the Price of One. N. Engl. J. Med. 2022, 387, 178–179. [Google Scholar] [CrossRef] [PubMed]




| (A) | |||
| Characteristics | Vaccines before Pregnancy + Infection (Group I, n = 101) | Vaccines before Pregnancy + No Infection (Group II, n = 20) | No Vaccines + Infection (Group III, n = 17) |
| Age (median, IQR) | |||
| Mother (years) | 30.0 (27.0–33.0) | 29.0 (27.0–30.5) | 33.0 (30.0–34.0) |
| Infant (days) | 6.0 (4.0–30.0) | 21.0 (3.8–41.0) | 6.0 (3.0–7.0) |
| Gestational week (median, IQR) | 39.0 (37.0–39.0) | 39.0 (36.8–40.0) | 38.0 (36.0–39.0) |
| Sex (Male/Female) | |||
| Male | 56 (55.4%) | 10 (50.0%) | 11 (64.7%) |
| Female | 45 (44.6%) | 10 (50.0%) | 6 (35.3%) |
| Pregnancy trimesters | |||
| Second | 23 (22.8%) | - | 6 (35.3%) |
| Third | 78 (77.2%) | - | 11 (64.7%) |
| Vaccination doses | |||
| Unvaccinated (n, %) | 0 (0.0%) | 0 (0.0%) | 17 (100.0%) |
| 1 dose (n, %) | 4 (4.0%) | 0 (0.0%) | 0 (0.0%) |
| 2 dose (n, %) | 31 (30.7%) | 12 (60.0%) | 0 (0.0%) |
| 3 dose (n, %) | 66 (65.3%) | 8 (40.0%) | 0 (0.0%) |
| IgG level (OD450) | 3.02 (2.69–3.23) | 0.22 (0.13–0.43) | 0.07 (0.06–0.08) |
| (B) | |||
| Characteristics | Vaccines before Pregnancy + Infection (Group I, n = 101) | ||
| < 1 week (n = 61) | 1 month (n = 19) | 2 months (n = 21) | |
| Age (median, IQR) | |||
| Mother (years) | 30.0 (27.0–33.0) | 30.0 (27.5–31.0) | 30.0 (27.0–33.0) |
| Infant (days) | 4.0 (3.0–6.0) | 25.0 (22.0–29.0) | 61.0 (55.0–69.0) |
| Gestational week (median, IQR) | 39.0 (38.0–39.0) | 38.5 (36.3–39.0) | 38.0 (37.0–39.0) |
| Sex (Male/Female) | |||
| Male | 36 (59.0%) | 8 (42.1%) | 12 (57.1%) |
| Female | 25 (41.0%) | 11 (57.9%) | 9 (42.9%) |
| Pregnancy trimesters | |||
| Second | 19 (31.1%) | 1 (5.3%) | 3 (14.3%) |
| Third | 42 (68.9%) | 18 (94.7%) | 18 (85.7%) |
| Vaccination doses | |||
| Unvaccinated (n, %) | 0 (0.0%) | 0 (0.0%) | 0 (0.0%) |
| 1 dose (n, %) | 0 (0.0%) | 2 (10.5%) | 2 (9.5%) |
| 2 dose (n, %) | 18 (29.5%) | 7 (36.8%) | 6 (28.6%) |
| 3 dose (n, %) | 43 (70.5%) | 10 (52.6%) | 13 (61.9%) |
| IgG level (OD450) | 3.16 (2.95–3.30) | 2.90 (2.73–3.06) | 2.29 (1.95–2.69) |
Disclaimer/Publisher’s Note: The statements, opinions and data contained in all publications are solely those of the individual author(s) and contributor(s) and not of MDPI and/or the editor(s). MDPI and/or the editor(s) disclaim responsibility for any injury to people or property resulting from any ideas, methods, instructions or products referred to in the content. |
© 2024 by the authors. Licensee MDPI, Basel, Switzerland. This article is an open access article distributed under the terms and conditions of the Creative Commons Attribution (CC BY) license (https://creativecommons.org/licenses/by/4.0/).
Share and Cite
Yang, Y.; Hu, J.; Deng, H.; Chen, D.; Wu, G.; Xing, H.; Liu, Y.; Li, S.; Yan, Y.; Tang, N.; et al. Maternal Preconception COVID-19 Vaccination and Its Protective Effect on Infants after a Breakthrough Infection during Pregnancy. Vaccines 2024, 12, 1132. https://doi.org/10.3390/vaccines12101132
Yang Y, Hu J, Deng H, Chen D, Wu G, Xing H, Liu Y, Li S, Yan Y, Tang N, et al. Maternal Preconception COVID-19 Vaccination and Its Protective Effect on Infants after a Breakthrough Infection during Pregnancy. Vaccines. 2024; 12(10):1132. https://doi.org/10.3390/vaccines12101132
Chicago/Turabian StyleYang, Yuting, Jie Hu, Haijun Deng, Dapeng Chen, Guojin Wu, Huiwu Xing, Yuanyuan Liu, Shan Li, Yihan Yan, Ni Tang, and et al. 2024. "Maternal Preconception COVID-19 Vaccination and Its Protective Effect on Infants after a Breakthrough Infection during Pregnancy" Vaccines 12, no. 10: 1132. https://doi.org/10.3390/vaccines12101132
APA StyleYang, Y., Hu, J., Deng, H., Chen, D., Wu, G., Xing, H., Liu, Y., Li, S., Yan, Y., Tang, N., & Zhao, Y. (2024). Maternal Preconception COVID-19 Vaccination and Its Protective Effect on Infants after a Breakthrough Infection during Pregnancy. Vaccines, 12(10), 1132. https://doi.org/10.3390/vaccines12101132

