Dose-Dependent Impairment of the Immune Response to the Moderna-1273 mRNA Vaccine by Mycophenolate Mofetil in Patients with Rheumatic and Autoimmune Liver Diseases
Abstract
:1. Introduction
2. Materials and Methods
2.1. Participants and Setting
2.2. Study Design
2.3. Anti-SARS-CoV-2 Antibodies
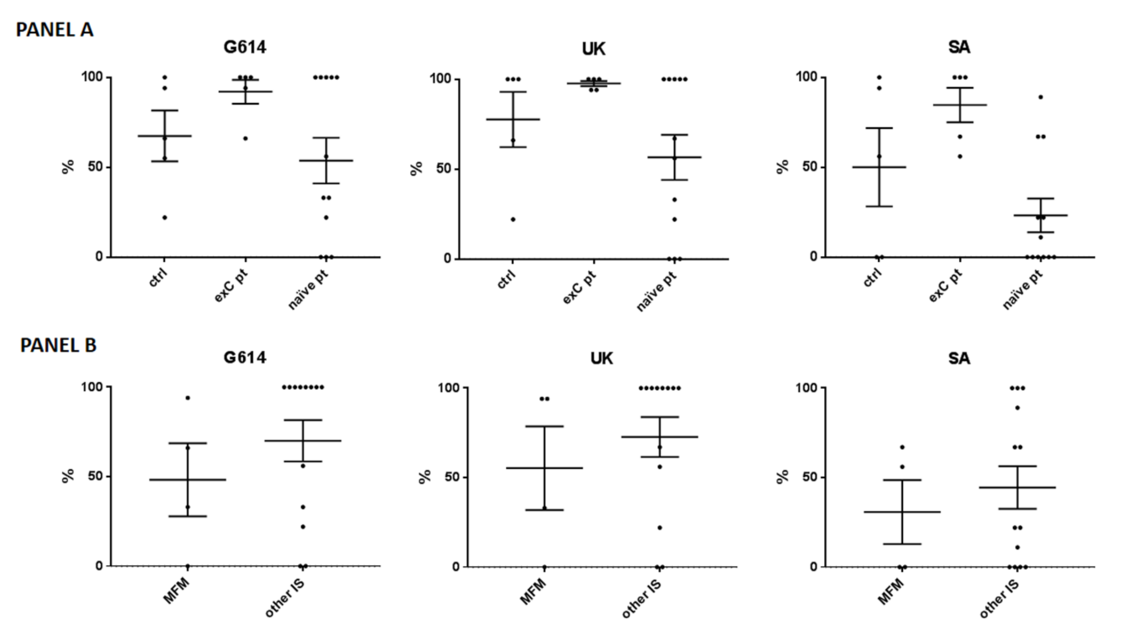
2.4. Serum Microneutralization Assay
2.5. Cytotoxic T Cell Response and Chemokine/Cytokine Levels
2.6. Statistical Analysis
3. Results
3.1. Study Subjects
3.2. Anti-SARS-CoV-2 Antibody Response in the Overall Cohort
3.3. Seroconversion Rate Based on Active Treatments
3.4. Anti-SARS-CoV-2 Antibody Titer Based on Ongoing Therapies
3.5. Anti-SARS-CoV-2 Antibody-Neutralizing Activity in a Subgroup of Patients and Controls
3.6. Cytotoxic T Cell Response Markers in a Subgroup of Patients and Controls
3.7. Chemokine and Cytokine Levels after SARS-CoV-2 Peptide-Stimulation In Vitro
3.8. Adverse Events and SARS-CoV-2 Breakthrough Infections
4. Discussion
5. Conclusions
Author Contributions
Funding
Institutional Review Board Statement
Informed Consent Statement
Data Availability Statement
Conflicts of Interest
References
- Walsh, E.E.; Frenck, R.W., Jr.; Falsey, A.R.; Kitchin, N.; Absalon, J.; Gurtman, A.; Lockhart, S.; Neuzil, K.; Mulligan, M.J.; Bailey, R.; et al. Safety and Immunogenicity of Two RNA-Based Covid-19 Vaccine Candidates. N. Engl. J. Med. 2020, 383, 2439–2450. [Google Scholar] [CrossRef] [PubMed]
- Widge, A.T.; Rouphael, N.G.; Jackson, L.A.; Anderson, E.J.; Roberts, P.C.; Makhene, M.; Chappell, J.D.; Denison, M.R.; Stevens, L.J.; Pruijssers, A.J.; et al. Durability of Responses after SARS-CoV-2 mRNA-1273 Vaccination. N. Engl. J. Med. 2021, 384, 80–82. [Google Scholar] [CrossRef] [PubMed]
- Mahil, S.K.; Bechman, K.; Raharja, A.; Domingo-Vila, C.; Baudry, D.; Brown, M.A.; Cope, A.P.; Dasandi, T.; Graham, C.; Lechmere, T.; et al. The effect of methotrexate and targeted immunosuppression on humoral and cellular immune responses to the COVID-19 vaccine BNT162b2: A cohort study. Lancet Rheumatol. 2021, 3, e627–e637. [Google Scholar] [CrossRef]
- Medeiros-Ribeiro, A.C.; Aikawa, N.E.; Saad, C.G.S.; Yuki, E.F.N.; Pedrosa, T.; Fusco, S.R.G.; Rojo, P.T.; Pereira, R.M.R.; Shinjo, S.K.; Andrade, D.C.O.; et al. Immunogenicity and safety of the CoronaVac inactivated vaccine in patients with autoimmune rheumatic diseases: A phase 4 trial. Nat. Med. 2021, 27, 1744–1751. [Google Scholar] [CrossRef]
- Ferrari, D.; Clementi, N.; Mancini, N.; Locatelli, M. SARS-CoV-2 infection despite high levels of vaccine-induced anti-Receptor-Binding-Domain antibodies: A study on 1110 health-care professionals from a northern Italian university hospital. Clin. Microbiol. Infect. 2021, 28, 305–307. [Google Scholar] [CrossRef]
- Criscuolo, E.; Diotti, R.A.; Strollo, M.; Rolla, S.; Ambrosi, A.; Locatelli, M.; Burioni, R.; Mancini, N.; Clementi, M.; Clementi, N. Weak correlation between antibody titers and neutralizing activity in sera from SARS-CoV-2 infected subjects. J. Med. Virol. 2021, 93, 2160–2167. [Google Scholar] [CrossRef]
