Chemical Fingerprint of Free Polyphenols and Antioxidant Activity in Dietary Fruits and Vegetables Using a Non-Targeted Approach Based on QuEChERS Ultrasound-Assisted Extraction Combined with UHPLC-PDA
Abstract
1. Introduction
2. Materials and Methods
2.1. Reagents, Materials, and Standards
2.2. Preparation of Standard Solutions
2.3. Fruit and Vegetable Samples
2.4. QuEChERS Assisted by Ultrasound for the Extraction of Polyphenols
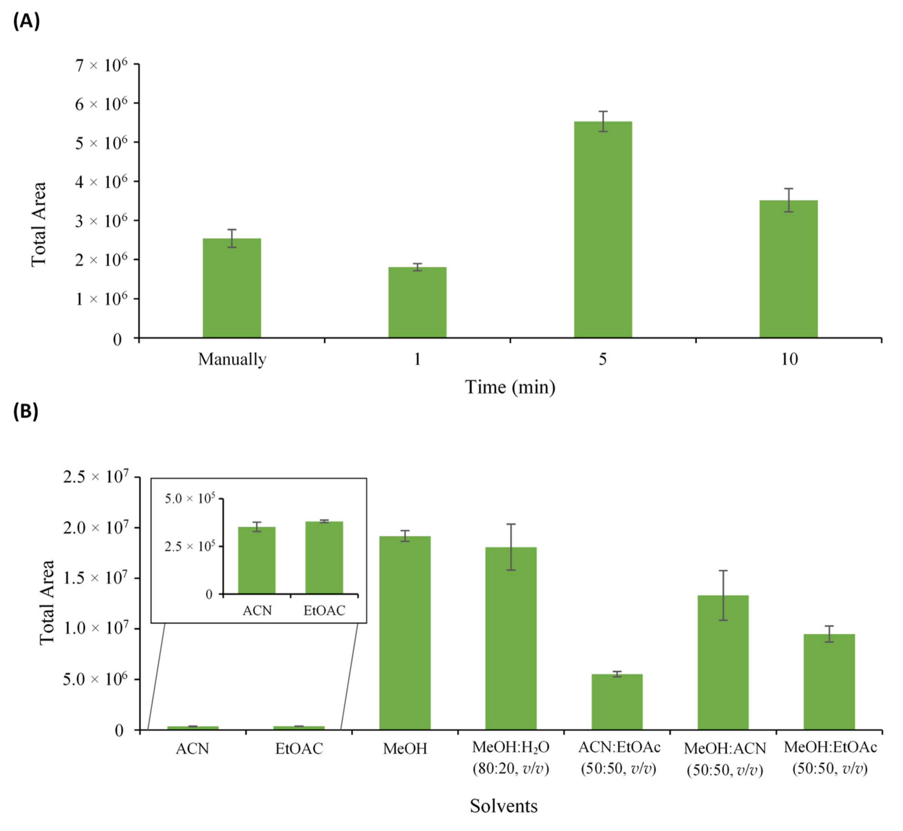
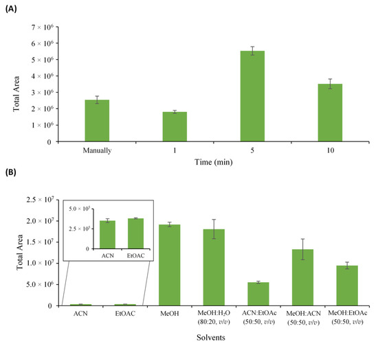
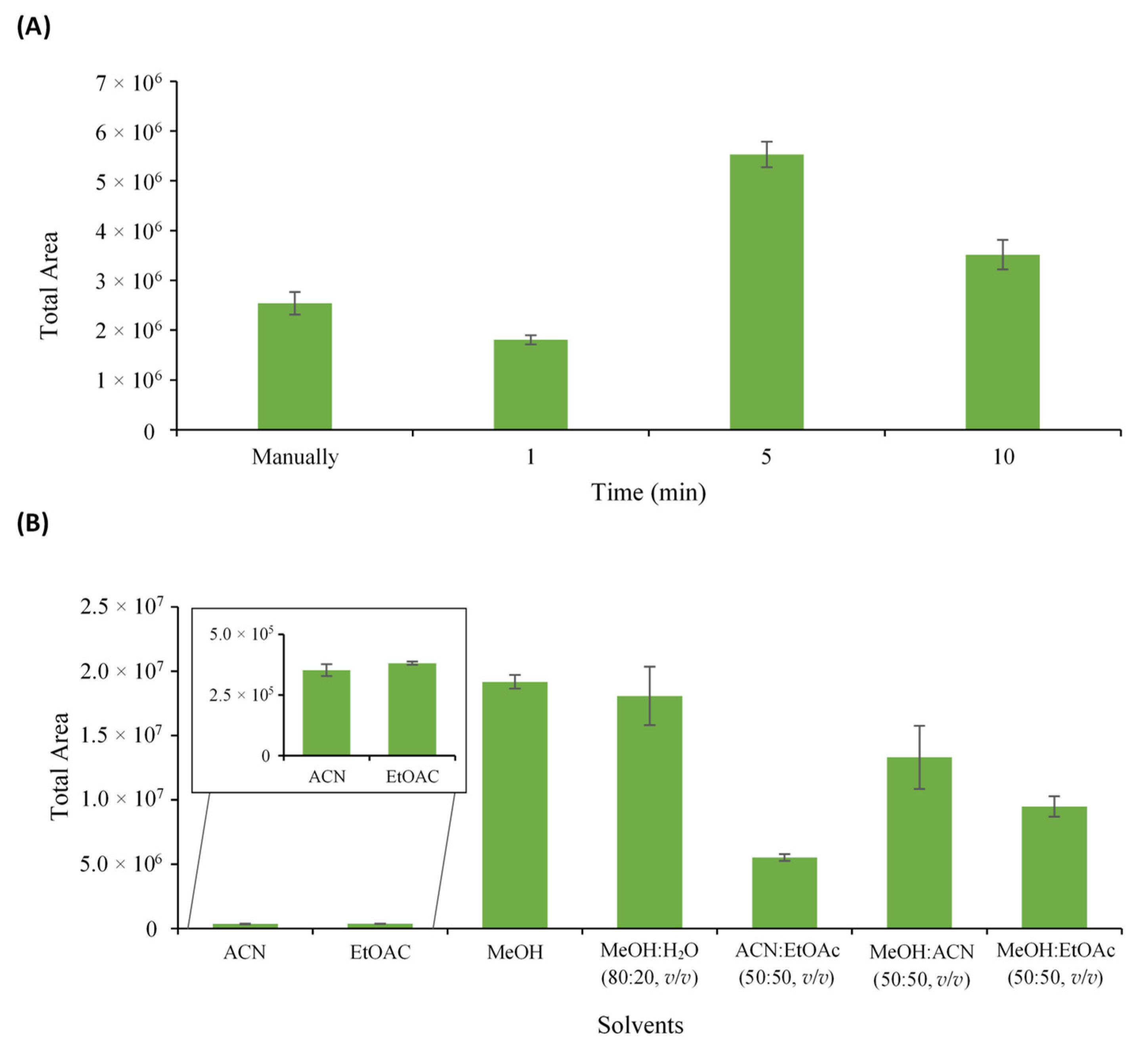
2.4.1. Selection of Sonication Time and Extraction Solvent
2.4.2. QuEChERS-USAE and Clean-Up Procedure
2.5. Evaluation of the Bioactive Potential of QuEChERS-USAE Extracts.
2.5.1. Total Phenolic Content (TPC)
2.5.2. Total Flavonoid Content (TFC)
2.5.3. Total Anthocyanin Content (TAC)
2.5.4. Total Betalain Content (TBC)
2.6. Evaluation of the Antioxidant Abilities of the Investigated Extracts
2.6.1. DPPH Assays
2.6.2. ABTS Assay
2.6.3. FRAP Assay
2.7. UHPLC-PDA Analysis and Operating Conditions
2.8. Analytical Method Validation.
3. Results and Discussion
3.1. Optimization of QuEChERS-USAE: Selection of the Sonication Time and Extraction Solvent
3.2. Determination of the Phytochemical Composition
3.3. In Vitro Evaluation of Antioxidant Abilities of the Investigated Extracts
3.4. QuEChERS-USAE for the Extraction of Polyphenols
3.4.1. Method Validation
3.4.2. Application of QuEChERS-USAE/UHPLC-PDA for the Analysis of Polyphenols in Fruit and Vegetable Samples
4. Conclusions
Author Contributions
Funding
Acknowledgments
Conflicts of Interest
References
- Ahn-Jarvis, J.H.; Parihar, A.; Doseff, A.I. Dietary flavonoids for immunoregulation and cancer: Food design for targeting disease. Antioxidants 2019, 8, 202. [Google Scholar] [CrossRef] [PubMed]
- Rodriguez, A. The Health Potential of Fruits and Vegetables Phytochemicals: Notable Examples. Crit. Rev. Food Sci. Nutr. 2014, 56, 1097–1107. [Google Scholar] [CrossRef] [PubMed]
- Yamagata, K.; Tagami, M.; Yamori, Y. Dietary polyphenols regulate endothelial function and prevent cardiovascular disease. Nutrition 2015, 31, 28–37. [Google Scholar] [CrossRef]
- Bakhtiari, M.; Panahi, Y.; Ameli, J.; Darvishi, B. Protective effects of flavonoids against Alzheimer’s disease-related neural dysfunctions. Biomed. Pharmacother. 2017, 93, 218–229. [Google Scholar] [CrossRef] [PubMed]
- Sabogal-Guáqueta, A.M.; Muñoz-Manco, J.I.; Ramírez-Pineda, J.R.; Lamprea-Rodriguez, M.; Osorio, E.; Cardona-Gómez, G.P. The flavonoid quercetin ameliorates Alzheimer’s disease pathology and protects cognitive and emotional function in aged triple transgenic Alzheimer’s disease model mice. Neuropharmacology 2015, 93, 134–145. [Google Scholar] [CrossRef] [PubMed]
- Hajiaghaalipour, F.; Khalilpourfarshbafi, M.; Arya, A.; Arya, A. Modulation of glucose transporter protein by dietary flavonoids in type 2 diabetes mellitus. Int. J. Biol. Sci. 2015, 11, 508–524. [Google Scholar] [CrossRef]
- Vinayagam, R.; Xu, B. Antidiabetic properties of dietary flavonoids: A cellular mechanism review. Nutr. Metab. 2015, 12, 1–20. [Google Scholar] [CrossRef]
- Deng, G.F.; Lin, X.; Xu, X.R.; Gao, L.L.; Xie, J.F.; Li, H. Bin Antioxidant capacities and total phenolic contents of 56 vegetables. J. Funct. Foods 2013, 5, 260–266. [Google Scholar] [CrossRef]
- Rajesh, V.; Perumal, P.; Aruna, P. Hypolipidemic and antioxidant activity of grape skin extract and resveratrol on rats fed with high-fat diet. Orient. Pharm. Exp. Med. 2013, 13, 11–20. [Google Scholar] [CrossRef]
- Khanam, U.K.S.; Oba, S.; Yanase, E.; Murakami, Y. Phenolic acids, flavonoids and total antioxidant capacity of selected leafy vegetables. J. Funct. Foods 2012, 4, 979–987. [Google Scholar] [CrossRef]
- Chojnacka, K.; Lewandowska, U. Chemopreventive effects of polyphenol-rich extracts against cancer invasiveness and metastasis by inhibition of type IV collagenases expression and activity. J. Funct. Foods 2018, 46, 295–311. [Google Scholar] [CrossRef]
- Carmo, M.A.V.; Pressete, C.G.; Marques, M.J.; Granato, D.; Azevedo, L. Polyphenols as potential antiproliferative agents: Scientific trends. Curr. Opin. Food Sci. 2018, 24, 26–35. [Google Scholar] [CrossRef]
- Joseph, S.V.; Edirisinghe, I.; Burton-Freeman, B.M. Fruit Polyphenols: A Review of Anti-inflammatory Effects in Humans. Crit. Rev. Food Sci. Nutr. 2016, 56, 419–444. [Google Scholar] [CrossRef] [PubMed]
