Abstract
SARS-CoV-2 vaccinations were initially shown to substantially reduce risk of severe disease and death. However, pharmacokinetic (PK) waning and rapid viral evolution degrade neutralizing antibody (nAb) binding titers, causing loss of vaccinal protection. Additionally, there is inter-individual heterogeneity in the strength and durability of the vaccinal nAb response. Here, we propose a personalized booster strategy as a potential solution to this problem. Our model-based approach incorporates inter-individual heterogeneity in nAb response to primary SARS-CoV-2 vaccination into a pharmacokinetic/pharmacodynamic (PK/PD) model to project population-level heterogeneity in vaccinal protection. We further examine the impact of evolutionary immune evasion on vaccinal protection over time based on variant fold reduction in nAb potency. Our findings suggest viral evolution will decrease the effectiveness of vaccinal protection against severe disease, especially for individuals with a less durable immune response. More frequent boosting may restore vaccinal protection for individuals with a weaker immune response. Our analysis shows that the ECLIA RBD binding assay strongly predicts neutralization of sequence-matched pseudoviruses. This may be a useful tool for rapidly assessing individual immune protection. Our work suggests vaccinal protection against severe disease is not assured and identifies a potential path forward for reducing risk to immunologically vulnerable individuals.
1. Introduction
The rapid development of SARS-CoV-2 vaccines was an unprecedented achievement of modern science. Early reports suggested a high degree of vaccinal efficacy in preventing symptomatic disease [1,2,3], implying that the vaccines may be effective at limiting transmission. This possibility of high vaccinal efficacy against infection raised the hope that the vaccines could be used to achieve herd immunity. However, this hope was soon undermined by waning antibody titers [4,5,6,7] and viral immune evasion [8,9,10,11], which predictably [12,13] led to rapid declines in vaccinal efficacy against infection [14,15].
At this point, a substantial body of evidence points to neutralizing antibody titers as a correlate of immune protection [16,17,18]. In a definitive meta-analysis, neutralizing antibody titers normalized to the mean convalescent titer (from the same study) demonstrated a strong nonlinear relationship that was predictive of reported vaccinal protection across a range of different vaccines [19]. The authors found a neutralizing antibody dose–response relationship between nAb titers and protection against mild symptomatic disease and a second dose-response relationship linking nAb titers to protection against severe COVID-19 outcomes. This relationship has held up across a range of studies [20,21], retaining strong predictive power even in the face of newly emerging variants [22,23,24,25,26]. Concomitant with waning neutralizing antibody titers and viral immune evasion, a number of studies have demonstrated a loss of vaccinal efficacy against severe disease (VEs) [27,28,29,30], contradicting a commonly held perception [31,32] that the observed durability of T-cell responses [33,34,35] would lead to prolonged vaccinal protection against severe disease.
In addition to population-level waning in nAb titers, there is significant inter-individual variation in the strength and durability of the nAb response [36,37,38]. In previous work, we have quantified this inter-individual heterogeneity by applying a mixed-effects modeling approach to published data characterizing SARS-CoV-2 nAb titers after time following infection [39]. Our results found a wide range of half-lives, with a 95% population interval ranging from 33 to 320 days. This wide range has significant implications for public-health strategy, as the existence of a subset of individuals who potentially lose immunological protection within a short span of time after infection also raises questions about the breadth and durability of vaccinal protection.
To explore this question in more depth, we use a population PK modeling approach to quantify the population heterogeneity in the durability of the nAb response resulting from vaccination. We then coupled this with the PK/PD dose–response relationships linking nAb titers to protection from mild and severe disease to project population-level heterogeneity in protection. We examine loss of vaccine protection as a function of population heterogeneity in nAb durability and in response to viral immune evasion. As measuring nAb potency through the pseudovirus assay is resource-intensive, we evaluate the ECLIA RBD binding assay as a possible surrogate measure for nAb potency.
2. Materials and Methods
2.1. Population Mixed-Effects Model Fit for Neutralization Potency and IgG Levels
We use mixed-effect modeling to determine the population variability in kinetics of binding IgG and neutralizing antibodies generated by anti-SARS-CoV-2 vaccination. The clinical data are derived from a phase 1 trial of Moderna mRNA-1273 vaccine in 34 healthy adult participants who received two injections of vaccine at 100 μg [4]. Trial participants received their first vaccinations between March and May 2020 [40,41], and their nAb titers were measured through day 90 post-administration of the second vaccine dose [4]. We fitted the model to data collected starting on the administration date of the second dose in the two-dose vaccination series (day 0). The model’s initial concentration is set as the concentration on day 0.
To examine the rise and decay of longitudinal immune responses, we applied a two-stage model structure to the neutralizing potency and IgG level dataset. This model contains two phases: antibody production and memory phases. Exponential decay occurs in the whole process, while antibody production only occurs in the production phase. Zero-order or first-order production terms and possible correlation models were selected based on the Akaike information criterion and good parameter estimation (low standard error). Based on these criteria, the zero-order production model was selected for neutralizing potency and the 1st-order production model was selected for IgG (See Table S2).
Zero-order production model:
First-order production model:
where A is the antibody titer, kp is the antibody production rate, kel is the antibody elimination rate, and T is the duration of antibody production.
The population analysis was implemented in MonolixSuite. The residual error model is determined by whether population weighted residuals (PWRES), individual weighted residuals (IWRES), and normalized prediction distribution errors (NPDE) behave as independent standardized normal random variables. All parameters are lognormally distributed based on the default model structure. For lognormal distributed parameters, the predicted value (p) is represented by the following equation:
where ppop represents the fixed effect value, which is the median of the distribution in this case, and ω the standard deviation of random effects, which is interpreted as the inter-individual variability. These specifications were evaluated using Monolix’s standard goodness of fit metrics, including normality checks for distributions of random effects, scatter plots of population and individual weighted residuals, and distributions of individual values for model parameters (see Figures S2–S4).
log(p) = log(ppop) + ωp
2.2. Correlation and Covariate Analysis
Correlation and covariate analyses were implemented in Monolix to test the presence of correlations between model parameters and between model parameters and covariates. Age and initial conditions were assessed as potential covariates.