- Liu, C.; Ginn, H.M.; Dejnirattisai, W.; Supasa, P.; Wang, B.; Tuekprakhon, A.; Nutalai, R.; Zhou, D.; Mentzer, A.J.; Zhao, Y.; et al. Reduced neutralization of SARS-CoV-2 B.1.617 by vaccine and convalescent serum. Cell 2021, 184, 4220–4236. [Google Scholar] [CrossRef]
- Tani, C.; Pratesi, F.; Talarico, R.; Cardelli, C.; Caruso, T.; Di Cianni, F.; Laurino, E.; Italiano, N.; Moretti, M.; Manca, M.L.; et al. Efficacy of anti-SARS-CoV-2 mRNA vaccine in systemic autoimmune disorders: Induction of high avidity and neutralising anti-RBD antibodies. RMD Open 2021, 7, e001914. [Google Scholar] [CrossRef]
- Moor, M.B.; Suter-Riniker, F.; Horn, M.P.; Aeberli, D.; Amsler, J.; Möller, B.; Njue, L.M.; Medri, C.; Angelillo-Scherrer, A.; Borradori, L.; et al. Humoral and cellular responses to mRNA vaccines against SARS-CoV-2 in patients with a history of CD20 B-cell-depleting therapy (RituxiVac): An investigator-initiated, single-centre, open-label study. Lancet Rheumatol. 2021, E789–E797. [Google Scholar] [CrossRef]
- Simon, D.; Tascilar, K.; Schmidt, K.; Manger, B.; Weckwerth, L.; Sokolova, M.; Bucci, L.; Fagni, F.; Manger, K.; Schuch, F.; et al. Brief Report: Humoral and cellular immune responses to SARS-CoV-2 infection and vaccination in B cell depleted autoimmune patients. Arthritis Rheumatol. 2021, 74, 33–37. [Google Scholar] [CrossRef]
- Mahil, S.K.; Bechman, K.; Raharja, A.; Domingo-Vila, C.; Baudry, D.; Brown, M.A.; Cope, A.P.; Dasandi, T.; Graham, C.; Khan, H.; et al. Humoral and cellular immunogenicity to a second dose of COVID-19 vaccine BNT162b2 in people receiving methotrexate or targeted immunosuppression: A longitudinal cohort study. Lancet Rheumatol. 2022, 4, e42–e52. [Google Scholar] [CrossRef]
- Rydyznski Moderbacher, C.; Ramirez, S.I.; Dan, J.M.; Grifoni, A.; Hastie, K.M.; Weiskopf, D.; Belanger, S.; Abbott, R.K.; Kim, C.; Choi, J.; et al. Antigen-Specific Adaptive Immunity to SARS-CoV-2 in Acute COVID-19 and Associations with Age and Disease Severity. Cell 2020, 183, 996–1012. [Google Scholar] [CrossRef]
- Rhen, T.; Cidlowski, J.A. Antiinflammatory action of glucocorticoids--new mechanisms for old drugs. N. Engl. J. Med. 2005, 353, 1711–1723. [Google Scholar] [CrossRef] [Green Version]
- Tian, H.; Cronstein, B.N. Understanding the mechanisms of action of methotrexate: Implications for the treatment of rheumatoid arthritis. Bull. NYU Hosp. Jt. Dis. 2007, 65, 168–173. [Google Scholar]
- Quéméneur, L.; Beloeil, L.; Michallet, M.-C.; Angelov, G.; Tomkowiak, M.; Revillard, J.-P.; Marvel, J. Restriction of De Novo Nucleotide Biosynthesis Interferes with Clonal Expansion and Differentiation into Effector and Memory CD8 T Cells. J. Immunol. 2004, 173, 4945. [Google Scholar] [CrossRef] [Green Version]
- Colic, M.; Stojic-Vukanic, Z.; Pavlovic, B.; Jandric, D.; Stefanoska, I. Mycophenolate mofetil inhibits differentiation, maturation and allostimulatory function of human monocyte-derived dendritic cells. Clin. Exp. Immunol. 2003, 134, 63–69. [Google Scholar] [CrossRef] [Green Version]
