Efficient Oral Priming of Tenebrio molitor Larvae Using Heat-Inactivated Microorganisms
Abstract
1. Introduction
2. Materials and Methods
2.1. Insect Cultures
2.2. Culture of Microorganisms
2.3. Priming and Challenge
2.4. Survival Assay
2.5. Hemolymph Collection and Antimicrobial Activity
2.6. Statistical Analyses
3. Results
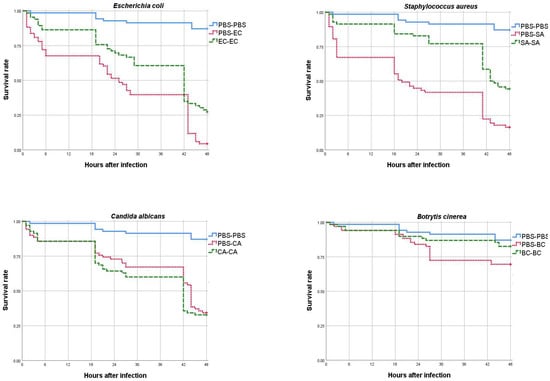
3.1. Survival Assay
3.2. Antimicrobial Activity
4. Discussion
5. Conclusions
Author Contributions
Funding
Institutional Review Board Statement
Informed Consent Statement
Data Availability Statement
Acknowledgments
Conflicts of Interest
References
- Keymanesh, K.; Soltani, S.; Sardari, S. Application of antimicrobial peptides in agriculture and food industry. World J. Microbiol. Biotechnol. 2009, 25, 933–944. [Google Scholar] [CrossRef]
- Huan, Y.; Kong, Q.; Mou, H.; Yi, H. Antimicrobial Peptides: Classification, Design, Application and Research Progress in Multiple Fields. Front. Microbiol. 2020, 11, 1159. [Google Scholar] [CrossRef] [PubMed]
- Barribeau, S.M.; Schmid-Hempel, P.; Sadd, B.M. Royal decree: Gene expression in trans-generationally immune primed bumblebee workers mimics a primary immune response. PLoS ONE 2016, 11, 0159635. [Google Scholar] [CrossRef] [PubMed]
- Yacoub, T.; Rima, M.; Karam, M.; Sabatier, J.-M.; Fajloun, Z. Antimicrobials from Venomous Animals: An Overview. Molecules 2020, 25, 2402. [Google Scholar] [CrossRef]
- Bulet, P.; Hetru, C.; Dimarcq, J.L.; Hoffmann, D. Antimicrobial peptides in insects; structure and function. Dev. Comp. Immunol. 1999, 23, 329–344. [Google Scholar] [CrossRef]
- Lei, J.; Sun, L.; Huang, S.; Zhu, C.; Li, P.; He, J.; Mackey, V.; Coy, D.H.; He, Q. The antimicrobial peptides and their potential clinical applications. Am. J. Transl. Res. 2019, 11, 3919–3931. [Google Scholar]
- Zare-Zardini, H.; Salehvarzi, M.; Ghanizadeh, F.; Sadri, Z.; Sheikhpour, R.; Bidoki, F.Z.; Shabani, F.; Kafrani, A.T. Antimicrobial Peptides of Innate Immune System as a Suitable Compound for Cancer Treatment and Reduction of its Related Infectious Disease. Iran. J. Pediatric Hematol. Oncol. 2018, 8, 62–70. [Google Scholar]
- Deslouches, B.; Di, Y.P. Antimicrobial peptides with selective antitumor mechanisms: Prospect for anticancer applications. Oncotarget 2017, 8, 46635–46651. [Google Scholar] [CrossRef]
- Hancock, R.E.W.; Brown, K.L.; Mookherjee, N. Host defence peptides from invertebrates-emerging antimicrobial strategies. Immunobiology 2006, 211, 315–322. [Google Scholar] [CrossRef]
- Yang, Y.T.; Lee, M.R.; Lee, S.J.; Kim, S.; Nai, Y.S.; Kim, J.S. Tenebrio molitor Gram-negative-binding protein 3 (TmGNBP3) is essential for inducing downstream antifungal Tenecin 1 gene expression against infection with Beauveria bassiana JEF-007. Insect Sci. 2018, 25, 969–977. [Google Scholar] [CrossRef]
- Qu, S.; Wang, S. Interaction of entomopathogenic fungi with the host immune system. Dev. Comp. Immunol. 2018, 83, 96–103. [Google Scholar] [CrossRef] [PubMed]
- De Gregorio, E.; Spellman, P.T.; Tzou, P.; Rubin, G.M.; Lemaitre, B. The Toll and Imd pathways are the major regulators of the immune response in Drosophila. EMBO J. 2002, 21, 2568–2579. [Google Scholar] [CrossRef] [PubMed]