- Upadhyay, S.; Dixit, M. Role of polyphenols and other phytochemicals on molecular signaling. Oxid. Med. Cell. Longev. 2015, 2015, 1–15. [Google Scholar] [CrossRef]
- Engwa, G.A. Free Radicals and the Role of Plant Phytochemicals as Antioxidants Against Oxidative Stress-Related Diseases. In Phytochemicals—Source of Antioxidants and Role in Disease Prevention; Asao, T., Asaduzzaman, M., Eds.; InTech: London, UK, 2018; pp. 49–73. [Google Scholar]
- Safari, M.R.; Sheikh, N. Effects of flavonoids on the susceptibility of low-density lipoprotein to oxidative modification. Prostaglandins Leukot. Essent. Fat. Acids 2003, 69, 73–77. [Google Scholar] [CrossRef]
- Fuhrman, B.; Volkova, N.; Coleman, R.; Aviram, M. Grape Powder Polyphenols Attenuate Atherosclerosis Development in Apolipoprotein E Deficient (E0) Mice and Reduce Macrophage Atherogenicity. J. Nutr. 2005, 135, 722–728. [Google Scholar] [CrossRef]
- Wright, B.; Spencer, J.P.E.; Lovegrove, J.A.; Gibbins, J.M. Flavonoid inhibitory pharmacodynamics on platelet function in physiological environments. Food Funct. 2013, 4, 1803–1810. [Google Scholar] [CrossRef]
- Ludwig, A.; Lorenz, M.; Grimbo, N.; Steinle, F.; Meiners, S.; Bartsch, C.; Stangl, K.; Baumann, G.; Stangl, V. The tea flavonoid epigallocatechin-3-gallate reduces cytokine-induced VCAM-1 expression and monocyte adhesion to endothelial cells. Biochem. Biophys. Res. Commun. 2004, 316, 659–665. [Google Scholar] [CrossRef]
- Sun, C.; Wang, X.; Zheng, G.; Fan, S.; Lu, J.; Zhang, Z.; Wu, D.; Shan, Q.; Hu, B.; Zheng, Y. Protective effect of different flavonoids against endothelial senescence via NLRP3 inflammasome. J. Funct. Foods 2016, 26, 598–609. [Google Scholar] [CrossRef]
- Hooper, L.; Kroon, P.A.; Rimm, E.B.; Cohn, J.S.; Harvey, I.; Le Cornu, K.A.; Ryder, J.J.; Hall, W.L.; Cassidy, A. Flavonoids, flavonoid-rich foods, and cardiovascular risk: A meta-analysis of randomized controlled trials. Am. J. Clin. Nutr. 2008, 88, 38–50. [Google Scholar] [CrossRef]
- Wang, J.; Pan, Y.; Hu, J.; Ma, Q.; Xu, Y.; Zhang, Y.; Zhang, F.; Liu, Y. Tea polyphenols induce S phase arrest and apoptosis in gallbladder cancer cells. Braz. J. Med. Biol. Res. 2018, 51, e6891. [Google Scholar] [CrossRef] [PubMed]
- Barron, C.C.; Moore, J.; Tsakiridis, T.; Pickering, G.; Tsiani, E. Inhibition of human lung cancer cell proliferation and survival by wine. Cancer Cell Int. 2014, 14, 1–13. [Google Scholar] [CrossRef] [PubMed]
- Piao, M.; Mori, D.; Satoh, T.; Sugita, Y.; Tokunaga, O. Inhibition of endothelial cell proliferation, in vitro angiogenesis, and the down-regulation of cell adhesion-related genes by genistein combined with a cDNA microarray analysis. Endothel. J. Endothel. Cell Res. 2006, 13, 249–266. [Google Scholar] [CrossRef] [PubMed]
- Sharma, A.; Kaur, M.; Katnoria, J.K.; Nagpal, A.K. Polyphenols in Food: Cancer Prevention and Apoptosis Induction. Curr. Med. Chem. 2017, 25, 4740–4757. [Google Scholar] [CrossRef] [PubMed]
- Almeida, M.M.B.; de Sousa, P.H.M.; Arriaga, Â.M.C.; Prado, G.M.; de Carvalho Magalhães, C.E.; Maia, G.A.; Lemos, T.L.G. Bioactive compounds and antioxidant activity of fresh exotic fruits from northeastern Brazil. Food Res. Int. 2011, 44, 2155–2159. [Google Scholar] [CrossRef]
- Moure, A.; Cruz, J.M.; Franco, D.; Manuel Domínguez, J.; Sineiro, J.; Domínguez, H.; Núñez, M.J.; Carlos Parajó, J. Natural antioxidants from residual sources. Food Chem. 2001, 72, 145–171. [Google Scholar] [CrossRef]
- Casado, N.; Perestrelo, R.; Silva, C.L.; Sierra, I.; Câmara, J.S. An improved and miniaturized analytical strategy based on μ-QuEChERS for isolation of polyphenols. A powerful approach for quality control of baby foods. Microchem. J. 2018, 139, 110–118. [Google Scholar] [CrossRef]
- Anastassiades, M.; Lehotay, S.J. Fast and Easy Multiresidue Method Employing Acetonitrile Extraction/Partitioning and “Dispersive Solid-Phase Extraction” for the Determination of Pesticide Residues in Produce. J. AOAC Int. 2003, 86, 412–431. [Google Scholar] [CrossRef]
- Perestrelo, R.; Silva, P.; Porto-Figueira, P.; Pereira, J.A.M.; Silva, C.; Medina, S.; Câmara, J.S. QuEChERS - Fundamentals, relevant improvements, applications and future trends. Anal. Chim. Acta 2019, 1070, 1–28. [Google Scholar] [CrossRef]
- Silva, C.L.; Haesen, N.; Câmara, J.S. A new and improved strategy combining a dispersive-solid phase extraction-based multiclass method with ultra high pressure liquid chromatography for analysis of low molecular weight polyphenols in vegetables. J. Chromatogr. A 2012, 1260, 154–163. [Google Scholar] [CrossRef]