- Laliberté, J.; Yee, A.; Xiong, Y.; Mitchell, B.S. Effects of Guanine Nucleotide Depletion on Cell Cycle Progression in Human T Lymphocytes. Blood 1998, 91, 2896–2904. [Google Scholar] [CrossRef]
- Westra, J.; Rondaan, C.; Van Assen, S.; Bijl, M. Vaccination of patients with autoimmune inflammatory rheumatic diseases. Nat. Rev. Rheumatol. 2015, 11, 135–145. [Google Scholar] [CrossRef]
- McMahan, Z.H.; Bingham, C.O., III. Effects of biological and non-biological immunomodulatory therapies on the immunogenicity of vaccines in patients with rheumatic diseases. Arthritis Res. Ther. 2014, 16, 506–506. [Google Scholar] [CrossRef] [Green Version]
- Oesterreich, S.; Lindemann, M.; Goldblatt, D.; Horn, P.A.; Wilde, B.; Witzke, O. Humoral response to a 13-valent pneumococcal conjugate vaccine in kidney transplant recipients. Vaccine 2020, 38, 3339–3350. [Google Scholar] [CrossRef]
- Park, J.K.; Lee, M.A.; Lee, E.Y.; Song, Y.W.; Choi, Y.; Winthrop, K.L.; Lee, E.B. Effect of methotrexate discontinuation on efficacy of seasonal influenza vaccination in patients with rheumatoid arthritis: A randomised clinical trial. Ann. Rheum. Dis. 2017, 76, 1559–1565. [Google Scholar] [CrossRef]
- Curtis, J.R.; Johnson, S.R.; Anthony, D.D.; Arasaratnam, R.J.; Baden, L.R.; Bass, A.R.; Calabrese, C.; Gravallese, E.M.; Harpaz, R.; Sadun, R.E.; et al. American College of Rheumatology Guidance for COVID-19 Vaccination in Patients With Rheumatic and Musculoskeletal Diseases: Version 1. Arthritis Rheumatol. 2021, 73, 1093–1107. [Google Scholar] [CrossRef]
- Curtis, J.R.; Johnson, S.R.; Anthony, D.D.; Arasaratnam, R.J.; Baden, L.R.; Bass, A.R.; Calabrese, C.; Gravallese, E.M.; Harpaz, R.; Kroger, A.; et al. American College of Rheumatology Guidance for COVID-19 Vaccination in Patients With Rheumatic and Musculoskeletal Diseases: Version 3. Arthritis Rheumatol. 2021, 73, e60–e75. [Google Scholar] [CrossRef]
- Motta, F.; Selmi, C.; De Santis, M. 5 reasons to encourage anti-SARS-CoV-2 vaccination in patients with rheumatic diseases. Expert Rev. Clin. Immunol. 2021, 17, 1241–1244. [Google Scholar] [CrossRef]
- Geisen, U.M.; Berner, D.K.; Tran, F.; Sümbül, M.; Vullriede, L.; Ciripoi, M.; Reid, H.M.; Schaffarzyk, A.; Longardt, A.C.; Franzenburg, J.; et al. Immunogenicity and safety of anti-SARS-CoV-2 mRNA vaccines in patients with chronic inflammatory conditions and immunosuppressive therapy in a monocentric cohort. Ann. Rheum. Dis. 2021, 80, 1306–1311. [Google Scholar] [CrossRef]
- Simon, D.; Tascilar, K.; Fagni, F.; Krönke, G.; Kleyer, A.; Meder, C.; Atreya, R.; Leppkes, M.; Kremer, A.E.; Ramming, A.; et al. SARS-CoV-2 vaccination responses in untreated, conventionally treated and anticytokine-treated patients with immune-mediated inflammatory diseases. Ann. Rheum. Dis. 2021, 80, 1312–1316. [Google Scholar] [CrossRef]
- Ruddy, J.A.; Connolly, C.M.; Boyarsky, B.J.; Werbel, W.A.; Christopher-Stine, L.; Garonzik-Wang, J.; Segev, D.L.; Paik, J.J. High antibody response to two-dose SARS-CoV-2 messenger RNA vaccination in patients with rheumatic and musculoskeletal diseases. Ann. Rheum. Dis. 2021, 80, 1351. [Google Scholar] [CrossRef]