- Keebaugh, E.S.; Schlenke, T.A. Insights from natural host-parasite interactions: The Drosophila model. Dev. Comp. Immunol. 2014, 42, 111–123. [Google Scholar] [CrossRef] [PubMed]
- Agaisse, H. An Adaptive Immune Response in Drosophila? Cell Host Microbe 2007, 1, 91–93. [Google Scholar] [CrossRef][Green Version]
- Tanji, T.; Hu, X.; Weber, A.N.R.; Ip, Y.T. Toll and IMD Pathways Synergistically Activate an Innate Immune Response in Drosophila melanogaster. Mol. Cell. Biol. 2007, 27, 4578–4588. [Google Scholar] [CrossRef]
- Schmid-Hempel, P. Natural insect host-parasite systems show immune priming and specificity: Puzzles to be solved. BioEssays 2005, 27, 1026–1034. [Google Scholar] [CrossRef]
- Feldhaar, H.; Gross, R. Immune reactions of insects on bacterial pathogens and mutualists. Microbes Infect. 2008, 10, 1082–1088. [Google Scholar] [CrossRef]
- Müller, U.; Vogel, P.; Alber, G.; Schaub, G. The innate immune system of mammals and insects. Contrib. Microbiol. 2008, 15, 21–44. [Google Scholar] [CrossRef]
- Hillyer, J.F. Insect immunology and hematopoiesis. Dev. Comp. Immunol. 2016, 58, 102–118. [Google Scholar] [CrossRef]
- Hauton, C.; Brockton, V.; Smith, V.J. Changes in immune gene expression and resistance to bacterial infection in lobster (Homarus gammarus) post-larval stage VI following acute or chronic exposure to immune stimulating compounds. Mol. Immunol. 2007, 44, 443–450. [Google Scholar] [CrossRef]
- Ali, A.; Abd El Halim, H.M. Re-thinking adaptive immunity in the beetles: Evolutionary and functional trajectories of lncRNAs. Genomics 2019, 112, 1425–1436. [Google Scholar] [CrossRef] [PubMed]
- Wang, L.; Qiu, L.; Zhou, Z.; Song, L. Research progress on the mollusc immunity in China. Dev. Comp. Immunol. 2013, 39, 2–10. [Google Scholar] [CrossRef]
- Allam, B.; Raftos, D. Immune responses to infectious diseases in bivalves. J. Invertebr. Pathol. 2015, 131, 121–136. [Google Scholar] [CrossRef] [PubMed]
- Cooper, D.; Eleftherianos, I. Memory and specificity in the insect immune system: Current perspectives and future challenges. Front. Immunol. 2017, 8, 539. [Google Scholar] [CrossRef]
- Medina-Gómez, H.; Farriols, M.; Santos, F.; González-Hernández, A.; Torres-Guzmán, J.C.; Lanz, H.; Contreras-Garduño, J. Pathogen-produced catalase affects immune priming: A potential pathogen strategy. Microb. Pathog. 2018, 125, 93–95. [Google Scholar] [CrossRef] [PubMed]
- Bouallegui, Y. Immunity in mussels: An overview of molecular components and mechanisms with a focus on the functional defenses. Fish Shellfish Immunol. 2019, 89, 158–169. [Google Scholar] [CrossRef] [PubMed]
- Milutinović, B.; Kurtz, J. Immune memory in invertebrates. Semin. Immunol. 2016, 28, 328–342. [Google Scholar] [CrossRef]
- Tetreau, G.; Dhinaut, J.; Gourbal, B.; Moret, Y. Trans-generational immune priming in invertebrates: Current knowledge and future prospects. Front. Immunol. 2019, 10, 1938. [Google Scholar] [CrossRef]
- Dubuffet, A.; Zanchi, C.; Boutet, G.; Moreau, J.; Teixeira, M.; Moret, Y. Trans-generational Immune Priming Protects the Eggs Only against Gram-Positive Bacteria in the Mealworm Beetle. PLoS Pathog. 2015, 11, e1005178. [Google Scholar] [CrossRef]
