Natural History of Sudan ebolavirus to Support Medical Countermeasure Development
Abstract
:1. Introduction
2. Materials and Methods
2.1. Ethics Statement
2.2. Animals
2.3. Surgical Procedures
2.4. Randomization
2.5. Body Temperature
2.6. Telemetry Data Collection and Analysis
2.6.1. DSI PhysioTel Digital M00 Series
2.6.2. Star Oddi DST Micro-T Transmitters
2.7. Challenge Material
2.8. Challenge
2.9. Blood Collection and Processing
2.10. Bioanalytical Testing
2.11. Determination of Infectious Viral Load by Plaque Assay
2.12. Determination of Molecular Viral Load by qRT-PCR
2.13. Next Generation Sequencing
2.14. Bioinformatics Analysis
2.15. Clinical Pathology
2.15.1. Biochemical Analyses
2.15.2. Hematology
2.15.3. Coagulation
2.16. Clinical Observations
2.17. Euthanasia
2.18. Pathology
2.18.1. Necropsy & Gross Pathology
2.18.2. Tissue Collection, Organ Weights, and Preservation
2.18.3. Histopathology
2.19. Quality System
2.20. Statistical Analysis
3. Results
3.1. Mortality
3.2. Clinical Scores, Body Temperature, and Weight
3.2.1. Clinical Scores
3.2.2. Body Temperature
3.2.3. Temperature Assessment by Star Oddi DST Micro-T Transmitters
3.2.4. Weight
3.3. Clinical Pathology
3.3.1. Clinical Chemistry
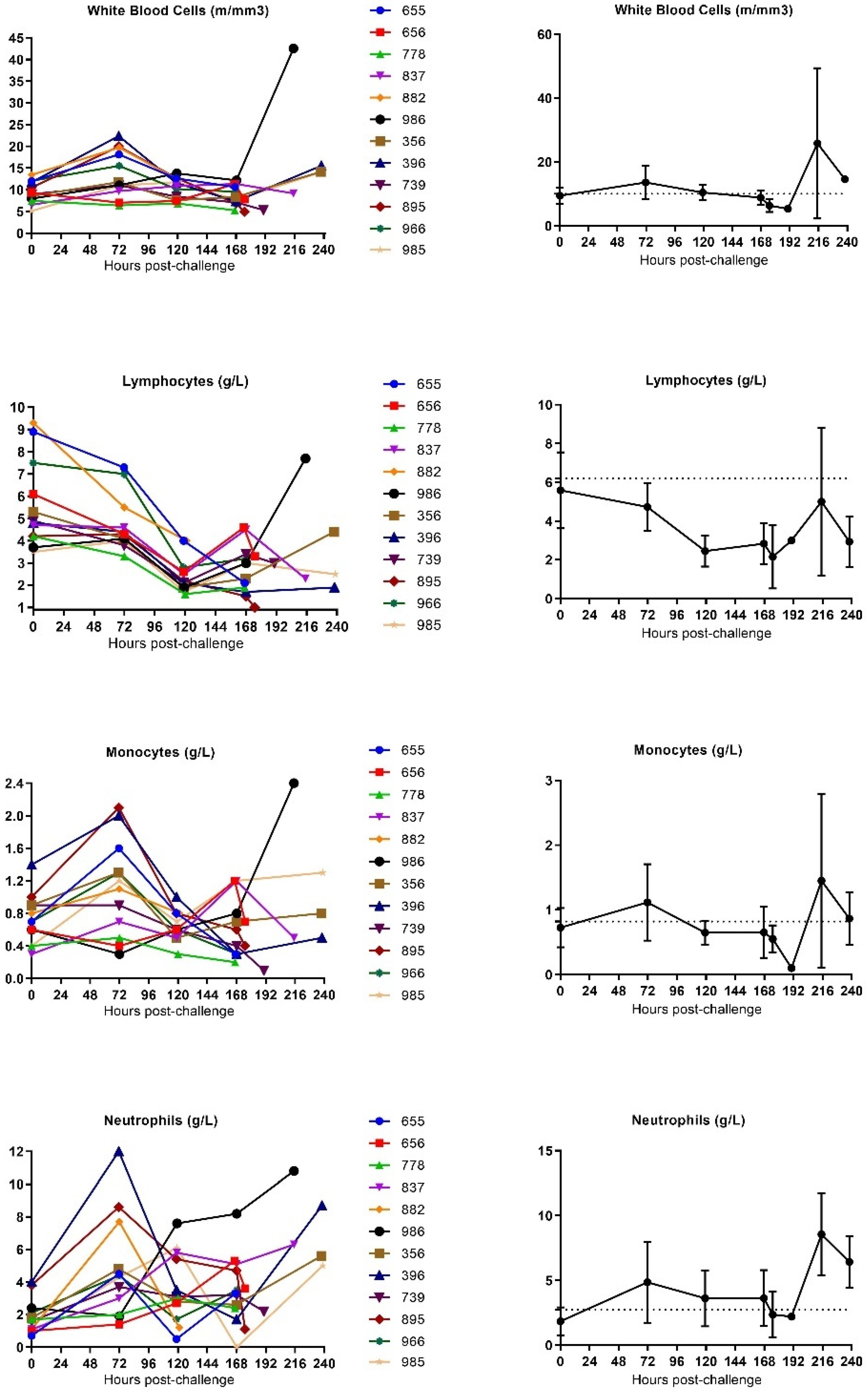