- Rodrigues, C.; Nicácio, A.; Jardim, I.; Visentainer, J.; Maldaner, L. Determination of Phenolic Compounds in Red Sweet Pepper (Capsicum annuum L.) Using using aa Modified Modified QuEChERS QuEChERS Method Method and and UHPLC-MS/MS UHPLC-MS/MS Analysis Analysis and and Its Relation to Antioxidant Activity. J. Braz. Chem. Soc. 2019, 30, 1229–1240. [Google Scholar]
- García, M.D.G.; Galera, M.M.; Uclés, S.; Lozano, A.; Fernández-Alba, A.R. Ultrasound-assisted extraction based on QuEChERS of pesticide residues in honeybees and determination by LC-MS/MS and GC-MS/MS. Anal. Bioanal. Chem. 2018, 410, 5195–5210. [Google Scholar] [CrossRef]
- Quiroz, J.Q.; Duran, A.M.N.; Garcia, M.S.; Gomez, G.L.C.; Camargo, J.J.R. Ultrasound-assisted extraction of bioactive compounds from annatto seeds, evaluation of their antimicrobial and antioxidant activity, and identification of main compounds by LC/ESI-MS analysis. Int. J. Food Sci. 2019, 2019, 1–9. [Google Scholar] [CrossRef] [PubMed]
- Medina-Torres, N.; Ayora-Talavera, T.; Espinosa-Andrews, H.; Sánchez-Contreras, A.; Pacheco, N. Ultrasound Assisted Extraction for the Recovery of Phenolic Compounds from Vegetable Sources. Agronomy 2017, 7, 47. [Google Scholar] [CrossRef]
- Singleton, V.L.; Orthofer, R.; Lamuela-Raventós, R. [14] Analysis of Total Phenols and Other Oxidation Substrates and Antioxidants by Means of Folin-Ciocalteu Reagent. Methods Enzymol. 1999, 299, 152–178. [Google Scholar]
- Marinova, D.; Ribarova, F. Total phenolics and total flavonoids in Bulgaria fruits and vegetables. J. Univ. Chem. Technol. Metall. 2005, 40, 255–260. [Google Scholar]
- Giusti, M.M.; Wrolstad, R.E. Characterization and Measurement of Anthocyanins by UV-Visible Spectroscopy. In Current Protocols in Food Analytical Chemistry; John Wiley & Sons, Inc.: Hoboken, NJ, USA, 2001; pp. F1.2.1–F1.2.3. [Google Scholar]
- Koubaier, H.B.H.; Snoussi, A.; Essaidi, I.; Chaabouni, M.M.; Thonart, P.; Bouzouita, N. Betalain and Phenolic Compositions, Antioxidant Activity of Tunisian Red Beet (Beta vulgaris L. conditiva) Roots and Stems Extracts. Int. J. Food Prop. 2014, 17, 1934–1945. [Google Scholar] [CrossRef]
- Thaipong, K.; Boonprakob, U.; Crosby, K.; Cisneros-Zevallos, L.; Hawkins Byrne, D. Comparison of ABTS, DPPH, FRAP, and ORAC assays for estimating antioxidant activity from guava fruit extracts. J. Food Compos. Anal. 2006, 19, 669–675. [Google Scholar] [CrossRef]
- Annegowda, H.V.; Bhat, R.; Min-Tze, L.; Karim, A.A.; Mansor, S.M. Influence of sonication treatments and extraction solvents on the phenolics and antioxidants in star fruits. J. Food Sci. Technol. 2012, 49, 510–514. [Google Scholar] [CrossRef]
- Safdar, M.N.; Kausar, T.; Jabbar, S.; Mumtaz, A.; Ahad, K.; Saddozai, A.A. Extraction and quantification of polyphenols from kinnow (Citrus reticulate L.) peel using ultrasound and maceration techniques. J. Food Drug Anal. 2017, 25, 488–500. [Google Scholar] [CrossRef]
- Zhou, T.; Xu, D.-P.; Lin, S.-J.; Li, Y.; Zheng, J.; Zhou, Y.; Zhang, J.-J.; Li, H.-B. Ultrasound-Assisted Extraction and Identification of Natural Antioxidants from the Fruit of Melastoma sanguineum Sims. Molecules 2017, 22, 306. [Google Scholar] [CrossRef] [PubMed]
- Xu, D.-P.; Zhou, Y.; Zheng, J.; Li, S.; Li, A.-N.; Li, H.-B. Optimization of Ultrasound-Assisted Extraction of Natural Antioxidants from the Flower of Jatropha integerrima by Response Surface Methodology. Molecules 2015, 21, 18. [Google Scholar] [CrossRef] [PubMed]
- Nile, S.H.; Park, S.W. Total phenolics, antioxidant and xanthine oxidase inhibitory activity of three colored onions (Allium cepa L.). Front. Life Sci. 2013, 7, 224–228. [Google Scholar] [CrossRef]
- Shahidi, F.; Chandrasekara, A.; Zhong, Y. Bioactive Phytochemicals in Vegetables. In Handbook of Vegetables and Vegetable Processing; Wiley-Blackwell: Oxford, UK, 2011; pp. 125–158. [Google Scholar]
- Chun, O.K.; Kim, D.-O.; Smith, N.; Schroeder, D.; Han, J.T.; Lee, C.Y. Daily consumption of phenolics and total antioxidant capacity from fruit and vegetables in the American diet. J. Sci. Food Agric. 2005, 85, 1715–1724. [Google Scholar] [CrossRef]
- Martínez-Sánchez, A.; Gil-Izquierdo, A.; Gil, M.I.; Ferreres, F. A comparative study of flavonoid compounds, vitamin C, and antioxidant properties of baby leaf Brassicaceae species. J. Agric. Food Chem. 2008, 56, 2330–2340. [Google Scholar] [CrossRef] [PubMed]
- Agarwal, A.; Raj, N.; Chaturvedi, N. A Comparative Study on Proximate and Antioxidant Activity of Brassica oleracea (Kale) and Spinacea oleracea (Spinach) Leaves. Int. J. Adv. Res. Biol. Sci. 2017, 4, 22–29. [Google Scholar] [CrossRef]