2.3. Half-Life and Peak Calculation
Both half-life and peak antibody titer for individuals in the two studies can be calculated directly from the structural model. Antibody half-life was calculated from individual decay rate as ln(2)/kel. The probability density functions of half-life were visualized for IgG and neutralizing potency from both datasets. Then, we compared the distribution of neutralizing potency and IgG to assess whether there is an affinity maturation. The peak antibody titer for individuals can be calculated by integrating the rate of increase of concentration (dAdt) over the antibody production phase Tin. The variability in individual half-life and peak titer values from the study population were visualized as distributions.
2.4. Population Variability in nAb Titer over Time
To visualize the population variability in nAb kinetics, we calculated the percentiles of nAb potencies over time in a bootstrapped synthetic population, considering both uncertainty of the population parameters and inter-individual variability in Simulx. Firstly, we formed a synthetic set of individuals by duplicating the study population 10 times. Parameters for these synthetic individuals were drawn from the uncertainty distributions computed by Monolix for each individual. Thus, the synthetic population reflects the uncertainty of the population parameters. The synthetic population was randomly drawn with resampling to generate a bootstrap population of 340 synthetic individuals. We used Simulx to simulate nAb titers over six months in this population and evaluated the percentile distribution of nAb titer at each day.
2.5. Predicting Vaccinal Protection in the Population Based on nAb Protection Model
Based on the relationship between nAb titer and protection from mild or severe COVID-19 established by Khoury et al. [19], we translated nAb kinetics in our simulated patient population to an expected level of protection over time. The simulated pseudovirus neutralization titers were normalized to COVID-19 convalescent plasma titers from a relevant dataset using the same assay and methodology [40]. We used the logistic titer-protection model to predict the level of protection based on our kinetic model’s simulated nAb titer normalized to convalescent plasma titer. This analysis reveals changes in risk of mild or severe COVID-19 over time by percentile in the population.
2.6. Predicting Vaccinal Protection against SARS-CoV-2 Variants
To estimate protection against SARS-CoV-2 delta and omicron BA.1 variants, we assumed that these variants increase the nAb titer required for protection from mild and severe disease by a fixed multiple. The fixed multiple is the reduction in nAb potency against the variant compared to WT, as measured in a pseudovirus neutralization assay. According to the literature, delta reduced nAb potency after the Moderna two-dose vaccine series by 3.2-fold relative to WT, whereas omicron BA.1 reduced potency 43-fold [42].
2.7. Assessing RBD Binding Titer as a Predictor of Protective nAb Titer
To determine whether RBD binding titer in the ECLIA assay could be used to predict nAb titers above the EC90 for protection from mild WT disease (185 ID50), we performed a receiver operating characteristic (ROC) analysis. The ROC curve is formed by calculating the sensitivity and specificity of various IgG titer thresholds for predicting nAb titer above 185 ID50. The dataset for this analysis is sourced from Pegu et al. [43], which was also produced by Moderna.
3. Results
3.1. Population Pharmacokinetic Modeling of SARS-CoV-2 Vaccinal Immunity
We fitted a two-stage population mixed-effects model to nAb expansion and decay after vaccination. The selected model provides a good fit to nAb kinetics after the second vaccine dose based on the consistency of the observed data with the prediction intervals obtained from the model (Figure 1). The model provides adequate estimation of population median and variation in all parameters (Table 1). We determined that there is a moderate correlation between Tin and kp. No significant correlations are observed between the initial nAb titer upon administration of the second vaccine dose and any of the model parameters. Additionally, there is no significant correlation between model parameters and age group either (Figure S1).
Figure 1.
Visual predictive check (VPC) of nAb kinetics model fit with the 90% prediction intervals. The blue dots represent the observed clinical nAb kinetics data [4]. The red line represents the empirical 50th percentile and the blue lines represent the empirical 10th and 90th percentiles. The shaded regions represent the model’s 90% prediction intervals for the 50th percentile (pink) and 10th and 90th percentiles (blue). The empirical percentiles fall within the model’s prediction intervals, indicating good model agreement with the data.
Table 1.
Parameter values for fitted nAb kinetics model with standard errors (SE) and relative standard error (RSE).
The model was further validated by verifying agreement between the fitted parameter distributions and individual estimates and performing normality checks for random effects and residuals (Figures S2–S4). We also note that the median half-life of nAbs significantly exceeds the median half-life of IgG antibodies (64 days vs. 45 days, p = 0.005, Figure S5), which is consistent with affinity maturation occurring following vaccination. Goodness-of-fit analysis and parameter estimates for the IgG kinetics model are available in the supplement (Figure S6, Tables S1 and S2).
3.2. Peak nAb Titer and Half-Life Are Heterogeneous in the General Population
The population PK model reveals broad population heterogeneity in peak nAb titer and nAb half-life within the general (non-immunocompromised) population. The mean half-life for nAbs is 75 days (Figure 2A). For the mean, this translates to 29-fold waning of nAb titer one year after vaccination. In the upper 90th percentile, the half-life is 127 days, implying 7.3-fold waning per year. However, the lower 10th percentile has only a 36-day nAb half-life and experiences 1100-fold waning yearly. The mean peak nAb titer after vaccination is 469 (IC50), which is 4.4-fold of the mean convalescent plasma titer after infection (Figure 2B). The 90th percentile for peak titer is 787 (IC50) (7.4-fold convalescent titer), and the 10th percentile is 193 (IC50) (1.8-fold convalescent titer).
Figure 2.
(A). Distribution of model-fitted individual nAb half-lives in the study population after vaccination. (B). Distribution of peak neutralizing titers after vaccination.
3.3. Anti-SARS-CoV-2 nAbs Wane after Vaccination, with Broad Interindividual Variability
In a model-simulated population, the heterogeneity in individual nAb PK parameters results in differences in nAb titers and persistence over time since infection (Figure 3). For individuals in the 50th percentile, nAb titers are maintained above the peak convalescent level for about 4 months after vaccination. For the 10th percentile, peak vaccine titers exceed the peak convalescent titer for 2 months, while, for the 90th percentile, vaccine titers remain above this threshold for approximately 10 months.
Figure 3.
Pseudovirus neutralization titer over time by percentile. Titer is normalized to the mean peak convalescent level after SARS-CoV-2 infection.