- Spiera, R.; Jinich, S.; Jannat-Khah, D. Rituximab, but not other antirheumatic therapies, is associated with impaired serological response to SARS- CoV-2 vaccination in patients with rheumatic diseases. Ann. Rheum. Dis. 2021, 80, 1357. [Google Scholar] [CrossRef]
- Furer, V.; Eviatar, T.; Zisman, D.; Peleg, H.; Paran, D.; Levartovsky, D.; Zisapel, M.; Elalouf, O.; Kaufman, I.; Meidan, R.; et al. Immunogenicity and safety of the BNT162b2 mRNA COVID-19 vaccine in adult patients with autoimmune inflammatory rheumatic diseases and in the general population: A multicentre study. Ann. Rheum. Dis. 2021, 80, 1330–1338. [Google Scholar] [CrossRef]
- Braun-Moscovici, Y.; Kaplan, M.; Braun, M.; Markovits, D.; Giryes, S.; Toledano, K.; Tavor, Y.; Dolnikov, K.; Balbir-Gurman, A. Disease activity and humoral response in patients with inflammatory rheumatic diseases after two doses of the Pfizer mRNA vaccine against SARS-CoV-2. Ann. Rheum. Dis. 2021, 80, 1317–1321. [Google Scholar] [CrossRef]
- Deepak, P.; Kim, W.; Paley, M.A.; Yang, M.; Carvidi, A.B.; El-Qunni, A.A.; Haile, A.; Huang, K.; Kinnett, B.; Liebeskind, M.J. Glucocorticoids and B cell depleting agents substantially impair immunogenicity of mRNA vaccines to SARS-CoV-2. medRxiv 2021. [Google Scholar] [CrossRef]
- Wallwork, R.; Connolly, C.M.; Shneyderman, M.; McMahan, Z.; Mecoli, C.A.; Wigley, F.; Hummers, L.K.; Shah, A.A.; Paik, J.J. Effect of mycophenolate mofetil dose on antibody response following initial SARS-CoV-2 vaccination in patients with systemic sclerosis. Lancet Rheumatol. 2022. [Google Scholar] [CrossRef]
- Kantauskaite, M.; Müller, L.; Kolb, T.; Fischer, S.; Hillebrandt, J.; Ivens, K.; Andree, M.; Luedde, T.; Orth, H.M.; Adams, O.; et al. Intensity of mycophenolate mofetil treatment is associated with an impaired immune response to SARS-CoV-2 vaccination in kidney transplant recipients. Am. J. Transplant. 2022, 22, 634–639. [Google Scholar] [CrossRef]
- Shi, Y.; Liu, C.H.; Roberts, A.I.; Das, J.; Xu, G.; Ren, G.; Zhang, Y.; Zhang, L.; Yuan, Z.R.; Tan, H.S.; et al. Granulocyte-macrophage colony-stimulating factor (GM-CSF) and T-cell responses: What we do and don’t know. Cell Res. 2006, 16, 126–133. [Google Scholar] [CrossRef] [PubMed]
- Toubaji, A.; Hill, S.; Terabe, M.; Qian, J.; Floyd, T.; Simpson, R.M.; Berzofsky, J.A.; Khleif, S.N. The combination of GM-CSF and IL-2 as local adjuvant shows synergy in enhancing peptide vaccines and provides long term tumor protection. Vaccine 2007, 25, 5882–5891. [Google Scholar] [CrossRef] [PubMed]
- Mitchell, L.A.; Henderson, A.J.; Dow, S.W. Suppression of vaccine immunity by inflammatory monocytes. J. Immunol. 2012, 189, 5612–5621. [Google Scholar] [CrossRef] [PubMed]
- Piano Mortari, E.; Russo, C.; Vinci, M.R.; Terreri, S.; Fernandez Salinas, A.; Piccioni, L.; Alteri, C.; Colagrossi, L.; Coltella, L.; Ranno, S.; et al. Highly Specific Memory B Cells Generation after the 2nd Dose of BNT162b2 Vaccine Compensate for the Decline of Serum Antibodies and Absence of Mucosal IgA. Cells 2021, 10, 2541. [Google Scholar] [CrossRef] [PubMed]