- Aires, A.; Carvalho, R.; Rosa, E.A.S.; Saavedra, M.J. Phytochemical characterization and antioxidant properties of baby-leaf watercress produced under organic production system. CyTA-J. Food 2013, 11, 343–351. [Google Scholar] [CrossRef]
- Guven, H.; Arici, A.; Simsek, O. Flavonoids in Our Foods: A Short Review. J. Basic Clin. Heal. Sci. 2019, 3, 96–106. [Google Scholar] [CrossRef]
- Scarano, A.; Chieppa, M.; Santino, A. Looking at Flavonoid Biodiversity in Horticultural Crops: A Colored Mine with Nutritional Benefits. Plants 2018, 7, 98. [Google Scholar] [CrossRef]
- Osorio, C.; Hurtado, N.; Dawid, C.; Hofmann, T.; Heredia-Mira, F.J.; Morales, A.L. Chemical characterisation of anthocyanins in tamarillo (Solanum betaceum Cav.) and Andes berry (Rubus glaucus Benth.) fruits. Food Chem. 2012, 132, 1915–1921. [Google Scholar] [CrossRef]
- Rodrigues, A.S.; Pérez-Gregorio, M.R.; García-Falcón, M.S.; Simal-Gándara, J.; Almeida, D.P.F. Effect of meteorological conditions on antioxidant flavonoids in Portuguese cultivars of white and red onions. Food Chem. 2011, 124, 303–308. [Google Scholar] [CrossRef]
- Lee, E.J.; An, D.; Nguyen, C.T.T.; Patil, B.S.; Kim, J.; Yoo, K.S. Betalain and Betaine Composition of Greenhouse- or Field-Produced Beetroot (Beta vulgaris L.) and Inhibition of HepG2 Cell Proliferation. J. Agric. Food Chem. 2014, 62, 1324–1331. [Google Scholar] [CrossRef] [PubMed]
- Hurtado, N.H.; Morales, A.L.; González-Miret, M.L.; Escudero-Gilete, M.L.; Heredia, F.J. Colour, pH stability and antioxidant activity of anthocyanin rutinosides isolated from tamarillo fruit (Solanum betaceum Cav.). Food Chem. 2009, 117, 88–93. [Google Scholar] [CrossRef]
- Zhang, S.L.; Deng, P.; Xu, Y.C.; Lü, S.W.; Wang, J. Quantification and analysis of anthocyanin and flavonoids compositions, and antioxidant activities in onions with three different colors. J. Integr. Agric. 2016, 15, 2175–2181. [Google Scholar] [CrossRef]
- Kanner, J.; Harel, S.; Granit, R. Betalains—A new class of dietary cationized antioxidants. J. Agric. Food Chem. 2001, 49, 5178–5185. [Google Scholar] [CrossRef]
- Clifford, T.; Howatson, G.; West, D.J.; Stevenson, E.J. The potential benefits of red beetroot supplementation in health and disease. Nutrients 2015, 7, 2801–2822. [Google Scholar] [CrossRef]
- Liu, R.H. Potential Synergy of Phytochemicals in Cancer Prevention: Mechanism of Action. J. Nutr. 2004, 134, 3479S–3485S. [Google Scholar] [CrossRef]
- Liu, R.H. Health benefits of fruit and vegetables are from additive and. Am. J. Clin. Nutr. 2003, 78, 3–6. [Google Scholar] [CrossRef]
- Dadgar, D.; Burnett, P.E. Issues in evaluation of bioanalytical method selectivity and drug stability. J. Pharm. Biomed. Anal. 1995, 14, 23–31. [Google Scholar] [CrossRef]
- Alasalvar, C.; Grigor, J.M.; Zhang, D.; Quantick, P.C.; Shahidi, F. Comparison of volatiles, phenolics, sugars, antioxidant vitamins, and sensory quality of different colored carrot varieties. J. Agric. Food Chem. 2001, 49, 1410–1416. [Google Scholar] [CrossRef]
- Juurlink, B.H.J.; Azouz, H.J.; Aldalati, A.M.Z.; AlTinawi, B.M.H.; Ganguly, P. Hydroxybenzoic acid isomers and the cardiovascular system. Nutr. J. 2014, 13, 63. [Google Scholar] [CrossRef] [PubMed]
- Slimestad, R.; Fossen, T.; Vågen, I.M. Onions: A source of unique dietary flavonoids. J. Agric. Food Chem. 2007, 55, 10067–10080. [Google Scholar] [CrossRef] [PubMed]
- Kwak, J.H.; Seo, J.M.; Kim, N.H.; Arasu, M.V.; Kim, S.; Yoon, M.K.; Kim, S.J. Variation of quercetin glycoside derivatives in three onion (Allium cepa L.) varieties. Saudi J. Biol. Sci. 2017, 24, 1387–1391. [Google Scholar] [CrossRef] [PubMed]
- Manach, C.; Scalbert, A.; Morand, C.; Rémésy, C.; Jiménez, L. Polyphenols: Food sources and bioavailability 1,2. Am. J. Clin. Nutr. 2004, 79, 727–747. [Google Scholar] [CrossRef]
- Fan, F.-Y.; Sang, L.-X.; Jiang, M.; Mcphee, D.J. Catechins and Their Therapeutic Benefits to Inflammatory Bowel Disease. Molecules 2017, 22, 484. [Google Scholar] [CrossRef]
- Alves, M.J.; Ferreira, I.C.F.R.; Froufe, H.J.C.; Abreu, R.M.V.; Martins, A.; Pintado, M. Antimicrobial activity of phenolic compounds identified in wild mushrooms, SAR analysis and docking studies. J. Appl. Microbiol. 2013, 115, 346–357. [Google Scholar] [CrossRef]
- Heleno, S.A.; Martins, A.; Queiroz, M.J.R.P.; Ferreira, I.C.F.R. Bioactivity of phenolic acids: Metabolites versus parent compounds: A review. Food Chem. 2015, 173, 501–513. [Google Scholar] [CrossRef]