3.4. Variability in Antibody Persistence Translates to Functional Differences in Protection
Based on the simulated nAb kinetics, we estimated vaccine protection over time against COVID-19. As shown in Figure 4, vaccine protection over time varies based on differences in nAb PK. Protection from wild-type (WT) symptomatic (mild) disease (VEm) ranges from near-complete at the 90th percentile to 90% in the 10th percentile immediately after vaccination. As time progresses after vaccination, the variation increases—six months after the second dose, the 10th percentile receives only 30% WT VEm, while the 90th percentile retains 90% protection. Over this time interval, the population mean WT VEm wanes from 94% to 67%. Across the board, protection from WT severe disease (VEs) is higher and more persistent than VEm (Figure 4A). VEs is near-complete across the population immediately after vaccination and wanes to 75% after 6 months in the 10th percentile. However, the mean VEs for the population against WT remains 90% at 6 months. Thus, clinically significant differences in long-term vaccine efficacy are expected in the immunocompetent population, with potentially deadly consequences for those with poor nAb persistence.
Figure 4.
Protection from mild (left) and severe (right) COVID-19 by percentile over time since the second dose of the two-dose Moderna vaccination primary series. Protection is assessed for (A) wild type, (B) delta, and (C) omicron BA.1.
3.5. Immune Evasion Reduces Vaccinal Protection from Severe Disease
Although protection from severe disease remains relatively high throughout the population in the first 6 months after vaccination, immune-evading variants erode this protection, posing the risk of a rapidly changing vaccinal immunity landscape as viral evolution continues. In Figure 4B, we demonstrate the challenge for vaccines when the more transmissible and modestly immune-evading delta variant emerged [42]. The mean VEm disease immediately after vaccination dropped from about 94% to just over 80%. Although mean protection from delta severe disease is greater than 95% on average shortly after vaccination, it wanes more quickly than WT protection, reaching 80% after 6 months. Individuals with weaker vaccinal immunity are most impacted, with the 10th percentile experiencing less than 50% delta VEm 6 months after vaccination. The strongly immune-evading omicron BA.1 variant has had an even greater impact on vaccine efficacy (Figure 4C). On average, recently vaccinated individuals are conferred less than 30% protection from symptomatic omicron BA.1 infections and 70% protection from severe disease. For the 10th percentile, however, protection from omicron BA.1 is minimal even shortly after vaccination—less than 20% against mild disease and approximately 55% against severe disease. Six months after vaccination, protection is poor across most of the population: virtually no one is expected to retain more than 30% protection from symptomatic omicron BA.1 infections, while the mean and median levels of protection from severe omicron BA.1 dip below 40%. In Table S3, we show that these model predictions are consistent with published clinical data.
3.6. Immune Evasion Erodes Vaccine Protection across the Population
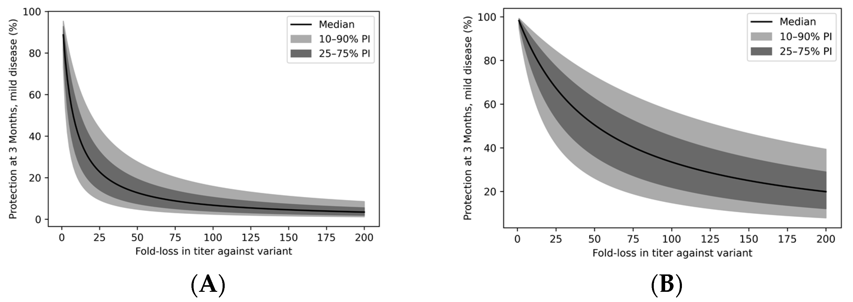
In Figure 5, we explore the relationship between degree of immune evasion—the fold loss of nAb titer against an immune-evading variant compared to the WT virus—and vaccine efficacy. Although mild disease is most impacted by immune evasion (Figure 5A), severe disease protection is also predicted to be eroded, especially for strongly immune-evading variants (Figure 5B). For example, a 7.5-fold loss of titer is expected to drop VEm to 50% at three months post-vaccination, while a 50.8-fold loss of titer would reduce the median VEs to 50% at three months.
Figure 5.
Protection from mild and severe disease at 3 months post-vaccination as a function of immune evasion. Percent protection from (A). mild disease and (B). severe disease. Immune evasion is expressed as the fold loss of vaccine serum titer against an immune-evading variant compared to WT pseudovirus.
3.7. ROC Curve Optimization of ECLIA RBD-Binding Assay to Identify Individuals with Loss of Vaccine Protection
This analysis suggests that nAb waning and potency loss due to immune evasion contribute to substantial losses of protection over time, both from mild and severe disease. This waning is compounded by poorly persistent vaccinal immunity in a significant proportion of the immunocompetent population. Frequent revaccination resulting in boosting of titers is a potential solution to waning immunity and potentially immune evasion. Our results suggest that the optimal revaccination frequency may vary among individuals based on nAb PK. As nAb titer must be assessed by a live viral or pseudoviral assay, it is challenging to evaluate in a healthcare setting. Fortunately, RBD-binding IgG titer, which is much more readily measured, is correlated to neutralizing titer (Figure 6A). We demonstrate that RBD-binding IgG titer is a strong predictor of nAb titer below the level required for 90% protection from mild disease. For example, an optimized RBD-binding IgG titer threshold can detect individuals with less than 90% protection from mild disease with 93% sensitivity and 88% specificity (Figure 6B). Thus, this more readily assessed metric could be used to identify patients with poor vaccinal protection who require early revaccination. Connelly et al. have described a point-of-care or at-home rapid test potentially suitable for frequent assessment of antibody titers [44]. Our work suggests appropriate thresholds for detection for such antibody tests.
Figure 6.
(A). Scatter plot demonstrating correlation between RBD-binding titer and neutralizing titer. The red horizontal line represents the threshold for 90% protection from WT mild disease. (B). ROC analysis on the dataset in panel A demonstrates that ECLIA RBD binding can predict whether vaccine protection is sufficient to provide 90% protection from WT mild disease. Red point represents example threshold achieving 93% sensitivity and 88% specificity.
4. Discussion
In this work, we have used a population PK/PD modeling approach to interrogate the impact of inter-individual heterogeneity on the degree and duration of vaccinal protection against both mild and severe disease. Our population model fit provided a good description of the data, as assessed by quality control metrics. The model showed broad heterogeneity in the degree and durability of nAb protection, with the 90% population interval (90% pi) for nAb half-life spanning 30–153 days, while the peak nAb level 90% pi spans 169–989 ID50.