- Rahav, G.; Lustig, Y.; Lavee, J.; Ohad, B.; Magen, H.; Hod, T.; Noga, S.-T.; Shmueli, E.S.; Drorit, M.; Ben-Ari, Z.; et al. BNT162b2 mRNA COVID-19 vaccination in immunocompromised patients: A prospective cohort study. EClinicalMedicine 2021, 41, 101158–101158. [Google Scholar] [CrossRef]
- Fagni, F.; Simon, D.; Tascilar, K.; Schoenau, V.; Sticherling, M.; Neurath, M.F.; Schett, G. COVID-19 and immune-mediated inflammatory diseases: Effect of disease and treatment on COVID-19 outcomes and vaccine responses. Lancet Rheumatol. 2021, 3, e724–e736. [Google Scholar] [CrossRef]
- Karbasi-Afshar, R.; Izadi, M.; Fazel, M.; Khedmat, H. Response of transplant recipients to influenza vaccination based on type of immunosuppression: A meta-analysis. Saudi J. Kidney Dis. Transplant. 2015, 26, 877–883. [Google Scholar] [CrossRef]
- Connolly, C.M.; Chiang, T.P.; Boyarsky, B.J.; Ruddy, J.A.; Teles, M.; Alejo, J.L.; Massie, A.; Werbel, W.A.; Shah, A.A.; Christopher-Stine, L.; et al. Temporary hold of mycophenolate augments humoral response to SARS-CoV-2 vaccination in patients with rheumatic and musculoskeletal diseases: A case series. Ann. Rheum. Dis. 2022, 81, 293–295. [Google Scholar] [CrossRef]



| Patients with Immune-Mediated and Chronic Inflammatory Diseases (n = 287) | Controls (Caretakers and Family Members; n = 67) | |
|---|---|---|
| Females | 175 (61%) † | 23 (34%) |
| Caucasians | 277 (96.5%) | 66 (98.5%) |
| Age (years) | 55 (19–78) ‡ | 48 (19–70) |
| Hypertension | 39 (14%) * | 2 (3%) |
| Diabetes | 12 (5%) | 0 |
| Cardiovascular disease | 9 (3%) | 0 |
| Ex-COVID | 45 (16%) | 15 (22%) |
| Ongoing treatments | ||
| Mycophenolate mofetil | 28 (10%) monotherapy 7% | |
| Glucocorticoids | 43 (15%) monotherapy 1% | - |
| Methotrexate | 60 (21%) monotherapy 6% | - |
| Azathioprine | 27 (9%) monotherapy 6% | |
| AntiTNF-alpha | 108 (38%) monotherapy 30% | - |
| Anti-IL17 | 20 (7%) monotherapy 5% | - |
| Anti-IL6R | 12 (4%) monotherapy 2% | - |
| JAK inhibitors | 27 (9%) monotherapy 6% | - |
| Other therapies | 21 (7%) | - |
| No immunosuppressants | 18 (6%) | 67 (100%) |
| Disease | ||
| Rheumatoid arthritis | 72 (25%) | - |
| Spondyloarthritis | 125 (44%) | - |
| Systemic sclerosis | 13 (5%) 12 (92%) on mycophenolate | - |
| Systemic lupus erythematosus | 12 (4%) 3 (25%) on mycophenolate | - |
| Dermato/Polymyositis | 3 (1%) 3 (100%) on mycophenolate | |
| Autoimmune hepatitis | 31 (11%) 7 (23%) on mycophenolate | - |
| Primary biliary cholangitis | 13 (5%) | - |
| Other rheumatic diseases | 22 (8%) 3 (14%) on mycophenolate | - |
| Disease duration (months) | 60 (2–500) | - |
| Active disease | 81 (28%) | - |
| T0 | T1 | T2 | |
|---|---|---|---|
| Controls | |||
| Overall titer | 4 (4–22.9) | 835 (384.5–1455) | 4960 (3465–11350) |
| seroconverted | 14/67 (20.9%) | 64/65 (98.4%) | 45/45 (100%) |
| ex-COVID titer | 116 (44.8–238) | 2081 (1060–2081) | 11850 (5563–19625) |