3.3.2. Hematology
3.3.3. Coagulation
3.4. Viral Load
3.4.1. qRT-PCR Detection of Plasmatic Viral RNA
3.4.2. Next-Generation Sequencing
3.5. Pathology
3.5.1. Necropsy and Gross Pathology
3.5.2. Histopathology
3.6. Daily Summary of Disease
4. Discussion
5. Conclusions
Supplementary Materials
Author Contributions
Funding
Institutional Review Board Statement
Informed Consent Statement
Acknowledgments
Conflicts of Interest
Disclaimers
Appendix A
References
- Forbes, K.M.; Webala, P.W.; Jääskeläinen, A.J.; Abdurahman, S.; Ogola, J.; Masika, M.M.; Kivistö, I.; Alburkat, H.; Plyusnin, I.; Levanov, L.; et al. Bombali Virus in Mops condylurus Bat, Kenya. Emerg. Infect. Dis. 2019, 25, 955–957. [Google Scholar] [CrossRef] [PubMed] [Green Version]
- Goldstein, T.; Anthony, S.J.; Gbakima, A.; Bird, B.H.; Bangura, J.; Tremeau-Bravard, A.; Belaganahalli, M.N.; Wells, H.L.; Dhanota, J.K.; Liang, E.; et al. The discovery of Bombali virus adds further support for bats as hosts of ebolaviruses. Nat. Microbiol. 2018, 3, 1084–1089. [Google Scholar] [CrossRef]
- Patel, P.R.; Shah, S. Ebola Virus. In StatPearls; StatPearls Publishing: Treasure Island, FL, USA, 2022. Available online: https://www.ncbi.nlm.nih.gov/books/NBK560579 (accessed on 2 May 2022).