The dataset used for this analysis was taken from a Moderna Phase 1 trial enrolling 34 participants, with immunocompromised status being an exclusion criterion for the trial. Thus, the broad heterogeneity observed is reflective of the diversity of outcomes that may be expected in the general population upon vaccination. Of particular concern, even though immunocompromised patients were specifically excluded from the underlying study, the outcomes for the 25th percentile of the population and below are poor. For example, omicron BA.1 VEm and VEs are both estimated to be less than 10% in this population at the six-month mark.
There are several limitations to our work, namely, the small size of the Moderna study may not reflect all segments of the population and limits the power of the covariate analyses. The study excludes immunocompromised individuals and, thus, our results reflect only the immunocompetent population. Our results point to significant variation in immune response within the immunocompetent population alone and are a lower bound for the overall level of variation in the population as a whole. The Moderna study only covers the first three months after vaccination, which limits our ability to predict long-term nAb kinetics, such as the possibility of biphasic decay. For this reason, we restricted our predictions to the first six months after vaccination and focused on variability in nAb kinetics during this timeframe. Further studies characterizing nAb kinetics in immunocompromised individuals would be valuable to guide their treatment and protection.
Additionally, the results of the ROC analysis likely depend on a match between the circulating variant and the variant used to assess neutralizing titer and RBD-binding titer. Previous studies have shown that immune evading variants reduce the neutralizing potency of post-vaccination sera and that the relationship between binding and neutralizing titer varies [45]. Thus, as new variants emerge and sweep to dominance, this analysis will require repetition with pseudoviruses matched to the novel variants, and the RBD-binding assay used to assess antibody titers will likely need to be updated to match circulating variants.
Another significant limitation of a testing-gated revaccination strategy is that it is reactive rather than proactive. In the context of rapid immune evasion and the emergence of immune-evading variants, a strategy that proactively identifies individuals with poor nAb kinetics is likely to lead to superior outcomes at the population level compared to the strategy proposed here. This topic merits further research. Nevertheless, the availability of at-home antibody tests with relevant thresholds for detection may improve the feasibility of our approach by permitting frequent at-home testing. Surveillance and test updates to address immune-evading variants would remain essential in this case. The effectiveness of this strategy could be assessed in a clinical setting by comparing SARS-CoV-2 infection rates between a population boosted on a standard (e.g., once or twice yearly) schedule and a population receiving antibody-testing-gated boosters, with tests occurring, for example, on a monthly basis.
In the early days of the pandemic, there was much optimism expressed about the potential of vaccines to permit a return to normalcy, both in the popular press [46,47] and among public health authorities [48,49,50]. Much of this optimism was based on the persistence of the T-cell response in vaccinated individuals [35,51,52]. While T cells remain durable even in the face of the newer immune-evading variants [35,53,54], this durability has not translated into lasting protection against infection or severe disease. At a mechanistic level, it is now known that T cells are in fact infected by SARS-CoV-2 [55] and they undergo frank apoptosis during viral infection [43,55,56]. See Supplementary Materials of our recent preprint for further details [57].
On the other hand, nAb titers have been demonstrated to predict risk of SARS-CoV-2 infection and disease severity [19,26,58]. To the extent that neutralizing antibodies are the primary correlate of immune protection against SARS-CoV-2, our work makes several crucial points for public-health strategy. First, repeat annual dosing (at a minimum) of a SARS-CoV-2 vaccine may be required to provide population-level protection against severe disease. At present, the consequences of such a boosting strategy have not been fully explored in clinical trials—our work suggests that this is an urgent unmet medical need and failure to keep providing boosters may lead to the loss of vaccinal protection against severe disease in the population. Understanding the impact of repeated boosting on nAb production as well as vaccinal side-effect profiles is crucial for enabling better use of the existing vaccines, which, at present, represent our only option for disease control.
Our work also points out a second unmet medical need, as many revaccination strategies may leave a significant portion of the immunocompetent population unprotected against severe disease. In the face of logistical constraints in vaccine production, a rational strategy would require a method to efficiently identify the subpopulation most in need of additional doses of vaccines. Our work further provides a basis for this prioritization. We have demonstrated an approach (based on previously published data [43]) that can be used to convert the ECLIA RBD-binding assay (which is commercially available and in broad use) into a personalized biomarker to identify individuals at increased risk. The optimal threshold from our decision analysis provided 93% sensitivity and 88% specificity for predicting 90% protection from mild disease. Such an analysis would best be repeated in a larger prospective study to optimize the threshold for relevant variants and other experimental systems.
We recognize that repeated boosting with mRNA vaccines may present tremendous logistical hurdles on a global basis. However, the first step in solving a problem is to acknowledge its existence. Our work delineates the reality of the current situation—the path that we have chosen for attempting to coexist with SARS-CoV-2 will require us to either keep boosting the population at regular and frequent intervals or risk losing vaccinal protection altogether. While manufacturing, tolerability, and compliance constraints may make this hard to achieve with the current vaccines, next-generation vaccines should be designed with this target product profile in mind. For example, room-temperature-stable, nasally administered vaccines based on low-cost technologies would make it easier for us to achieve the goal of widespread and repeated vaccinal coverage.
A recurrent failing of the public-health strategy over the past two years has been to start with overly optimistic assumptions about the course of the pandemic and to be slow to react to deviations from those assumptions. In fact, it was easy to predict that rapid viral immune evasion would be a problem [12] and it was easy to predict that the current vaccines alone would not bring the pandemic to an end [59]. At this point, our work suggests that we need to move quickly to bolster the protection provided by vaccines by exploring dose and schedule effects of existing vaccines thoroughly, as well as by deploying next-generation vaccines. A failure to anticipate and hedge against waning vaccinal efficacy against severe COVID-19 outcomes could have grave consequences.