- Vilcinskas, A. Mechanisms of transgenerational immune priming in insects. Dev. Comp. Immunol. 2021, 124, 104205. [Google Scholar] [CrossRef]
- de Souza, P.C.; Morey, A.T.; Castanheira, G.M.; Bocate, K.P.; Panagio, L.A.; Ito, F.A.; Furlaneto, M.C.; Yamada-Ogatta, S.F.; Costa, I.N.; Mora-Montes, H.M.; et al. Tenebrio molitor (Coleoptera: Tenebrionidae) as an alternative host to study fungal infections. J. Microbiol. Methods 2015, 118, 182–186. [Google Scholar] [CrossRef] [PubMed]
- Wojda, I. Immunity of the greater wax moth Galleria mellonella. Insect Sci. 2016, 24, 342–357. [Google Scholar] [CrossRef] [PubMed]
- Vertyporokh, L.; Kordaczuk, J.; Mak, P.; Hułas-Stasiak, M.; Wojda, I. Host-pathogen interactions upon the first and subsequent infection of Galleria mellonella with Candida albicans. J. Insect Physiol. 2019, 117, 1–17. [Google Scholar] [CrossRef] [PubMed]
- Oppert, B.; Dowd, S.E.; Bouffard, P.; Li, L.; Conesa, A.; Lorenzen, M.D.; Toutges, M.; Marshall, J.; Huestis, D.L.; Fabrick, J.; et al. Transcriptome Profiling of the Intoxication Response of Tenebrio molitor Larvae to Bacillus thuringiensis Cry3Aa Protoxin. PLoS ONE 2012, 7, e34624. [Google Scholar] [CrossRef]
- Yi, Y.; Xu, H.; Li, M.; Wu, G. RNA-seq profiles of putative genes involved in specific immune priming in Bombyx mori haemocytes. Infect. Genet. Evol. 2019, 74, 103921. [Google Scholar] [CrossRef] [PubMed]
- Vargas, V.; Moreno-García, M.; Duarte-Elguea, E.; Lanz-Mendoza, H. Limited specificity in the injury and infection priming against bacteria in Aedes aegypti mosquitoes. Front. Microbiol. 2016, 7, 795. [Google Scholar] [CrossRef]
- Jacobs, C.G.C.; Gallagher, J.D.; Evison, S.E.F.; Heckel, D.G.; Vilcinskas, A.; Vogel, H. Endogenous egg immune defenses in the yellow mealworm beetle (Tenebrio molitor). Dev. Comp. Immunol. 2017, 70, 1–8. [Google Scholar] [CrossRef] [PubMed]
- Manfredini, F.; Beani, L.; Taormina, M.; Vannini, L. Parasitic infection protects wasp larvae against a bacterial challenge. Microbes Infect. 2010, 12, 727–735. [Google Scholar] [CrossRef]
- Contreras-Garduño, J.; Rodríguez, M.C.; Hernández-Martínez, S.; Martínez-Barnetche, J.; Alvarado-Delgado, A.; Izquierdo, J.; Herrera-Ortiz, A.; Moreno-García, M.; Velazquez-Meza, M.E.; Valverde, V.; et al. Plasmodium berghei induced priming in Anopheles albimanus independently of bacterial co-infection. Dev. Comp. Immunol. 2015, 52, 172–181. [Google Scholar] [CrossRef]
- Moreno-García, M.; Vargas, V.; Ramírez-Bello, I.; Hernández-Martínez, G.; Lanz-Mendoza, H. Bacterial exposure at the larval stage induced sexual immune dimorphism and priming in adult Aedes aegypti mosquitoes. PLoS ONE 2015, 10, e0133240. [Google Scholar] [CrossRef]
- Wu, G.; Xu, L.; Yi, Y. Galleria mellonella larvae are capable of sensing the extent of priming agent and mounting proportionatal cellular and humoral immune responses. Immunol. Lett. 2016, 174, 45–52. [Google Scholar] [CrossRef] [PubMed]
- Lin, Y.C.; Chen, J.C.; Morni, W.Z.W.; Putra, D.F.; Huang, C.L.; Li, C.C.; Hsieh, J.F. Vaccination Enhances Early Immune Responses in White Shrimp Litopenaeus vannamei after Secondary Exposure to Vibrio alginolyticus. PLoS ONE 2013, 8, e69722. [Google Scholar] [CrossRef] [PubMed]