- Lefebvre, A.; Fiet, C.; Belpois-Duchamp, C.; Tiv, M.; Astruc, K.; Glélé, L.A. Case fatality rates of Ebola virus diseases: A meta-analysis of World Health Organization data. Med. Mal. Infect. 2014, 44, 412–416. [Google Scholar] [CrossRef]
- Zawilińska, B.; Kosz-Vnenchak, M. General introduction into the Ebola virus biology and disease. Folia Med. Cracov. 2014, 54, 57–65. [Google Scholar] [PubMed]
- Cox, N.J.; McCormick, J.B.; Johnson, K.M.; Kiley, M.P. Evidence for two subtypes of Ebola virus based on oligonucleotide mapping of RNA. J. Infect. Dis. 1983, 147, 272–275. [Google Scholar] [CrossRef]
- Choi, M.J.; Cossaboom, C.M.; Whitesell, A.N.; Dyal, J.W.; Joyce, A.; Morgan, R.L.; Campos-Outcalt, D.; Person, M.; Ervin, E.; Yu, Y.C.; et al. Use of Ebola Vaccine: Recommendations of the Advisory Committee on Immunization Practices, United States, 2020. MMWR Recomm. Rep. 2021, 70, 1–12. [Google Scholar] [CrossRef]
- Woolsey, C.; Geisbert, T.W. Current state of Ebola virus vaccines: A snapshot. PLoS Pathog. 2021, 17, e1010078. [Google Scholar] [CrossRef]
- Beasley, D.W.C.; Brasel, T.L.; Comer, J.E. First vaccine approval under the FDA Animal Rule. NPJ Vaccines 2016, 1, 16013. [Google Scholar] [CrossRef]
- Food and Drug Administration. Product Development under the Animal Rule: Guidance for Industry. 2015. Available online: http://www.fda.gov/downloads/Drugs/GuidanceComplianceRegulatoryInformation/Guidances/UCM399217.pdf (accessed on 23 December 2021).
- Henao-Restrepo, A.M.; Camacho, A.; Longini, I.M.; Watson, C.H.; Edmunds, W.J.; Egger, M.; Carroll, M.W.; Dean, N.E.; Diatta, I.; Doumbia, M.; et al. Efficacy and effectiveness of an rVSV-vectored vaccine in preventing Ebola virus disease: Final results from the Guinea ring vaccination, open label, cluster-randomized trial (Ebola Ca Suffit!). Lancet 2017, 389, 505–518. [Google Scholar] [CrossRef] [Green Version]
- Wolf, J.; Jannat, R.; Dubey, S.; Troth, S.; Onorato, M.; Coller, B.A.; Hanson, M.; Simon, J. Development of Pandemic Vaccines: ERVEBO Case Study. Vaccines 2021, 9, 190. [Google Scholar] [CrossRef]
- Marzi, A.; Robertson, S.J.; Haddock, E.; Feldmann, F.; Hanley, P.W.; Scott, D.P.; Strong, J.E.; Kobinger, G.P.; Best, S.M.; Feldmann, H. VSV-EBOV rapidly protects macaques against infection with the 2014/15 Ebola virus outbreak strain. Science 2015, 349, 739–742. [Google Scholar] [CrossRef] [Green Version]
- Thi, E.P.; Lee, A.C.H.; Geisbert, J.B.; Ursic-Bedoya, R.; Agans, K.N.; Robbins, M.; Deer, D.J.; Fenton, K.A.; Kondratowicz, A.S.; MacLachlan, I.; et al. Rescue of non-human primates from advanced Sudan ebolavirus infection with lipid encapsulated siRNA. Nat. Microbiol. 2016, 1, 16142. [Google Scholar] [CrossRef] [PubMed] [Green Version]
- Lehrer, A.T.; Chuang, E.; Namekar, M.; Williams, C.A.; Wong, T.A.S.; Lieberman, M.M.; Granados, A.; Misamore, J.; Yalley-Ogunro, J.; Andersen, H.; et al. Recombinant Protein Filovirus Vaccines Protect Cynomolgus Macaques From Ebola, Sudan, and Marburg Viruses. Front. Immunol. 2021, 12, 703986. [Google Scholar] [CrossRef]