Supplementary Materials
The following supporting information can be downloaded at: https://www.mdpi.com/article/10.3390/vaccines11040806/s1, Figure S1: Diagnostic plot assessing correlations between individual parameters and possible covariates; Figure S2: Probability distribution of individual parameter estimates and random effects for the nAb kinetics model; Figure S3: Goodness-of-fit analysis for nAb kinetics model residuals; Figure S4: Correlation between parameters in the nAb kinetics model; Figure S5: Probability distribution of half-lives for vaccine-induced IgG for individuals in the study population; Figure S6: VPC of IgG kinetics model fit with 90% prediction intervals; Table S1: Parameter values for fitted IgG kinetics model with standard errors (SE) and relative standard error (RSE); Table S2: AIC values for prospective model structures; Table S3: Comparison of model-predicted vaccine efficacy over time compared with clinical data.
Author Contributions
Conceptualization, M.S. and A.C.; methodology, M.S. and A.C.; software, L.Y. and M.S.; validation, L.Y. and M.S.; formal analysis, L.Y. and M.S.; investigation, L.Y. and M.S.; data curation, M.S., L.Y., S.S. and S.M.; writing—original draft preparation, M.S., L.Y. and A.C.; writing—review and editing, M.S., L.Y., S.S., S.M., R.P.N., D.B., G.H., N.S.H., L.F.W. and A.C.; visualization, L.Y. and M.S.; supervision, A.C. All authors have read and agreed to the published version of the manuscript.
Funding
This research received no external funding.
Institutional Review Board Statement
Not applicable.
Informed Consent Statement
Not applicable.
Data Availability Statement
Data are contained within the article and supplementary material.
Conflicts of Interest
M.S., L.Y. and A.C. are employees of Fractal Therapeutics, Inc. Fractal Therapeutics has no business interest in the topic of the article.
References
- Pfizer and BioNTech Conclude Phase 3 Study of COVID-19 Vaccine Candidate, Meeting All Primary Efficacy Endpoints. Available online: https://www.pfizer.com/news/press-release/press-release-detail/pfizer-and-biontech-conclude-phase-3-study-covid-19-vaccine (accessed on 30 July 2022).
- Baden, L.R.; El Sahly, H.M.; Essink, B.; Kotloff, K.; Frey, S.; Novak, R.; Diemert, D.; Spector, S.A.; Rouphael, N.; Creech, C.B.; et al. Efficacy and Safety of the mRNA-1273 SARS-CoV-2 Vaccine. N. Engl. J. Med. 2020, 384, 403–416. [Google Scholar] [CrossRef] [PubMed]
- Tenforde, M.W. Effectiveness of Pfizer-BioNTech and Moderna Vaccines Against COVID-19 Among Hospitalized Adults Aged ≥65 Years—United States, January–March 2021. MMWR Morb. Mortal Wkly. Rep. 2021, 70, 674–679. [Google Scholar] [CrossRef]
- Widge, A.T.; Rouphael, N.G.; Jackson, L.A.; Anderson, E.J.; Roberts, P.C.; Makhene, M.; Chappell, J.D.; Denison, M.R.; Stevens, L.J.; Pruijssers, A.J.; et al. Durability of Responses after SARS-CoV-2 mRNA-1273 Vaccination. N. Engl. J. Med. 2021, 384, 80–82. [Google Scholar] [CrossRef]
- Ibarrondo, F.J.; Hofmann, C.; Fulcher, J.A.; Goodman-Meza, D.; Mu, W.; Hausner, M.A.; Ali, A.; Balamurugan, A.; Taus, E.; Elliott, J.; et al. Primary, Recall, and Decay Kinetics of SARS-CoV-2 Vaccine Antibody Responses. ACS Nano 2021, 15, 11180–11191. [Google Scholar] [CrossRef] [PubMed]
- Levin, E.G.; Lustig, Y.; Cohen, C.; Fluss, R.; Indenbaum, V.; Amit, S.; Doolman, R.; Asraf, K.; Mendelson, E.; Ziv, A.; et al. Waning Immune Humoral Response to BNT162b2 COVID-19 Vaccine over 6 Months. N. Engl. J. Med. 2021, 385, e84. [Google Scholar] [CrossRef] [PubMed]
- Notarte, K.I.; Guerrero-Arguero, I.; Velasco, J.V.; Ver, A.T.; Santos de Oliveira, M.H.; Catahay, J.A.; Khan, M.S.R.; Pastrana, A.; Juszczyk, G.; Torrelles, J.B.; et al. Characterization of the significant decline in humoral immune response six months post-SARS-CoV-2 mRNA vaccination: A systematic review. J. Med. Virol. 2022, 94, 2939–2961. [Google Scholar] [CrossRef]
- Weisblum, Y.; Schmidt, F.; Zhang, F.; DaSilva, J.; Poston, D.; Lorenzi, J.C.; Muecksch, F.; Rutkowska, M.; Hoffmann, H.-H.; Michailidis, E.; et al. Escape from neutralizing antibodies by SARS-CoV-2 spike protein variants. eLife 2020, 9, e61312. [Google Scholar] [CrossRef]
- Li, Q.; Wu, J.; Nie, J.; Zhang, L.; Hao, H.; Liu, S.; Zhao, C.; Zhang, Q.; Liu, H.; Nie, L.; et al. The Impact of Mutations in SARS-CoV-2 Spike on Viral Infectivity and Antigenicity. Cell 2020, 182, 1284–1294.e9. [Google Scholar] [CrossRef]
- Greaney, A.J.; Loes, A.N.; Crawford, K.H.D.; Starr, T.N.; Malone, K.D.; Chu, H.Y.; Bloom, J.D. Comprehensive mapping of mutations in the SARS-CoV-2 receptor-binding domain that affect recognition by polyclonal human plasma antibodies. Cell Host Microbe 2021, 29, 463–476.e6. [Google Scholar] [CrossRef]
- Andreano, E.; Piccini, G.; Licastro, D.; Casalino, L.; Johnson, N.V.; Paciello, I.; Dal Monego, S.; Pantano, E.; Manganaro, N.; Manenti, A.; et al. SARS-CoV-2 escape from a highly neutralizing COVID-19 convalescent plasma. Proc. Natl. Acad. Sci. USA 2021, 118, e2103154118. [Google Scholar] [CrossRef]