- Yip, E.C.H.; Chan, A.S.L.; Pang, H.; Tam, Y.K.; Wong, Y.H. Protocatechuic acid induces cell death in HepG2 hepatocellular carcinoma cells through a c-Jun N-terminal kinase-dependent mechanism. Cell Biol. Toxicol. 2006, 22, 293–302. [Google Scholar] [CrossRef]
- Yin, M.C.; Lin, C.C.; Wu, H.C.; Tsao, S.M.; Hsu, C.K. Apoptotic effects of protocatechuic acid in human breast, lung, liver, cervix, and prostate cancer cells: Potential mechanisms of action. J. Agric. Food Chem. 2009, 57, 6468–6473. [Google Scholar] [CrossRef]
- Tanaka, T.; Tanaka, T.; Tanaka, M. Potential Cancer Chemopreventive Activity of Protocatechuic Acid. J. Exp. Clin. Med. 2011, 3, 27–33. [Google Scholar] [CrossRef]
- Caro, A.A.; Davis, A.; Fobare, S.; Horan, N.; Ryan, C.; Schwab, C. Antioxidant and pro-oxidant mechanisms of (+) catechin in microsomal CYP2E1-dependent oxidative stress. Toxicol. Vitr. 2019, 54, 1–9. [Google Scholar] [CrossRef] [PubMed]
- Jiang, Y.; Ding, S.; Li, F.; Zhang, C.; Sun-Waterhouse, D.; Chen, Y.; Li, D. Effects of (+)-catechin on the differentiation and lipid metabolism of 3T3-L1 adipocytes. J. Funct. Foods 2019, 62, 103558. [Google Scholar] [CrossRef]
- Caturla, N.; Vera-Samper, E.; Villalaín, J.; Mateo, C.R.; Micol, V. The relationship between the antioxidant and the antibacterial properties of galloylated catechins and the structure of phospholipid model membranes. Free Radic. Biol. Med. 2003, 34, 648–662. [Google Scholar] [CrossRef]
- Ashidate, K.; Kawamura, M.; Mimura, D.; Tohda, H.; Miyazaki, S.; Teramoto, T.; Yamamoto, Y.; Hirata, Y. Gentisic acid, an aspirin metabolite, inhibits oxidation of low-density lipoprotein and the formation of cholesterol ester hydroperoxides in human plasma. Eur. J. Pharmacol. 2005, 513, 173–179. [Google Scholar] [CrossRef]
- Joshi, R.; Gangabhagirathi, R.; Venu, S.; Adhikari, S.; Mukherjee, T. Antioxidant activity and free radical scavenging reactions of gentisic acid: In-Vitro and pulse radiolysis studies. Free Radic. Res. 2012, 46, 11–20. [Google Scholar] [CrossRef]
- Pennycooke, J.C.; Cox, S.; Stushnoff, C. Relationship of cold acclimation, total phenolic content and antioxidant capacity with chilling tolerance in petunia (Petunia x hybrida). Environ. Exp. Bot. 2005, 53, 225–232. [Google Scholar] [CrossRef]
- Mourtzinos, I.; Konteles, S.; Kalogeropoulos, N.; Karathanos, V.T. Thermal oxidation of vanillin affects its antioxidant and antimicrobial properties. Food Chem. 2009, 114, 791–797. [Google Scholar] [CrossRef]
- Gañan, M.; Martínez-Rodríguez, A.J.; Carrascosa, A.V. Antimicrobial activity of phenolic compounds of wine against Campylobacter jejuni. Food Control 2009, 20, 739–742. [Google Scholar] [CrossRef]
- Tai, A.; Sawano, T.; Ito, H. Antioxidative properties of vanillic acid esters in multiple antioxidant assays. Biosci. Biotechnol. Biochem. 2012, 76, 314–318. [Google Scholar] [CrossRef] [PubMed]
- Huang, C.H.; Chen, M.F.; Chung, H.H.; Cheng, J.T. Antihyperglycemic effect of syringaldehyde in streptozotocin-induced diabetic rats. J. Nat. Prod. 2012, 75, 1465–1468. [Google Scholar] [CrossRef] [PubMed]
- Yancheva, D.; Velcheva, E.; Glavcheva, Z.; Stamboliyska, B.; Smelcerovic, A. Insights in the radical scavenging mechanism of syringaldehyde and generation of its anion. J. Mol. Struct. 2016, 1108, 552–559. [Google Scholar] [CrossRef]
- Ibrahim, M.; Sriprasanthi, R.B.; Shamsudeen, S.; Adam, F.; Bhawani, S.A. Syringaldehyde: Review. BioResources 2012, 7, 4377–4399. [Google Scholar]
- Boz, H. p-Coumaric acid in cereals: Presence, antioxidant and antimicrobial effects. Int. J. Food Sci. Technol. 2015, 50, 2323–2328. [Google Scholar] [CrossRef]
- Pei, K.; Ou, J.; Huang, J.; Ou, S. p-Coumaric acid and its conjugates: Dietary sources, pharmacokinetic properties and biological activities. J. Sci. Food Agric. 2016, 96, 2952–2962. [Google Scholar] [CrossRef]
- Scheepens, A.; Bisson, J.F.; Skinner, M. P-Coumaric acid activates the GABA-a receptor in vitro and is orally anxiolytic in Vivo. Phyther. Res. 2014, 28, 207–211. [Google Scholar] [CrossRef]
- Luceri, C.; Giannini, L.; Lodovici, M.; Antonucci, E.; Abbate, R.; Masini, E.; Dolara, P. p-Coumaric acid, a common dietary phenol, inhibits platelet activity in vitro and in vivo. Br. J. Nutr. 2007, 97, 458–463. [Google Scholar] [CrossRef]
- Kong, C.S.; Jeong, C.H.; Choi, J.S.; Kim, K.J.; Jeong, J.W. Antiangiogenic effects of P-coumaric acid in human endothelial cells. Phyther. Res. 2013, 27, 317–323. [Google Scholar] [CrossRef]