- Zumbrun, E.; Bloomfield, H.A.; Dye, J.M.; Hunter, T.C.; Dabisch, P.A.; Garza, N.L.; Bramel, N.R.; Baker, R.J.; Williams, R.D.; Nichols, D.K.; et al. A characterization of aerosolized Sudan virus infection in African green monkeys, cynomolgus macaques, and rhesus macaques. Viruses 2012, 4, 2115–2136. [Google Scholar] [CrossRef] [PubMed]
- Callendret, B.; Vellinga, J.; Wunderlich, K.; Rodriguez, A.; Steigerwald, R.; Dirmeier, U.; Cheminay, C.; Volkmann, A.; Brasel, T.; Carrion, R.; et al. A prophylactic multivalent vaccine against different filovirus species is immunogenic and provides protection from lethal infections with Ebolavirus and Marburgvirus species in non-human primates. PLoS ONE 2018, 13, e0192312, Erratum in PLoS ONE 2018, 13, e0196546. [Google Scholar] [CrossRef] [Green Version]
- Geisbert, T.W.; Geisbert, J.B.; Leung, A.; Daddario-DiCaprio, K.M.; Hensley, L.E.; Grolla, A.; Feldmann, H. Single-injection vaccine protects nonhuman primates against infection with marburg virus and three species of ebola virus. J. Virol. 2009, 83, 7296–7304. [Google Scholar] [CrossRef] [Green Version]
- Warfield, K.L.; Dye, J.M.; Wells, J.B.; Unfer, R.C.; Holtsberg, F.W.; Shulenin, S.; Vu, H.; Swenson, D.L.; Bavari, S.; Aman, M.J. Homologous and heterologous protection of nonhuman primates by Ebola and Sudan virus-like particles. PLoS ONE 2015, 10, e0118881. [Google Scholar] [CrossRef]
- Herbert, A.S.; Kuehne, A.I.; Barth, J.F.; Ortiz, R.A.; Nichols, D.K.; Zak, S.E.; Stonier, S.W.; Muhammad, M.A.; Bakken, R.R.; Prugar, L.I.; et al. Venezuelan equine encephalitis virus replicon particle vaccine protects nonhuman primates from intramuscular and aerosol challenge with ebolavirus. J. Virol. 2013, 87, 4952–4964. [Google Scholar] [CrossRef] [Green Version]
- Woolsey, C.; Fears, A.C.; Borisevich, V.; Agans, K.N.; Dobias, N.S.; Prasad, A.N.; Deer, D.J.; Geisbert, J.B.; Fenton, K.A.; Geisbert, T.W.; et al. Natural history of Sudan ebolavirus infection in rhesus and cynomolgus macaques. Emerg. Microbes Infect. 2022, 3, 1–306. [Google Scholar] [CrossRef]
- Wolfe, D.N.; Sabourin, C.L.; Merchlinsky, M.J.; Florence, W.C.; Wolfraim, L.A.; Taylor, K.L.; Ward, L.A. Selection of Filovirus Isolates for Vaccine Development Programs. Vaccines 2021, 9, 1045. [Google Scholar] [CrossRef]
- Li, H. Aligning sequence reads, clone sequences and assembly contigs with BWA-MEM. arXiv 2013, arXiv:1303.3997v2. [Google Scholar]
- Grubaugh, N.D.; Gangavarapu, K.; Quick, J.; Matteson, N.L.; De Jesus, J.G.; Main, B.J.; Tan, A.L.; Paul, L.M.; Brackney, D.E.; Grewal, S.; et al. An amplicon-based sequencing framework for accurately measuring intrahost virus diversity using PrimalSeq and iVar. Genome Biol. 2019, 20, 8. [Google Scholar] [CrossRef] [PubMed] [Green Version]
- Danecek, P.; Bonfield, J.K.; Liddle, J.; Marshall, J.; Ohan, V.; Pollard, M.O.; Whitwham, A.; Keane, T.; McCarthy, S.A.; Davies, R.M.; et al. Twelve years of SAMtools and BCFtools. GigaScience 2021, 10, giab008. [Google Scholar] [CrossRef] [PubMed]
- Sievers, F.; Wilm, A.; Dineen, D.; Gibson, T.J.; Karplus, K.; Li, W.; Lopez, R.; McWilliam, H.; Remmert, M.; Söding, J.; et al. Fast, scalable generation of high-quality protein multiple sequence alignments using Clustal Omega. Mol. Syst. Biol. 2011, 7, 539. [Google Scholar] [CrossRef]