- Egeren, D.V.; Novokhodko, A.; Stoddard, M.; Tran, U.; Zetter, B.; Rogers, M.; Pentelute, B.L.; Carlson, J.M.; Hixon, M.; Joseph-McCarthy, D.; et al. Risk of rapid evolutionary escape from biomedical interventions targeting SARS-CoV-2 spike protein. PLoS ONE 2021, 16, e0250780. [Google Scholar] [CrossRef]
- Cromer, D.; Juno, J.A.; Khoury, D.; Reynaldi, A.; Wheatley, A.K.; Kent, S.J.; Davenport, M.P. Prospects for durable immune control of SARS-CoV-2 and prevention of reinfection. Nat. Rev. Immunol. 2021, 21, 395–404. [Google Scholar] [CrossRef] [PubMed]
- Prunas, O.; Warren, J.L.; Crawford, F.W.; Gazit, S.; Patalon, T.; Weinberger, D.M.; Pitzer, V.E. Vaccination with BNT162b2 reduces transmission of SARS-CoV-2 to household contacts in Israel. Science 2022, 375, 1151–1154. [Google Scholar] [CrossRef]
- Tseng, H.F.; Ackerson, B.K.; Luo, Y.; Sy, L.S.; Talarico, C.A.; Tian, Y.; Bruxvoort, K.J.; Tubert, J.E.; Florea, A.; Ku, J.H.; et al. Effectiveness of mRNA-1273 against SARS-CoV-2 Omicron and Delta variants. Nat. Med. 2022, 28, 1063–1071. [Google Scholar] [CrossRef] [PubMed]
- Addetia, A.; Crawford, K.H.D.; Dingens, A.; Zhu, H.; Roychoudhury, P.; Huang, M.-L.; Jerome, K.R.; Bloom, J.D.; Greninger, A.L. Neutralizing Antibodies Correlate with Protection from SARS-CoV-2 in Humans during a Fishery Vessel Outbreak with a High Attack Rate. J. Clin. Microbiol. 2020, 58, e02107-20. [Google Scholar] [CrossRef] [PubMed]
- Maier, H.E.; Balmaseda, A.; Ojeda, S.; Cerpas, C.; Sanchez, N.; Plazaola, M.; van Bakel, H.; Kubale, J.; Lopez, R.; Saborio, S.; et al. An immune correlate of SARS-CoV-2 infection and severity of reinfections. medRxiv 2021. [Google Scholar] [CrossRef]
- Hashem, A.M.; Algaissi, A.; Almahboub, S.A.; Alfaleh, M.A.; Abujamel, T.S.; Alamri, S.S.; Alluhaybi, K.A.; Hobani, H.I.; AlHarbi, R.H.; Alsulaiman, R.M.; et al. Early Humoral Response Correlates with Disease Severity and Outcomes in COVID-19 Patients. Viruses 2020, 12, 1390. [Google Scholar] [CrossRef]
- Khoury, D.S.; Cromer, D.; Reynaldi, A.; Schlub, T.E.; Wheatley, A.K.; Juno, J.A.; Subbarao, K.; Kent, S.J.; Triccas, J.A.; Davenport, M.P. Neutralizing antibody levels are highly predictive of immune protection from symptomatic SARS-CoV-2 infection. Nat. Med. 2021, 27, 1205–1211. [Google Scholar] [CrossRef]
- Gilbert, P.B.; Montefiori, D.C.; McDermott, A.B.; Fong, Y.; Benkeser, D.; Deng, W.; Zhou, H.; Houchens, C.R.; Martins, K.; Jayashankar, L.; et al. Immune correlates analysis of the mRNA-1273 COVID-19 vaccine efficacy clinical trial. Science 2022, 375, 43–50. [Google Scholar] [CrossRef]
- Feng, S.; Phillips, D.J.; White, T.; Sayal, H.; Aley, P.K.; Bibi, S.; Dold, C.; Fuskova, M.; Gilbert, S.C.; Hirsch, I.; et al. Correlates of protection against symptomatic and asymptomatic SARS-CoV-2 infection. medRxiv 2021. [Google Scholar] [CrossRef]
- Cohen, J.A.; Stuart, R.M.; Rosenfeld, K.; Lyons, H.; White, M.; Kerr, C.C.; Klein, D.J.; Famulare, M. Quantifying the role of naturally- and vaccine-derived neutralizing antibodies as a correlate of protection against COVID-19 variants. medRxiv 2021. [Google Scholar] [CrossRef]
- Cele, S.; Jackson, L.; Khoury, D.S.; Khan, K.; Moyo-Gwete, T.; Tegally, H.; San, J.E.; Cromer, D.; Scheepers, C.; Amoako, D.G.; et al. Omicron extensively but incompletely escapes Pfizer BNT162b2 neutralization. Nature 2022, 602, 654–656. [Google Scholar] [CrossRef] [PubMed]
- Cromer, D.; Reynaldi, A.; Steain, M.; Triccas, J.A.; Davenport, M.P.; Khoury, D.S. Relating In Vitro Neutralization Level and Protection in the CVnCoV (CUREVAC) Trial. Clin. Infect. Dis. 2022, 75, e878–e879. [Google Scholar] [CrossRef]
- Koutsakos, M.; Lee, W.S.; Reynaldi, A.; Tan, H.-X.; Gare, G.; Kinsella, P.; Liew, K.C.; Taiaroa, G.; Williamson, D.A.; Kent, H.E.; et al. The magnitude and timing of recalled immunity after breakthrough infection is shaped by SARS-CoV-2 variants. Immunity 2022, 55, 1316–1326.e4. [Google Scholar] [CrossRef]
- Cromer, D.; Steain, M.; Reynaldi, A.; Schlub, T.E.; Wheatley, A.K.; Juno, J.A.; Kent, S.J.; Triccas, J.A.; Khoury, D.S.; Davenport, M.P. Neutralising antibody titres as predictors of protection against SARS-CoV-2 variants and the impact of boosting: A meta-analysis. Lancet Microbe 2022, 3, e52–e61. [Google Scholar] [CrossRef] [PubMed]
- Björk, J.; Bonander, C.; Moghaddassi, M.; Rasmussen, M.; Malmqvist, U.; Inghammar, M.; Kahn, F. COVID-19 vaccine effectiveness against severe disease from SARS-CoV-2 Omicron BA.1 and BA.2 subvariants—Surveillance results from southern Sweden, December 2021 to March 2022. Eurosurveillance 2022, 27, 2200322. [Google Scholar] [CrossRef] [PubMed]
- COVID-19 Vaccine Surveillance Report: Week 15. UK Health Security Agency. 2022. Available online: https://assets.publishing.service.gov.uk/government/uploads/system/uploads/attachment_data/file/1069256/Vaccine_surveillance_report_-_week_15.pdf (accessed on 30 July 2022).