- Ferguson, L.R.; Lim, I.F.; Pearson, A.E.; Ralph, J.; Harris, P.J. Bacterial antimutagenesis by hydroxycinnamic acids from plant cell walls. Mutat. Res./Genet. Toxicol. Environ. Mutagen. 2003, 542, 49–58. [Google Scholar] [CrossRef]
- Batista, R. Uses and potential applications of ferulic acid. In Ferulic Acid: Antioxidant Properties, Uses and Potential Health Benefits; Warren, B., Ed.; Nova Science Publishers: New York, NY, USA, 2014; pp. 39–70. [Google Scholar]
- Kikuzaki, H.; Hisamoto, M.; Hirose, K.; Akiyama, K.; Taniguchi, H. Antioxidant properties of ferulic acid and its related compounds. J. Agric. Food Chem. 2002, 50, 2161–2168. [Google Scholar] [CrossRef]
- Luthria, D.L.; Lu, Y.; John, K.M.M. Bioactive phytochemicals in wheat: Extraction, analysis, processing, and functional properties. J. Funct. Foods 2015, 18, 910–925. [Google Scholar] [CrossRef]
- Fabila-Garca, P.; Dublán-García, O.; Gómez-Oliván, L.M.; Baeza-Jiménez, R.; López-Martínez, L.X. In vitro antioxidant and bioactive properties of corn (Zea mays L.). Arch. Latinoam. Nutr. 2017, 67, 300–308. [Google Scholar]
- Moselhy, S.S.; Razvi, S.S.; ALshibili, F.A.; Kuerban, A.; Hasan, M.N.; Balamash, K.S.; Huwait, E.A.; Abdulaal, W.H.; Al-Ghamdi, M.A.; Kumosani, T.A.; et al. m-Coumaric acid attenuates non-catalytic protein glycosylation in the retinas of diabetic rats. J. Pestic. Sci. 2018, 43, 180–185. [Google Scholar] [CrossRef] [PubMed]
- Hsu, C.L.; Huang, S.L.; Yen, G.C. Inhibitory effect of phenolic acids on the proliferation of 3T3-L1 preadipocytes in relation to their antioxidant activity. J. Agric. Food Chem. 2006, 54, 4191–4197. [Google Scholar] [CrossRef]
- Sen, A.; Atmaca, P.; Terzioglu, G.; Arslan, S. Anticarcinogenic effect and carcinogenic potential of the dietary phenolic acid: O-coumaric acid. Nat. Prod. Commun. 2013, 8, 1269–1274. [Google Scholar] [CrossRef] [PubMed]
- Nga, P.T.; Dien, P.H.; Thi, L.; Quynh, P.; Dat, N.T.; Thuy, T.; Kim, D.D. Identification and antialgal properties of o- coumaric acid isolated from Eupatorium fortune Turcz. J. Vietnam. Environ. 2018, 9, 228–234. [Google Scholar]
- Hsu, C.L.; Wu, C.H.; Huang, S.L.; Yen, G.C. Phenolic compounds rutin and o-coumaric acid ameliorate obesity induced by high-fat Diet in rats. J. Agric. Food Chem. 2009, 57, 425–431. [Google Scholar] [CrossRef]
- Sova, M. Antioxidant and Antimicrobial Activities of Cinnamic Acid Derivatives. Mini-Rev. Med. Chem. 2012, 12, 749–767. [Google Scholar] [CrossRef]
- Sutini; Widiwurjani; Augustien, N.; Purwanto, D.A.; Muslihatin, W. The production of cinnamic acid secondary metabolites through in vitro culture of callus Camellia sinensis L with the elicitor of cobalt metal ions. In Proceedings of the International Conference on Biology and Applied Science, Malang, Indonesia, 20 March 2019; American Institute of Physics Inc.: Malang, Indonesia, 2019; Volume 2120, pp. 030028-1–030028-5. [Google Scholar]
- Metsämuuronen, S.; Sirén, H. Bioactive phenolic compounds, metabolism and properties: A review on valuable chemical compounds in Scots pine and Norway spruce. Phytochem. Rev. 2019, 18, 623–664. [Google Scholar] [CrossRef]
- Anand David, A.V.; Arulmoli, R.; Parasuraman, S. Overviews of biological importance of quercetin: A bioactive flavonoid. Pharmacogn. Rev. 2016, 10, 84–89. [Google Scholar]
- Carvalho, D.; Paulino, M.; Polticelli, F.; Arredondo, F.; Williams, R.J.; Abin-Carriquiry, J.A. Structural evidence of quercetin multi-target bioactivity: A reverse virtual screening strategy. Eur. J. Pharm. Sci. 2017, 106, 393–403. [Google Scholar] [CrossRef]
- Kawabata, K.; Mukai, R.; Ishisaka, A. Quercetin and related polyphenols: New insights and implications for their bioactivity and bioavailability. Food Funct. 2015, 6, 1399–1417. [Google Scholar] [CrossRef] [PubMed]
- Maalik, A.; Khan, F.A.; Mumtaz, A.; Mehmood, A.; Azhar, S.; Atif, M.; Karim, S.; Altaf, Y.; Tariq, I. Pharmacological Applications of Quercetin and its Derivatives: A Short Review. Trop. J. Pharm. Res. 2014, 13, 1561–1566. [Google Scholar] [CrossRef]
- Chen, A.Y.; Chen, Y.C. A review of the dietary flavonoid, kaempferol on human health and cancer chemoprevention. Food Chem. 2013, 138, 2099–2107. [Google Scholar] [CrossRef] [PubMed]
- Cid-Ortega, S.; Monroy-Rivera, J.A. Extraction of kaempferol and its glycosides using supercritical fluids from plant sources: A review. Food Technol. Biotechnol. 2018, 56, 480–493. [Google Scholar] [CrossRef] [PubMed]