- Moret, Y.; Schmid-Hempel, P. Survival for Immunity: The Price of Immune System Activation for Bumblebee Workers. Science 2000, 290, 1166–1168. [Google Scholar] [CrossRef] [PubMed]
- Wu, G.; Yi, Y.; Lv, Y.; Li, M.; Wang, J.; Qiu, L. The lipopolysaccharide (LPS) of Photorhabdus luminescens TT01 can elicit dose- and time-dependent immune priming in Galleria mellonella larvae. J. Invertebr. Pathol. 2015, 127, 63–72. [Google Scholar] [CrossRef] [PubMed]
- Basset, A.; Khush, R.S.; Braun, A.; Gardan, L.; Boccard, F.; Hoffmann, J.A.; Lemaitre, B. The phytopathogenic bacteria Erwinia carotovora infects Drosophila and activates an immune response. Proc. Natl. Acad. Sci. USA 2000, 97, 3376–3381. [Google Scholar] [CrossRef] [PubMed]
- Taszłow, P.; Vertyporokh, L.; Wojda, I. Humoral immune response of Galleria mellonella after repeated infection with Bacillus thuringiensis. J. Invertebr. Pathol. 2017, 149, 87–96. [Google Scholar] [CrossRef] [PubMed]
- Vertyporokh, L.; Wojda, I. Immune response of Galleria mellonella after injection with non-lethal and lethal dosages of Candida albicans. J. Invertebr. Pathol. 2020, 170, 107327. [Google Scholar] [CrossRef]
- Milutinović, B.; Fritzlar, S.; Kurtz, J. Increased survival in the red flour beetle after oral priming with bacteria-conditioned media. J. Innate Immun. 2014, 6, 306–314. [Google Scholar] [CrossRef]
- Miyashita, A.; Takahashi, S.; Ishii, K.; Sekimizu, K.; Kaito, C. Primed immune responses triggered by ingested bacteria lead to systemic infection tolerance in silkworms. PLoS ONE 2015, 10, e0130486. [Google Scholar] [CrossRef]
- Mikonranta, L.; Dickel, F.; Mappes, J.; Freitak, D. Lepidopteran species have a variety of defence strategies against bacterial infections. J. Invertebr. Pathol. 2017, 144, 88–96. [Google Scholar] [CrossRef][Green Version]
- Bordoni, A.; Dapporto, L.; Tatini, I.; Celli, M.; Bercigli, M.; Barrufet, S.R.; Perito, B.; Turillazzi, S. Trans-generational immunization in the acrobat ant Crematogaster scutellaris. Biol. Lett. 2018, 14, 20170761. [Google Scholar] [CrossRef] [PubMed]
- Milutinović, B.; Peuß, R.; Ferro, K.; Kurtz, J. Immune priming in arthropods: An update focusing on the red flour beetle. Zoology 2016, 119, 254–261. [Google Scholar] [CrossRef] [PubMed]
- Browne, N.; Surlis, C.; Kavanagh, K. Thermal and physical stresses induce a short-term immune priming effect in Galleria mellonella larvae. J. Insect Physiol. 2014, 63, 21–26. [Google Scholar] [CrossRef]
- Severo, M.S.; Levashina, E.A. Mosquito defenses against Plasmodium parasites. Curr. Opin. Insect Sci. 2014, 3, 30–36. [Google Scholar] [CrossRef] [PubMed]
- Freitak, D.; Wheat, C.W.; Heckel, D.G.; Vogel, H. Immune system responses and fitness costs associated with consumption of bacteria in larvae of Trichoplusia ni. BMC Biol. 2007, 5, 56. [Google Scholar] [CrossRef]
- García-Machado, F.J.; García-García, A.L.; Borges, A.A.; Jiménez-Arias, D. Root treatment with a Vitamin K3 derivative: A promising alternative to synthetic fungicides against Botrytis cinerea in tomato plants. Pest Manag. Sci. 2021, 78, 974–981. [Google Scholar] [CrossRef]