- Wright, B.J.; Tideman, S.; Diaz, G.A.; French, T.; Parsons, G.T.; Robicsek, A. Comparative vaccine effectiveness against severe COVID-19 over time in US hospital administrative data: A case-control study. Lancet Respir. Med. 2022, 10, 557–565. [Google Scholar] [CrossRef]
- Suah, J.L.; Husin, M.; Tok, P.S.K.; Tng, B.H.; Thevananthan, T.; Low, E.V.; Appannan, M.R.; Muhamad Zin, F.; Mohd Zin, S.; Yahaya, H.; et al. Waning COVID-19 Vaccine Effectiveness for BNT162b2 and CoronaVac in Malaysia: An Observational Study. Int. J. Infect. Dis. 2022, 119, 69–76. [Google Scholar] [CrossRef]
- Reynolds, S. T Cells Protect against COVID-19 in Absence of Antibody Response. Available online: https://www.nih.gov/news-events/nih-research-matters/t-cells-protect-against-covid-19-absence-antibody-response (accessed on 31 July 2022).
- Leslie, M. T Cells Found in COVID-19 Patients ‘Bode Well’ for Long-term Immunity. Available online: https://www.science.org/content/article/t-cells-found-covid-19-patients-bode-well-long-term-immunity (accessed on 31 July 2022).
- Guo, L.; Wang, G.; Wang, Y.; Zhang, Q.; Ren, L.; Gu, X.; Huang, T.; Zhong, J.; Wang, Y.; Wang, X.; et al. SARS-CoV-2-specific antibody and T-cell responses 1 year after infection in people recovered from COVID-19: A longitudinal cohort study. Lancet Microbe 2022, 3, e348–e356. [Google Scholar] [CrossRef]
- Dan, J.M.; Mateus, J.; Kato, Y.; Hastie, K.M.; Yu, E.D.; Faliti, C.E.; Grifoni, A.; Ramirez, S.I.; Haupt, S.; Frazier, A.; et al. Immunological memory to SARS-CoV-2 assessed for up to 8 months after infection. Science 2021, 371, eabf4063. [Google Scholar] [CrossRef]
- Tarke, A.; Coelho, C.H.; Zhang, Z.; Dan, J.M.; Yu, E.D.; Methot, N.; Bloom, N.I.; Goodwin, B.; Phillips, E.; Mallal, S.; et al. SARS-CoV-2 vaccination induces immunological T cell memory able to cross-recognize variants from Alpha to Omicron. Cell 2022, 185, 847–859.e11. [Google Scholar] [CrossRef]
- Carrat, F.; Villarroel, P.M.S.; Lapidus, N.; Fourié, T.; Blanché, H.; Dorival, C.; Nicol, J.; Deleuze, J.-F.; Robineau, O.; Touvier, M.; et al. Heterogeneous SARS-CoV-2 humoral response after COVID-19 vaccination and/or infection in the general population. Sci. Rep. 2022, 12, 8622. [Google Scholar] [CrossRef]
- De la Monte, S.M.; Long, C.; Szczepanski, N.; Griffin, C.; Fitzgerald, A.; Chapin, K. Heterogeneous Longitudinal Antibody Responses to COVID-19 mRNA Vaccination. Clin. Pathol. 2021, 14, 2632010X211049255. [Google Scholar] [CrossRef] [PubMed]
- Collier, D.A.; Ferreira, I.A.T.M.; Kotagiri, P.; Datir, R.P.; Lim, E.Y.; Touizer, E.; Meng, B.; Abdullahi, A.; Elmer, A.; Kingston, N.; et al. Age-related immune response heterogeneity to SARS-CoV-2 vaccine BNT162b2. Nature 2021, 596, 417–422. [Google Scholar] [CrossRef] [PubMed]
- Bottino, D.; Hather, G.; Yuan, L.; Stoddard, M.; White, L.; Chakravarty, A. Using mixed-effects modeling to estimate decay kinetics of response to SARS-CoV-2 infection. Antib. Ther. 2021, 4, 144–148. [Google Scholar] [CrossRef]
- Anderson, E.J.; Rouphael, N.G.; Widge, A.T.; Jackson, L.A.; Roberts, P.C.; Makhene, M.; Chappell, J.D.; Denison, M.R.; Stevens, L.J.; Pruijssers, A.J.; et al. Safety and Immunogenicity of SARS-CoV-2 mRNA-1273 Vaccine in Older Adults. N. Engl. J. Med. 2020, 383, 2427–2438. [Google Scholar] [CrossRef] [PubMed]
- Jackson, L.A.; Anderson, E.J.; Rouphael, N.G.; Roberts, P.C.; Makhene, M.; Coler, R.N.; McCullough, M.P.; Chappell, J.D.; Denison, M.R.; Stevens, L.J.; et al. An mRNA Vaccine against SARS-CoV-2—Preliminary Report. N. Engl. J. Med. 2020, 383, 1920–1931. [Google Scholar] [CrossRef]
- Garcia-Beltran, W.F.; Denis, K.J.S.; Hoelzemer, A.; Lam, E.C.; Nitido, A.D.; Sheehan, M.L.; Berrios, C.; Ofoman, O.; Chang, C.C.; Hauser, B.M.; et al. mRNA-based COVID-19 vaccine boosters induce neutralizing immunity against SARS-CoV-2 Omicron variant. Cell 2022, 185, 457–466.e4. [Google Scholar] [CrossRef] [PubMed]
- Pegu, A.; O’Connell, S.E.; Schmidt, S.D.; O’Dell, S.; Talana, C.A.; Lai, L.; Albert, J.; Anderson, E.; Bennett, H.; Corbett, K.S.; et al. Durability of mRNA-1273 vaccine–induced antibodies against SARS-CoV-2 variants. Science 2021, 373, 1372–1377. [Google Scholar] [CrossRef]
- Connelly, G.G.; Kirkland, O.O.; Bohannon, S.; Lim, D.C.; Wilson, R.M.; Richards, E.J.; Tay, D.M.; Jee, H.; Hellinger, R.D.; Hoang, N.K.; et al. Direct capture of neutralized RBD enables rapid point-of-care assessment of SARS-CoV-2 neutralizing antibody titer. Cell Rep. Methods 2022, 2, 100273. [Google Scholar] [CrossRef]
- Mantus, G.; Nyhoff, L.E.; Edara, V.-V.; Zarnitsyna, V.I.; Ciric, C.R.; Flowers, M.W.; Norwood, C.; Ellis, M.; Hussaini, L.; Manning, K.E.; et al. Pre-existing SARS-CoV-2 immunity influences potency, breadth, and durability of the humoral response to SARS-CoV-2 vaccination. Cell Rep. Med. 2022, 3, 100603. [Google Scholar] [CrossRef] [PubMed]
- Stankiewicz, K. ‘We Could Effectively End This Pandemic in 2021’ with Pfizer and Moderna COVID Vaccines. Available online: https://www.cnbc.com/2020/11/16/dr-scott-gottlieb-moderna-covid-vaccine-could-help-end-pandemic-.html (accessed on 31 July 2022).