- Alfson, K.J.; Avena, L.E.; Beadles, M.W.; Staples, H.; Nunneley, J.W.; Ticer, A.; Dick, E.J.; Owston, M.A.; Reed, C.; Patterson, J.L.; et al. Particle-to-PFU ratio of Ebola virus influences disease course and survival in cynomolgus macaques. J. Virol. 2015, 89, 6773–6781. [Google Scholar] [CrossRef] [Green Version]
- Guedj, J.; Piorkowski, G.; Jacquot, F.; Madelain, V.; Nguyen, T.H.T.; Rodallec, A.; Gunther, S.; Carbonnelle, C.; Mentré, F.; Raoul, H.; et al. Antiviral efficacy of favipiravir against Ebola virus: A translational study in cynomolgus macaques. PLoS Med. 2018, 15, e1002535. [Google Scholar] [CrossRef] [Green Version]
- Sullivan, N.J.; Sanchez, A.; Rollin, P.; Yang, Z.Y.; Nabel, G.J. Development of a preventive vaccine for Ebola virus infection in primates. Nature 2000, 408, 605–609. [Google Scholar] [CrossRef]
- Wolfe, D.N.; Taylor, M.J.; Zarrabian, A.G. Lessons learned from Zaire ebolavirus to help address urgent needs for vaccines against Sudan ebolavirus and MArburg virus. Hum. Vaccines Immunother. 2020, 16, 2855–2860. [Google Scholar] [CrossRef] [Green Version]
- Alfson, K.; Goez-Gazi, Y.; Gazi, M.; Staples, H.; Mattix, M.; Ticer, A.; Klaffke, B.; Stanfield, K.; Escareno, P.; Keiser, P.; et al. Development of a Well-Characterized Rhesus Macaque Model of Ebola Virus Disease for Support of Product Development. Microorganisms 2021, 9, 489. [Google Scholar] [CrossRef]
- Ruedas, J.B.; Ladner, J.T.; Ettinger, C.R.; Gummuluru, S.; Palacios, G.; Connor, J.H. Spontaneous Mutation at Amino Acid 544 of the Ebola Virus Glycoprotein Potentiates Viral Entry and Selection in Tissue Culture. J. Virol. 2017, 91, e00392-17. [Google Scholar] [CrossRef] [Green Version]
- Johnson, R.I.; Boczkowska, B.; Alfson, K.; Weary, T.; Menzie, H.; Delgado, J.; Rodriguez, G.; Carrion, R.; Griffiths, A. Identification and Characterization of Defective Viral Genomes in Ebola Virus0Infected Rhesus Macaques. J. Virol. 2021, 95, e00714-21. [Google Scholar] [CrossRef] [PubMed]
- Bosma, T.J.; Karagiannis, K.; Santana-Quintero, L.; Ilyushina, N.; Zagorodnyaya, T.; Petrovskaya, S.; Laasari, M.; Donnelly, R.P.; Rubin, S.; Simonyan, V.; et al. Identification and quantification of defective virus genomes in high throughput sequencing data using DVG-profiler, a novel post-sequence alignment processing algorithm. PLoS ONE 2019, 14, e0216944. [Google Scholar] [CrossRef] [PubMed] [Green Version]
- Calain, P.; Roux, L.; Kolakofsky, D. Defective interfering genomes and Ebola virus persistence. Lancet 2016, 388, 659–660. [Google Scholar] [CrossRef] [Green Version]













| Parameter | Description | Score Points and Number of Levels 1 |
|---|---|---|
| Temperature | Delta temperature reference | Four levels: from 0 to over than a 2.2 °C increase (0 to 3 score points) |
| Weight | Delta weight reference | Four levels: from ΔW ≤ 5.4% to ΔW < 10%weight loss (from 0 to 5 score points) |
| Dehydration | General dehydration | Two levels: from NTR to dehydration (0 to 1 score point) |