- Tabunoki, H.; Dittmer, N.T.; Gorman, M.J.; Kanost, M.R. Development of a new method for collecting hemolymph and measuring phenoloxidase activity in Tribolium castaneum. BMC Res. Notes 2019, 12, 7. [Google Scholar] [CrossRef]
- Moret, Y.; Siva-Jothy, M.T. Adaptive innate immunity? Responsive-mode prophylaxis in the mealworm beetle, Tenebrio molitor. Proc. R. Soc. B Biol. Sci. 2003, 270, 2475–2480. [Google Scholar] [CrossRef]
- Wang, L.; Song, X.; Song, L. The oyster immunity. Dev. Comp. Immunol. 2018, 80, 99–118. [Google Scholar] [CrossRef]
- Pham, L.N.; Dionne, M.S.; Shirasu-Hiza, M.; Schneider, D.S. A Specific Primed Immune Response in Drosophila Is Dependent on Phagocytes. PLoS Pathog. 2007, 3, e26. [Google Scholar] [CrossRef]
- Greenwood, J.M.; Milutinović, B.; Peuß, R.; Behrens, S.; Esser, D.; Rosenstiel, P.; Schulenburg, H.; Kurtz, J. Oral immune priming with Bacillus thuringiensis induces a shift in the gene expression of Tribolium castaneum larvae. BMC Genom. 2017, 18, 329. [Google Scholar] [CrossRef]
- Pernice, M.; Simpson, S.J.; Ponton, F. Towards an integrated understanding of gut microbiota using insects as model systems. J. Insect Physiol. 2014, 69, 12–18. [Google Scholar] [CrossRef]
- Jung, J.; Heo, A.; Woo Park, Y.; Ji Kim, Y.; Koh, H.; Park, W. Gut microbiota of tenebrio molitor and their response to environmental change. J. Microbiol. Biotechnol. 2014, 24, 888–897. [Google Scholar] [CrossRef] [PubMed]
- Pinaud, S.; Portet, A.; Allienne, J.F.; Belmudes, L.; Saint-Beat, C.; Arancibia, N.; Galinier, R.; Du Pasquier, L.; Duval, D.; Gourbal, B. Molecular characterisation of immunological memory following homologous or heterologous challenges in the schistosomiasis vector snail, Biomphalaria glabrata. Dev. Comp. Immunol. 2019, 92, 238–252. [Google Scholar] [CrossRef] [PubMed]
- Gillespie, J.P.; Bailey, A.M.; Cobb, B.; Vilcinskas, A. Fungi as elicitors of insect immune responses. Arch. Insect Biochem. Physiol. 2000, 44, 49–68. [Google Scholar] [CrossRef]
- Jo, Y.H.; Park, S.; Park, K.B.; Noh, M.Y.; Cho, J.H.; Ko, H.J.; Kim, C.E.; Patnaik, B.B.; Kim, J.; Bang, I.S.; et al. In silico identification, characterization and expression analysis of attacin gene family in response to bacterial and fungal pathogens in Tenebrio molitor. Entomol. Res. 2018, 48, 48–54. [Google Scholar] [CrossRef]
- Lee, K.H.; Hong, S.Y.; Oh, J.E. Synthesis and structure-function study about tenecin 1, an antibacterial protein from larvae of Tenebrio molitor. FEBS Lett. 1998, 439, 41–45. [Google Scholar] [CrossRef]
- Maistrou, S.; Paris, V.; Jensen, A.B.; Rolff, J.; Meyling, N.V.; Zanchi, C. A constitutively expressed antifungal peptide protects Tenebrio molitor during a natural infection by the entomopathogenic fungus Beauveria bassiana. Dev. Comp. Immunol. 2018, 86, 26–33. [Google Scholar] [CrossRef]
- Patrnogic, J.; Castillo, J.C.; Shokal, U.; Yadav, S.; Kenney, E.; Heryanto, C.; Ozakman, Y.; Eleftherianos, I. Pre-exposure to non-pathogenic bacteria does not protect Drosophila against the entomopathogenic bacterium Photorhabdus. PLoS ONE 2018, 13, e0205256. [Google Scholar] [CrossRef]
- Kim, D.H.; Lee, D.G.; Kim, K.L.; Lee, Y. Internalization of tenecin 3 by a fungal cellular process is essential for its fungicidal effect on Candida albicans. Eur. J. Biochem. 2001, 268, 4449–4458. [Google Scholar] [CrossRef]