| seroconverted | 14/15 (93.3%) | 15/15 (100%) | 8/8 (100%) |
| COVID-naïve titer | 4 (4–4) | 632.5 (319.8–1195) | 4790 (3290–10325) p < 0.0001 vs. MFM |
| seroconverted | - | 49/50 (98%) | 37/37 (100%) |
| Patients | |||
| Overall titer | 4 (4–4) | 284 (91.8–746) p < 0.0001 | 3505 (1398–6520) p = 0.0002 |
| seroconverted | 38/287 (13.2%) | 239/281 (85.1%) p = 0−006 | 211/219 (96.3%) |
| ex-COVID titer | 99.1 (58.7–271) | 2081 (634.5–2081) | 6520 (3518–19475) |
| seroconverted | 38/45 (84.4%) | 45/45 (100%) | 36/36 (100%) |
| COVID-naïve titer | 4 (4–4) | 222 (68.3–489) p < 0.0001 | 3160 (1328–6170) p = 0.0002 |
| seroconverted | - | 194/236 (82.2%) p = 0.009 | 175/183 (95.6%) |
| Active immunosuppressive therapy | |||
| Overall titer | 4 (4–4) | 293.5 (94.4–779.5) p < 0.0001 | 3280 (1390–6505) p = 0.002 |
| seroconverted | 35/268 (13%) | 223/262 (85.1%) p = 0.006 | 197/206 (95.6%) |
| ex-COVID titer | 98.2 (51.4–282.3) | 2081 (635.3–2081) | 6700 (3423–21400) |
| seroconverted | 35/42 (83.3%) | 42/42 (100%) | 34/34 (100%) |
| COVID-naïve titer | 4 (4–4) | 225.5 (67–518) p < 0.0001 | 3035 (1305–6128) p = 0.006 |
| seroconverted | - | 181/221 (81.9%) p = 0.008 | 165/172 (95.9%) |
| No immunosuppressive therapy | |||
| Overall titer | 4 (4–6.4) | 215 (80.6–541) p = 0.0002 | 4540 (2875–5865) |
| seroconverted | 3/18 (16.6%) | 15/18 (83.3%) p = 0.04 | 13/13 (100%) |
| ex-COVID titer | 143 (88.5–221) | 2081 (622–2081) | 4565 (4210–4920) |
| seroconverted | 3/3 (100%) | 3/3 (100%) | 2/2 (100%) |
| COVID-naïve titer | 4 (4–4) | 169 (71–409) p = 0.004 | 4540 (2200–6630)p = 0.003 vs. MFM |
| seroconverted | - | 12/15 (80%) | 11/11 (100%) |
| Active disease | |||
| Overall titer | 4 (4–4) | 222.5 (80.5–498.8) p < 0.0001 | 3220 (1760–7085) p = 0.002 |
| seroconverted | 9/81 (11.1) | 64/76 (84.2) p = 0.009 | 55/58 (94.8) |
| ex-COVID titer | 99.1 (65.5–225) | 2081 (502–2081) | 5070 (3220–7350) |
| seroconverted | 9/9 (100) | 9/9 (100) | 7/7 (100) |
| COVID-naïve titer | 4 (4–4) | 186 (65–332) p < 0.0001 | 3040 (1655–7118) p = 0.002 |
| seroconverted | - | 55/67 (82.1) p = 0.01 | 48/51 (94.1) |
| Inactive disease | |||
| Overall titer | 4 (4–5.16) | 343 (95.2–827) p < 0.0001 | 3600 (1370–6435) p = 0.0004 |
| seroconverted | 29/206 (14) | 175/205 (85.3) p = 0.008 | 156/161 (96.8) |
| ex-COVID titer | 98.7 (46–272.5) | 2081 (638–2081) | 6820 (3545–21900) |
| seroconverted | 32/36 (88.8) | 36/36 (100) | 36/36 (100) |
| COVID-naïve titer | 4 (4–4) | 239 (69.4–608.5) p < 0.0001 | 3210 (1303–5660) p = 0.002 |
| seroconverted | - | 139/169 (82.2) p = 0.01 | 127/132 (96.2) |
| T1 | T2 | |
|---|---|---|
| Rheumatoid arthritis titer | 155 (50–484) p < 0.0001 | 2310 (1230–6375) p = 0.007 |
| seroconverted | 49/61 (80.3%) p = 0.01 | 49/49 (100%) |
| Spondyloarthritis titer | 317 (133–622) p = 0.02 | 4040 (2230–6385) |
| seroconverted | 103/108 (95.3%) | 79/79 (100%) |
| Systemic sclerosis titer | 4 (4–4) p < 0.0001 | 25.6 (8.1–380) p < 0.0001 |
| seroconverted | 2/11 (18.1%) p < 0.0001 | 3/11 (27.2%) p < 0.0001 |