| Bleeding | Presence of hemorrhage | Two levels: from NTR to bleeding observations (0 to 3 score points) |
| Petechia | % of body | Four levels: from NTR to observation of petechia on more than 50% of body (0 to 3 score points) |
| Stool | Stool appearance | Four levels: from NTR mucous and fibrinous diarrhea (0 to 5 score points) |
| Responsiveness | General behavior of the animal | Six levels: from normal activity to moribund (0 to 15 score points) |
| Animal ID | Time Post-Infection until Death (Days) | Survival Time (Hours) |
|---|---|---|
| 655 | 7 | 165.7 |
| 656 | 7 | 174.2 |
| 778 | 7 | 165.7 |
| 837 | 9 | 213.5 |
| 882 | 5 | 117.8 |
| 986 | 9 | 213.5 |
| 356 | 10 | 236.7 |
| 396 | 10 | 236.7 |
| 739 | 8 | 188.8 |
| 895 | 7 | 172.5 |
| 966 | 7 | 163.5 |
| 985 | 10 | 236.0 |
| Animal ID | Sample Collection (Day Post-Infection) | NGS Code Assigned | Reads for Ref T (%) | Reads for Alt. C (%) |
|---|---|---|---|---|
| N/A Viral stock NR50733 | N/A | 13.S | 96.55 | 3.44 |
| 882 | Day 5 T | 8.A | 78.33 | 21.46 |
| 655 | Day 5 | 3.5 | 78.29 | 21.7 |
| Day 7 T | 3.A | 89.3 | 10.49 | |
| 778 | Day 5 | 6.5 | 85.38 | 14.53 |
| Day 7 T | 6.A | 91.99 | 8 | |
| 966 | Day 5 | 10.5 | 84.75 | 15.25 |
| Day 7 T | 10.A | 93.41 | 6.4 | |
| 656 | Day 5 | 4.5 | 77.7 | 22.29 |
| Day 7 p.m. T | 4.A | 82.79 | 17.14 | |
| 895 | Day 5 | 9.5 | 89.53 | 10.32 |
| Day 7 p.m. T | 9.A | 81.59 | 18.4 | |
| 739 | Day 5 | 5.5 | 82.86 | 16.98 |
| Day 8 T | 5.A | 92.91 | 7.017 | |
| 837 | Day 5 | 7.5 | 90.52 | 9.38 |
| Day 9 T | 7.A | 90.17 | 9.83 | |
| 986 | Day 5 | 12.5 | 93.16 | 6.84 |
| Day 9 T | 12.A | 91.61 | 8.38 | |
| 356 | Day 5 | 1.5 | - | - |
| Day 10 T | 1.A | 99.88 | 0 | |
| 396 | Day 5 | 2.5 | 95.1 | 4.82 |
| Day 10 T | 2.A | - | - | |
| 985 | Day 5 | 11.5 | 82.5 | 17.5 |
| Day 10 T | 11.A | 87.27 | 12.72 |
| Manifestations | Disease Kinetics | Frequency |
|---|---|---|
| Incubation Period a |
| |
| Symptom onset (fever) to Death |
| |
| Mortality | 100% within 5–10 days PC | n = 12 |
| Median survival Time (IQR) | 7.92 days PC (190.42 h PI) | |
| Plasma viral RNA | n = 12 | |
| First detectable |
| |
| Plasma viremia | n = 12 | |
| First detectable |
| |
| Peak |
| |
| Clinical Disease Signs | ||
| n = 12 | |
| n = 10 | |
| n = 11 | |
| n = 8 | |
| n = 12 | |
| n = 7 | |
| n = 1 | |
| Clinical Pathology | ||
| Systemic inflammation Liver dysfunction Renal dysfunction Coagulopathy Lymphocytolysis Anemia and thrombocytopenia | ||
| Biochemical parameters |
| n = 12 |
| n = 12 | |
| n = 12 | |
| n = 12 | |
| n = 10 | |
| n = 11 | |
| Hematological parameters |
| n = 12 |
| n = 12 | |
| Coagulation parameters |
| n = 12 |
| n = 10/10 * | |
| Biochemical Analyses | ||||||||||||||||
| Urea | Creatinine | ALP | ALT | AST | CK-NAK | CRP | ||||||||||
| Wilcoxon matched-pairs signed rank test | p value | p value | p value | p value | p value | p value | p value | |||||||||
| Mean values (n = 12) changes from the mean baseline | *** | 0.0005 | *** | 0.0005 | *** | 0.0005 | *** | 0.001 | *** | 0.0005 | * | 0.0269 | *** | 0.0005 | ||