| Group | Name | Priming | Challenge | N |
|---|---|---|---|---|
| 1 | Control | PBS | PBS | 70 |
| 2 | PBS-EC | PBS | E. coli | 68 |
| 3 | EC-EC | E. coli | E. coli | 66 |
| 4 | PBS-SA | PBS | S. aureus | 67 |
| 5 | SA-SA | S. aureus | S. aureus | 70 |
| 6 | PBS-CA | PBS | C. albicans | 70 |
| 7 | CA-CA | C. albicans | C. albicans | 70 |
| 8 | PBS-BC | PBS | B. cinerea | 69 |
| 9 | BC-BC | B. cinerea | B. cinerea | 69 |
| Name | Mean (Hours) | Median (Hours) | Priming | Challenge |
|---|---|---|---|---|
| PBS-PBS | 45.2 ± 1.04 | - | - | - |
| PBS-EC | 25.0 ± 2.12 | 25.0 ± 2.06 | 0.004 | <0.001 |
| EC-EC | 33.8 ± 1.94 | 42.0 ± 2.96 | ||
| PBS-SA | 24.2 ± 2.25 | 20.0 ± 2.92 | <0.001 | <0.001 |
| SA-SA | 38.5 ± 1.69 | 43.0 ± 2.51 | ||
| PBS-CA | 35.1 ± 1.97 | 44.0 ± 0.68 | 0.518 | <0.001 |
| CA-CA | 32.9 ± 1.96 | 42.0 ± 3.54 | ||
| PBS-BC | 40.0 ± 1.64 | - | 0.086 | 0.016 |
| BC-BC | 43.4 ± 1.45 | - |
| Sample | Escherichia coli | Staphylococcus aureus | Candida albicans | Botrytis cinerea | Salmonella enterica |
|---|---|---|---|---|---|
| PBS-PBS | −/−/− | +/+/+ | −/−/− | −/−/− | −/−/− |
| PBS-EC | −/−/− | P/P/+ | −/−/− | −/−/− | −/−/− |
| EC-EC | P/+/P | +/+/+ | −/−/− | −/−/− | P/P/P |
| PBS-SA | −/−/− | P/P/P | −/−/− | −/−/− | P/P/P |
| SA-SA | −/−/− | P/P/P | −/−/− | −/−/− | P/P/P |
| PBS-CA | −/−/− | P/P/P | −/−/− | −/−/− | −/−/− |
| CA-CA | −/−/− | P/+/P | −/−/− | −/−/− | −/−/− |
| PBS-BC | −/−/− | +/+/+ | −/−/− | −/−/− | −/−/− |
| BC-BC | −/−/− | P/+/+ | −/−/− | −/−/− | −/−/− |
Publisher’s Note: MDPI stays neutral with regard to jurisdictional claims in published maps and institutional affiliations. |
© 2022 by the authors. Licensee MDPI, Basel, Switzerland. This article is an open access article distributed under the terms and conditions of the Creative Commons Attribution (CC BY) license (https://creativecommons.org/licenses/by/4.0/).
Share and Cite
González-Acosta, S.; Baca-González, V.; Asensio-Calavia, P.; Otazo-Pérez, A.; López, M.R.; Morales-delaNuez, A.; Pérez de la Lastra, J.M. Efficient Oral Priming of Tenebrio molitor Larvae Using Heat-Inactivated Microorganisms. Vaccines 2022, 10, 1296. https://doi.org/10.3390/vaccines10081296
González-Acosta S, Baca-González V, Asensio-Calavia P, Otazo-Pérez A, López MR, Morales-delaNuez A, Pérez de la Lastra JM. Efficient Oral Priming of Tenebrio molitor Larvae Using Heat-Inactivated Microorganisms. Vaccines. 2022; 10(8):1296. https://doi.org/10.3390/vaccines10081296
Chicago/Turabian StyleGonzález-Acosta, Sergio, Victoria Baca-González, Patricia Asensio-Calavia, Andrea Otazo-Pérez, Manuel R. López, Antonio Morales-delaNuez, and José Manuel Pérez de la Lastra. 2022. "Efficient Oral Priming of Tenebrio molitor Larvae Using Heat-Inactivated Microorganisms" Vaccines 10, no. 8: 1296. https://doi.org/10.3390/vaccines10081296
APA StyleGonzález-Acosta, S., Baca-González, V., Asensio-Calavia, P., Otazo-Pérez, A., López, M. R., Morales-delaNuez, A., & Pérez de la Lastra, J. M. (2022). Efficient Oral Priming of Tenebrio molitor Larvae Using Heat-Inactivated Microorganisms. Vaccines, 10(8), 1296. https://doi.org/10.3390/vaccines10081296