| Systemic lupus erythematosus titer | 77.5 (5.6–464) p = 0.005 | 1320 (498–3100) p = 0.007 |
| seroconverted | 7/11 (58.3%) p = 0.002 | 10/10 (100%) |
| Dermatomyositis titer | 4 (4–4.87) p = 0.001 | 134 (121–178) p = 0.004 |
| seroconverted | 0/3 (0%) p < 0.0001 | 3/3 (100%) |
| Autoimmune hepatitis titer | 323 (75–556) p = 0.04 | 3280 (1300–5340) |
| seroconverted | 23/26 (88.4%) | 19/19 (100%) |
| Mycophenolate mofetil | ||
| overall titer | 4 (4–43.8) p < 0.0001 | 156 (27–353) p < 0.0001 |
| seroconverted | 6/23 (26%) p < 0.0001 | 14/22 (63.6%) p = 0.0004 |
| monotherapy titer | 4 (4–7.12) p < 0.0001 | 121 (13.8–517) p < 0.0001 |
| seroconverted | 3/17 (17.6%) p < 0.0001 | 9/16 (56.2%) p = 0.0001 |
| with glucocorticoids titer | 24.3 (4–81.8) p = 0.001 | 399 (141–1948) |
| seroconverted | 3/6 (50%) | 5/6 (83.3%) |
| Glucocorticoids | ||
| monotherapy titer | 229 (222–235) | 5270 (-) |
| seroconverted | 3/3 (100%) | 1/1 (100%) |
| with other therapies titer | 85 (7.6–222) p < 0.0001 | 1620 (797–6650) p = 0.005 |
| seroconverted | 22/35 (62.8%) p < 0.0001 | 26/27 (96.3%) |
| Methotrexate | ||
| monotherapy titer | 285 (104–663) p = 0.03 vs. MFM | 3160 (2470–6690)p = 0.003 vs. MFM |
| seroconverted | 13/14 (92.8%) | 11/11 (100%) |
| with glucocorticoids titer | 87 (40–638) | 9220 (8500–9640) |
| seroconverted | 3/4 (75%) | 4/4 (100%) |
| Azathioprine | ||
| monotherapy titer | 492 (240–825) p < 0.0001 vs. MFM | 3280 (1735–5960) p = 0.02 vs. MFM |
| seroconverted | 16/16 (100%) | 13/13 (100%) |
| with glucocorticoids titer | 37.8 (20.9–461) p = 0.003, p = 0.03 vs. AZA mono | 1620 (804–6605) |
| seroconverted | 4/7 (57.1%) | 5/5 (100%) |
| Anti-TNFalpha | ||
| monotherapy titer | 382 (177–790) p < 0.0001 vs. MFM | 3405 (1715–5340) p = 0.0002 vs. MFM |
| seroconverted | 66/69 (95.6%) | 54/54 (100%) |
| with glucocorticoid titer | 67.8 (4–326) | 1370 (1320–6659) |
| seroconverted | 2/3 (66.6%) | 3/3 (100%) |
| with methotrexate titer | 231 (89.3–899) | 4130 (1830–6340) |
| seroconverted | 11/13 (84.6%) | 11/11 (100%) |
| Anti-IL17 | ||
| monotherapy titer | 228 (96.9–332) p = 0.02 | 3105 (2485–4850) |
| seroconverted | 15/15 (100%) | 10/10 (100%) |
| Anti-IL6R | ||
| monotherapy titer | 262 (109–1043) | 3700 (2020–5290) |
| seroconverted | 6/6 (100%) | 5/5 (100%) |
| JAK inhibitors | ||
| monotherapy titer | 140 (51–493) p = 0.04 | 3750 (1039–6775) |
| seroconverted | 13/15 (86.6%) | 10/10 (100%) |
| with methotrexate titer | 33.9 (8.2–262.2) p = 0.02 | 512 (-) |
| seroconverted | 2/4 (50%) p = 0.004 | 1/1 (100%) |
| Patients on MFM >1 g/daily (n = 20) | |
|---|---|
| Females Caucasians | 18 (90%) 18 (90%) |
| Age (years) | 59.5 (48.5–64.5) |
| Hypertension | 1 (5%) |
| Diabetes | 0 |
| Cardiovascular disease | 0 |
| Lymphocyte count at baseline (*103/mm3)§ Disease | 1700 (960–2100) |
| Systemic sclerosis | 11 (55%) |
| Systemic lupus erythematosus | 3 (15%) |
| Dermato/Polymyositis | 2 (10%) |
| Autoimmune hepatitis | 2 (10%) |
| Primary biliary cholangitis | 1 (5%) |