- Tatsimo, S.J.N.; Tamokou, J.D.D.; Havyarimana, L.; Csupor, D.; Forgo, P.; Hohmann, J.; Kuiate, J.R.; Tane, P. Antimicrobial and antioxidant activity of kaempferol rhamnoside derivatives from Bryophyllum pinnatum. BMC Res. Notes 2012, 5, 158. [Google Scholar] [CrossRef] [PubMed]
- Wang, J.; Fang, X.; Ge, L.; Cao, F.; Zhao, L.; Wang, Z.; Xiao, W. Antitumor, antioxidant and anti-inflammatory activities of kaempferol and its corresponding glycosides and the enzymatic preparation of kaempferol. PLoS ONE 2018, 13, e0197563. [Google Scholar] [CrossRef]




| Sample | TPC (mg GAE/g) | TFC (mg QE/g) | TAC (µg C3GE/g) | TBC (µg Betalains/g) |
|---|---|---|---|---|
| Beetroot | 1.02 ± 0.01 | 0.97 ± 0.01 | - | 899.1 ± 10.9 |
| Red onion | 1.33 ± 0.09 | 0.47 ± 0.02 | 5.13 ± 0.36 | - |
| Yellow onion | 0.95 ± 0.02 | 0.20 ± 0.02 | 0.67 ± 0.24 | - |
| Garlic | 0.96 ± 0.01 | 0.33 ± 0.01 | 0.75 ± 0.12 | - |
| Orange carrot | 0.39 ± 0.02 | 0.26 ± 0.05 | 1.85 ± 0.24 | - |
| White carrot | 0.53 ± 0.01 | 0.76 ± 0.17 | 4.15 ± 0.24 | - |
| Watercress | 1.10 ± 0.03 | 2.55 ± 0.04 | 13.2 ± 3.65 | - |
| Spinach | 1.00 ± 0.02 | 2.52 ± 0.12 | 0.99 ± 0.23 | - |
| Broccoli | 0.96 ± 0.02 | 1.30 ± 0.03 | 4.10 ± 0.12 | - |
| Tamarillo | 1.10 ± 0.02 | 0.69 ± 0.01 | 17.3 ± 0.23 | - |
| Tomato | 0.52 ± 0.02 | 0.24 ± 0.02 | 1.21 ± 0.34 | - |
| No. | Analytes | Rt a (min) | λmax b (nm) | Regression Equation | R2 | Mandel Test | LOD (µg/mL) | LOQ (µg/mL) | Concentration Level (µg/mL) | Precision (RSD%) | Trueness (Bias %) | Recovery ± σ (%) | ||
|---|---|---|---|---|---|---|---|---|---|---|---|---|---|---|
| TV c | F (0.95; 1; N-3) d | Intra-day (n = 6) | Inter-day (n = 18) | |||||||||||
| 1 | Protocatechuic acid | 2.825 | 259 | 7.6389x − 29.253 | 0.9972 | 1.98 | 18.5 | 0.10 | 0.30 | 5 | 19 | 20 | −19 | 65 ± 4 |
| 10 | 2 | 14 | −2 | 77 ± 7 | ||||||||||
| 25 | 14 | 10 | −11 | 86 ± 2 | ||||||||||
| 2 | (+)-Catechin | 3.222 | 278 | 0.9936x − 5.1953 | 0.9892 | 1.79 | 18.5 | 0.20 | 0.60 | 5 | 20 | 20 | 20 | 77 ± 1 |
| 10 | 18 | 17 | 15 | 68 ± 4 | ||||||||||
| 15 | 16 | 15 | 2 | 97 ± 3 | ||||||||||
| 3 | Gentisic acid | 3.856 | 327 | 0.9141x + 0.2776 | 0.9996 | 1.93 | 18.5 | 0.04 | 0.12 | 5 | 20 | 18 | 7 | 86 ± 11 |
| 10 | 12 | 20 | 1 | 102 ± 7 | ||||||||||
| 25 | 11 | 6 | 7 | 109 ± 2 | ||||||||||
| 4 | Vanillic acid | 4.522 | 261 | 2.2658x − 1.562 | 0.9904 | 1.75 | 18.5 | 0.19 | 0.57 | 5 | 7 | 8 | −14 | 78 ± 7 |
| 10 | 10 | 15 | −14 | 79 ± 7 | ||||||||||
| 25 | 13 | 7 | −11 | 106 ± 2 | ||||||||||
| 5 | Syringaldehyde | 5.322 | 308 | 2.2374x − 2.1762 | 0.9981 | 1.94 | 18.5 | 0.08 | 0.25 | 5 | 16 | 14 | −18 | 72 ± 13 |
| 10 | 15 | 17 | −10 | 88 ± 4 | ||||||||||
| 25 | 14 | 8 | 10 | 104 ± 5 | ||||||||||
| 6 | p-Coumaric acid | 5.688 | 309 | 4.75x − 2.2961 | 0.9891 | 1.23 | 18.5 | 0.20 | 0.61 | 5 | 10 | 14 | −20 | 97 ± 4 |
| 10 | 9 | 17 | −3 | 87 ± 2 | ||||||||||
| 25 | 13 | 8 | 0.5 | 112 ± 4 | ||||||||||
| 7 | Ferulic acid | 6.038 | 323 | 2.9341x − 0.991 | 0.9925 | 0.91 | 18.5 | 0.17 | 0.50 | 5 | 4 | 8 | 2 | 92 ± 9 |
| 10 | 14 | 17 | −4 | 75 ± 21 | ||||||||||
| 25 | 9 | 9 | −6 | 103 ± 7 | ||||||||||
| 8 | m-Coumaric acid | 6.503 | 278 | 4.4605x + 5.4055 | 0.9930 | 1.87 | 18.5 | 0.16 | 0.48 | 5 | 11 | 18 | −1 | 69 ± 8 |
| 10 | 11 | 16 | −2 | 86 ± 11 | ||||||||||
| 25 | 14 | 7 | 0.3 | 102 ± 5 | ||||||||||
| 9 | o-Coumaric acid | 7.473 | 276 | 4.0666x + 0.831 | 0.9963 | 0.49 | 18.5 | 0.12 | 0.35 | 5 | 18 | 20 | −9 | 59 ± 1 |
| 10 | 8 | 9 | −6 | 80 ± 10 | ||||||||||
| 25 | 13 | 11 | −4 | 107 ± 4 | ||||||||||
| 10 | Cinnamic acid | 9.529 | 277 | 4.4086x + 0.0199 | 0.9984 | 1.71 | 18.5 | 0.08 | 0.23 | 5 | 20 | 20 | −20 | 92 ± 8 |
| 10 | 11 | 16 | −0,2 | 89 ± 5 | ||||||||||
| 25 | 13 | 9 | 6 | 102 ± 8 | ||||||||||
| 11 | Quercetin | 9.729 | 372 | 1.75x + 0.6423 | 0.9982 | 1.06 | 18.5 | 0.08 | 0.25 | 5 | 14 | 19 | −9 | 78 ± 14 |
| 10 | 13 | 16 | −4 | 79 ± 7 | ||||||||||
| 25 | 14 | 12 | 10 | 106 ± 8 | ||||||||||
| 12 | Kaempferol | 10.484 | 366 | 2.1524x + 1.2044 | 0.9972 | 0.99 | 18.5 | 0.10 | 0.31 | 5 | 19 | 20 | −5 | 80 ± 3 |
| 10 | 10 | 18 | −2 | 80 ± 3 | ||||||||||
| 25 | 14 | 13 | −8 | 105 ± 8 | ||||||||||
| Analytes | Concentrations ± σ (µg/g Mass Fresh) | ||||||||||
|---|---|---|---|---|---|---|---|---|---|---|---|
| Beetroot | Red Onion | Yellow Onion | Garlic | Orange Carrot | White Carrot | Watercress | Spinach | Broccoli | Tamarillo | Tomato | |
| Protocatechuic acid | n.d. | n.d. | n.d. | n.d. | 4.6 ± 0.2 | n.d. | 7.8 ± 0.2 | n.d. | n.d. | n.d. | n.d. |