- Randall, T. When Will Life Return to Normal? In 7 Years at Today’s Vaccine Rates. 2021. Available online: https://www.bloomberg.com/news/articles/2021-02-04/when-will-covid-pandemic-end-near-me-vaccine-coverage-calculator (accessed on 31 July 2022).
- Moss, P. The T cell immune response against SARS-CoV-2. Nat. Immunol. 2022, 23, 186–193. [Google Scholar] [CrossRef]
- Harmon, G.E. Vaccination is Our Best Chance to End the Pandemic. Available online: https://www.ama-assn.org/about/leadership/vaccination-our-best-chance-end-pandemic (accessed on 31 July 2022).
- COVID Data Tracker Weekly Review: Our Shot to End the Pandemic. Available online: https://www.cdc.gov/coronavirus/2019-ncov/covid-data/covidview/past-reports/07232021.html (accessed on 1 August 2022).
- Painter, M.M.; Mathew, D.; Goel, R.R.; Apostolidis, S.A.; Pattekar, A.; Kuthuru, O.; Baxter, A.E.; Herati, R.S.; Oldridge, D.A.; Gouma, S.; et al. Rapid induction of antigen-specific CD4+ T cells is associated with coordinated humoral and cellular immunity to SARS-CoV-2 mRNA vaccination. Immunity 2021, 54, 2133–2142.e3. [Google Scholar] [CrossRef]
- Grifoni, A.; Weiskopf, D.; Ramirez, S.I.; Mateus, J.; Dan, J.M.; Moderbacher, C.R.; Rawlings, S.A.; Sutherland, A.; Premkumar, L.; Jadi, R.S.; et al. Targets of T Cell Responses to SARS-CoV-2 Coronavirus in Humans with COVID-19 Disease and Unexposed Individuals. Cell 2020, 181, 1489–1501.e15. [Google Scholar] [CrossRef] [PubMed]
- De Marco, L.; D’Orso, S.; Pirronello, M.; Verdiani, A.; Termine, A.; Fabrizio, C.; Capone, A.; Sabatini, A.; Guerrera, G.; Placido, R.; et al. Assessment of T-cell Reactivity to the SARS-CoV-2 Omicron Variant by Immunized Individuals. JAMA Netw. Open 2022, 5, e2210871. [Google Scholar] [CrossRef]
- Naranbhai, V.; Nathan, A.; Kaseke, C.; Berrios, C.; Khatri, A.; Choi, S.; Getz, M.A.; Tano-Menka, R.; Ofoman, O.; Gayton, A.; et al. T cell reactivity to the SARS-CoV-2 Omicron variant is preserved in most but not all individuals. Cell 2022, 185, 1041–1051.e6. [Google Scholar] [CrossRef]
- Shen, X.-R.; Geng, R.; Li, Q.; Chen, Y.; Li, S.-F.; Wang, Q.; Min, J.; Yang, Y.; Li, B.; Jiang, R.-D.; et al. ACE2-independent infection of T lymphocytes by SARS-CoV-2. Signal Transduct. Target. Ther. 2022, 7, 83. [Google Scholar] [CrossRef] [PubMed]
- André, S.; Picard, M.; Cezar, R.; Roux-Dalvai, F.; Alleaume-Butaux, A.; Soundaramourty, C.; Cruz, A.S.; Mendes-Frias, A.; Gotti, C.; Leclercq, M.; et al. T cell apoptosis characterizes severe Covid-19 disease. Cell Death Differ. 2022, 29, 1486–1499. [Google Scholar] [CrossRef] [PubMed]
- Stoddard, M.; Yuan, L.; Sarkar, S.; Egeren, D.V.; Mangalaganesh, S.; Nolan, R.P.; Rogers, M.S.; Hather, G.; White, L.F.; Chakravarty, A. The impact of vaccination frequency on COVID-19 public health outcomes: A model-based analysis. medRxiv 2023. [Google Scholar] [CrossRef]
- Sullivan, A.; Alfego, D.; Hu, P.; Gillim, L.; Grover, A.; Garcia, C.; Cohen, O.; Letovsky, S. Antibody titer levels and the effect on subsequent SARS-CoV-2 infection in a large US-based cohort. Heliyon 2023, 9, e13103. [Google Scholar] [CrossRef]
- Stoddard, M.; Sarkar, S.; Yuan, L.; Nolan, R.P.; White, D.E.; White, L.F.; Hochberg, N.S.; Chakravarty, A. Beyond the new normal: Assessing the feasibility of vaccine-based suppression of SARS-CoV-2. PLoS ONE 2021, 16, e0254734. [Google Scholar] [CrossRef] [PubMed]
Disclaimer/Publisher’s Note: The statements, opinions and data contained in all publications are solely those of the individual author(s) and contributor(s) and not of MDPI and/or the editor(s). MDPI and/or the editor(s) disclaim responsibility for any injury to people or property resulting from any ideas, methods, instructions or products referred to in the content. |
© 2023 by the authors. Licensee MDPI, Basel, Switzerland. This article is an open access article distributed under the terms and conditions of the Creative Commons Attribution (CC BY) license (https://creativecommons.org/licenses/by/4.0/).