| Other rheumatic diseases | 1 (5%) |
| Disease duration (months) | 62 (27–132) |
| Active disease Seroconversion at T2 in COVID-naïve patients | 3 (15%) 8 (40%) |
| Antibody titer at T2 (BAU/mL) in COVID-naïve patients | 34.2 (9.8–443.5) |
| Patients (n = 219) | |
|---|---|
| Adverse events Mild Moderate Severe | 152/219 (69.4%) 105/219 (48%) 46/219 (21%) 1/219 (0.4%) |
| Adverse events in ex-COVID | 22/30 (73.3%) |
| Adverse events in COVID-naïve | 127/184 (69%) |
| Anti-SARS-CoV-2 titer | |
| COVID-naïve with adverse events COVID-naïve without adverse events | 3265 (1375–6423) 2570 (1170–4973) |
| Controls (n = 45) | |
| Adverse events | 35/45 (77.7%) |
| Mild Moderate Severe | 26/45 (57.7%) 9/45 (20%) 0/45 (0%) |
| Adverse events in ex-COVID | 7/8 (87.5%) |
| Adverse events in COVID-naïve | 28/38 (73.6) |
| Anti-SARS-CoV-2titer | |
| COVID-naïve with adverse events COVID-naïve without adverse events | 6525 (3950–11,375) * 3300 (2770–3855) |
Publisher’s Note: MDPI stays neutral with regard to jurisdictional claims in published maps and institutional affiliations. |
© 2022 by the authors. Licensee MDPI, Basel, Switzerland. This article is an open access article distributed under the terms and conditions of the Creative Commons Attribution (CC BY) license (https://creativecommons.org/licenses/by/4.0/).
Share and Cite
De Santis, M.; Motta, F.; Isailovic, N.; Clementi, M.; Criscuolo, E.; Clementi, N.; Tonutti, A.; Rodolfi, S.; Barone, E.; Colapietro, F.; et al. Dose-Dependent Impairment of the Immune Response to the Moderna-1273 mRNA Vaccine by Mycophenolate Mofetil in Patients with Rheumatic and Autoimmune Liver Diseases. Vaccines 2022, 10, 801. https://doi.org/10.3390/vaccines10050801
De Santis M, Motta F, Isailovic N, Clementi M, Criscuolo E, Clementi N, Tonutti A, Rodolfi S, Barone E, Colapietro F, et al. Dose-Dependent Impairment of the Immune Response to the Moderna-1273 mRNA Vaccine by Mycophenolate Mofetil in Patients with Rheumatic and Autoimmune Liver Diseases. Vaccines. 2022; 10(5):801. https://doi.org/10.3390/vaccines10050801
Chicago/Turabian StyleDe Santis, Maria, Francesca Motta, Natasa Isailovic, Massimo Clementi, Elena Criscuolo, Nicola Clementi, Antonio Tonutti, Stefano Rodolfi, Elisa Barone, Francesca Colapietro, and et al. 2022. "Dose-Dependent Impairment of the Immune Response to the Moderna-1273 mRNA Vaccine by Mycophenolate Mofetil in Patients with Rheumatic and Autoimmune Liver Diseases" Vaccines 10, no. 5: 801. https://doi.org/10.3390/vaccines10050801
APA StyleDe Santis, M., Motta, F., Isailovic, N., Clementi, M., Criscuolo, E., Clementi, N., Tonutti, A., Rodolfi, S., Barone, E., Colapietro, F., Ceribelli, A., Vecellio, M., Luciano, N., Guidelli, G., Caprioli, M., Rezk, C., Canziani, L., Azzolini, E., Germagnoli, L., ... Selmi, C. (2022). Dose-Dependent Impairment of the Immune Response to the Moderna-1273 mRNA Vaccine by Mycophenolate Mofetil in Patients with Rheumatic and Autoimmune Liver Diseases. Vaccines, 10(5), 801. https://doi.org/10.3390/vaccines10050801