| (+)-Catechin | n.d. | n.d. | n.d. | 5.3 ± 0.01 | 5.3 ± 0.01 | n.d. | n.d. | 5.8 ± 0.03 | 5.6 ± 0.03 | 14.8 ± 0.3 | 7.1 ± 0.02 |
| Gentisic acid | 2.5 ± 0.2 | n.d. | n.d. | n.d. | n.d. | n.d. | 6.9 ± 0.2 | 2.7 ± 0.3 | n.d. | 14.8 ± 0.5 | 3.0 ± 0.1 |
| Vanillic acid | n.d. | n.d. | n.d. | n.d. | 1.1 ± 0.04 | n.d. | n.d. | n.d. | n.d. | 5.8 ± 0.1 | n.d. |
| Seringaldehyde | 1.1 ± 0.01 | n.d. | n.d. | 1.0 ± 0.03 | 1.0 ± 0.03 | n.d. | n.d. | n.d. | n.d. | n.d. | n.d. |
| p-Coumaric acid | n.d. | n.d. | n.d. | n.d. | 0.7 ± 0.01 | n.d. | 0.7 ± 0.02 | n.d. | n.d. | n.d. | 0.7 ± 0.01 |
| Ferulic acid | 0.5 ± 0.01 | n.d. | n.d. | 0.5 ± 0.04 | 0.6 ± 0.1 | n.d. | 18.0 ± 0.5 | < LOQ | n.d. | n.d. | n.d. |
| m-Coumaric acid | n.d. | n.d. | n.d. | n.d. | < LOD | n.d. | n.d. | n.d. | n.d. | n.d. | < LOD |
| o-Coumaric acid | n.d. | n.d. | n.d. | n.d. | < LOD | n.d. | n.d. | < LOQ | n.d. | n.d. | n.d. |
| Cinnamic acid | n.d. | n.d. | n.d. | n.d. | 0.4 ± 0.2 | n.d. | n.d. | n.d. | n.d. | n.d. | n.d. |
| Quercitin | n.d. | 17.1 ± 0.5 | 5.3 ± 0.4 | n.d. | n.d. | n.d. | 0.4 ± 0.03 | n.d. | n.d. | n.d. | n.d. |
| Kaempferol | n.d. | 9.2 ± 0.4 | 2.4 ± 0.4 | n.d. | n.d. | n.d. | n.d. | n.d. | n.d. | n.d. | 1.1 ± 0.03 |
| Polyphenols | Chemical Structure | Bioactive Properties | Reference |
|---|---|---|---|
| Protocatechuic acid | ![]() | Antimicrobial, Anticancer, Antioxidant, Neuroprotective. | [69,70,71,72,73] |
| (+)-Catechin | ![]() | Antioxidant, Antibacterial, Anti-adipogenic, Anti-inflammatory | [74,75,76] |
| Gentisic acid | ![]() | Anti-inflammatory, Antirheumatic, Analgesic activities, Antioxidant, Anticancer. | [70,77,78,79] |
| Vanillic acid | ![]() | Antioxidant, Antimicrobial, Anticancer. | [80,81,82] |
| Syringaldehyde | ![]() | Antidiabetic, Anti-inflammatory, Antifungal, Antimicrobial | [83,84,85] |
| p-Coumaric acid | ![]() | Antioxidant, Antimicrobial, Antiviral, Antimutagenic, Anticancer, Analgesic, Antipyretic, Anti-ulcer, Anti-Arthritis, Antiplatelet aggregation, Anxiolytic. | [86,87,88,89,90,91] |
| Ferulic acid | ![]() | Antioxidant, Antimicrobial, Anti-inflammatory, Antidiabetic, Anticancer. | [92,93,94,95] |
| m-coumaric acid | ![]() | Antioxidant, Inhibitory effect on the proliferation of 3T3-L1 preadipocytes. | [96,97] |
| o-coumaric acid | ![]() | Anticarcinogenic, Antibacterial, Antialgal, Antilipidemic, Antioxidant, Anti-obesity. | [98,99,100] |
| Cinnamic acid | ![]() | Antimicrobial, Anticancer, Antioxidant, Antibacterial | [101,102,103] |
| Quercetin | ![]() | Anti-inflammatory, Anti-hypertensive, Vasodilator effect, Anti-obesity, Anti-hypercholesterolemic, Anti-atherosclerotic, Anticancer, Cytoprotective, Antidiabetic, Antioxidant, Antiviral, Antimicrobial | [104,105,106,107] |
| kaempferol | ![]() | Antioxidant, Anticancer, Antiangiogenic, Neuroprotective effect, Hepatoprotective effect, Antidiabetic, Antimicrobial | [108,109,110,111] |
© 2020 by the authors. Licensee MDPI, Basel, Switzerland. This article is an open access article distributed under the terms and conditions of the Creative Commons Attribution (CC BY) license (http://creativecommons.org/licenses/by/4.0/).
Share and Cite
Aguiar, J.; Gonçalves, J.L.; Alves, V.L.; Câmara, J.S. Chemical Fingerprint of Free Polyphenols and Antioxidant Activity in Dietary Fruits and Vegetables Using a Non-Targeted Approach Based on QuEChERS Ultrasound-Assisted Extraction Combined with UHPLC-PDA. Antioxidants 2020, 9, 305. https://doi.org/10.3390/antiox9040305
Aguiar J, Gonçalves JL, Alves VL, Câmara JS. Chemical Fingerprint of Free Polyphenols and Antioxidant Activity in Dietary Fruits and Vegetables Using a Non-Targeted Approach Based on QuEChERS Ultrasound-Assisted Extraction Combined with UHPLC-PDA. Antioxidants. 2020; 9(4):305. https://doi.org/10.3390/antiox9040305
Chicago/Turabian StyleAguiar, Joselin, João L. Gonçalves, Vera L. Alves, and José S. Câmara. 2020. "Chemical Fingerprint of Free Polyphenols and Antioxidant Activity in Dietary Fruits and Vegetables Using a Non-Targeted Approach Based on QuEChERS Ultrasound-Assisted Extraction Combined with UHPLC-PDA" Antioxidants 9, no. 4: 305. https://doi.org/10.3390/antiox9040305
APA StyleAguiar, J., Gonçalves, J. L., Alves, V. L., & Câmara, J. S. (2020). Chemical Fingerprint of Free Polyphenols and Antioxidant Activity in Dietary Fruits and Vegetables Using a Non-Targeted Approach Based on QuEChERS Ultrasound-Assisted Extraction Combined with UHPLC-PDA. Antioxidants, 9(4), 305. https://doi.org/10.3390/antiox9040305