| Male mean values changes from the baseline | * | 0.0313 | * | 0.0313 | * | 0.0313 | * | 0.0313 | * | 0.0313 | * | 0.0313 | * | 0.0313 | ||
| Female mean values changes from the baseline | * | 0.0313 | * | 0.0313 | * | 0.0313 | ns | * | 0.0313 | ns | * | 0.0313 | ||||
| Hematological Analyses | ||||||||||||||||
| WBC | Monocytes | Neutrophils | RBC | Hematocrit | Haemaglobulin | Platelets | Lymphocytes | |||||||||
| Wilcoxon matched-pairs signed rank test | p value | p value | p value | p value | p value | p value | p value | p value | ||||||||
| Mean values (n = 12) changes from the mean baseline | ns | ns | ** | 0.0093 | *** | 0.0005 | *** | 0.0005 | *** | 0.0005 | *** | 0.0005 | * | 0.0161 | ||
| Male mean values changes from the baseline | ns | ns | * | 0.0313 | * | 0.0313 | * | 0.0313 | * | 0.0313 | * | 0.0313 | ns | |||
| Female mean values changes from the baseline | ns | ns | ns | * | 0.0313 | * | 0.0313 | * | 0.0313 | * | 0.0313 | * | 0.0313 | |||
| Coagulation Analyses | ||||||||||||||||
| ACT | PT | INR | Platelets | |||||||||||||
| Wilcoxon matched-pairs signed rank test | p value | p value | p value | p value | ||||||||||||
| Mean values (n = 12) changes from the mean baseline | *** | 0.0005 | * | 0.0156 | * | 0.0313 | *** | 0.0005 | ||||||||
| Male mean values changes from the baseline | * | 0.0313 | * | 0.0313 | ns | * | 0.0313 | |||||||||
| Female mean values changes from the baseline | * | 0.0313 | ns | ns | * | 0.0313 | ||||||||||
Publisher’s Note: MDPI stays neutral with regard to jurisdictional claims in published maps and institutional affiliations. |
© 2022 by the authors. Licensee MDPI, Basel, Switzerland. This article is an open access article distributed under the terms and conditions of the Creative Commons Attribution (CC BY) license (https://creativecommons.org/licenses/by/4.0/).
Share and Cite
Carbonnelle, C.; Moroso, M.; Pannetier, D.; Godard, S.; Mély, S.; Thomas, D.; Duthey, A.; Jourjon, O.; Lacroix, O.; Labrosse, B.; et al. Natural History of Sudan ebolavirus to Support Medical Countermeasure Development. Vaccines 2022, 10, 963. https://doi.org/10.3390/vaccines10060963
Carbonnelle C, Moroso M, Pannetier D, Godard S, Mély S, Thomas D, Duthey A, Jourjon O, Lacroix O, Labrosse B, et al. Natural History of Sudan ebolavirus to Support Medical Countermeasure Development. Vaccines. 2022; 10(6):963. https://doi.org/10.3390/vaccines10060963
Chicago/Turabian StyleCarbonnelle, Caroline, Marie Moroso, Delphine Pannetier, Sabine Godard, Stéphane Mély, Damien Thomas, Aurélie Duthey, Ophélie Jourjon, Orianne Lacroix, Béatrice Labrosse, and et al. 2022. "Natural History of Sudan ebolavirus to Support Medical Countermeasure Development" Vaccines 10, no. 6: 963. https://doi.org/10.3390/vaccines10060963
APA StyleCarbonnelle, C., Moroso, M., Pannetier, D., Godard, S., Mély, S., Thomas, D., Duthey, A., Jourjon, O., Lacroix, O., Labrosse, B., Raoul, H., Osman, K. L., Salguero, F. J., Hall, Y., Sabourin, C. L., Merchlinsky, M. J., Long, J. P., Parish, L. A., & Wolfe, D. N. (2022). Natural History of Sudan ebolavirus to Support Medical Countermeasure Development. Vaccines, 10(6), 963. https://doi.org/10.3390/vaccines10060963

