Combining Medicinal Plant In Vitro Culture with Machine Learning Technologies for Maximizing the Production of Phenolic Compounds
Abstract
1. Introduction
2. Materials and Methods
2.1. Chemicals
2.2. Plant Material
2.3. Extraction of Phenolic Compounds
2.4. Total Phenolic Content Determination
2.5. Flavonoid Content Determination
2.6. Radical Scavenging Activity Determination
2.7. Statistical Analysis
2.8. Modeling Tools
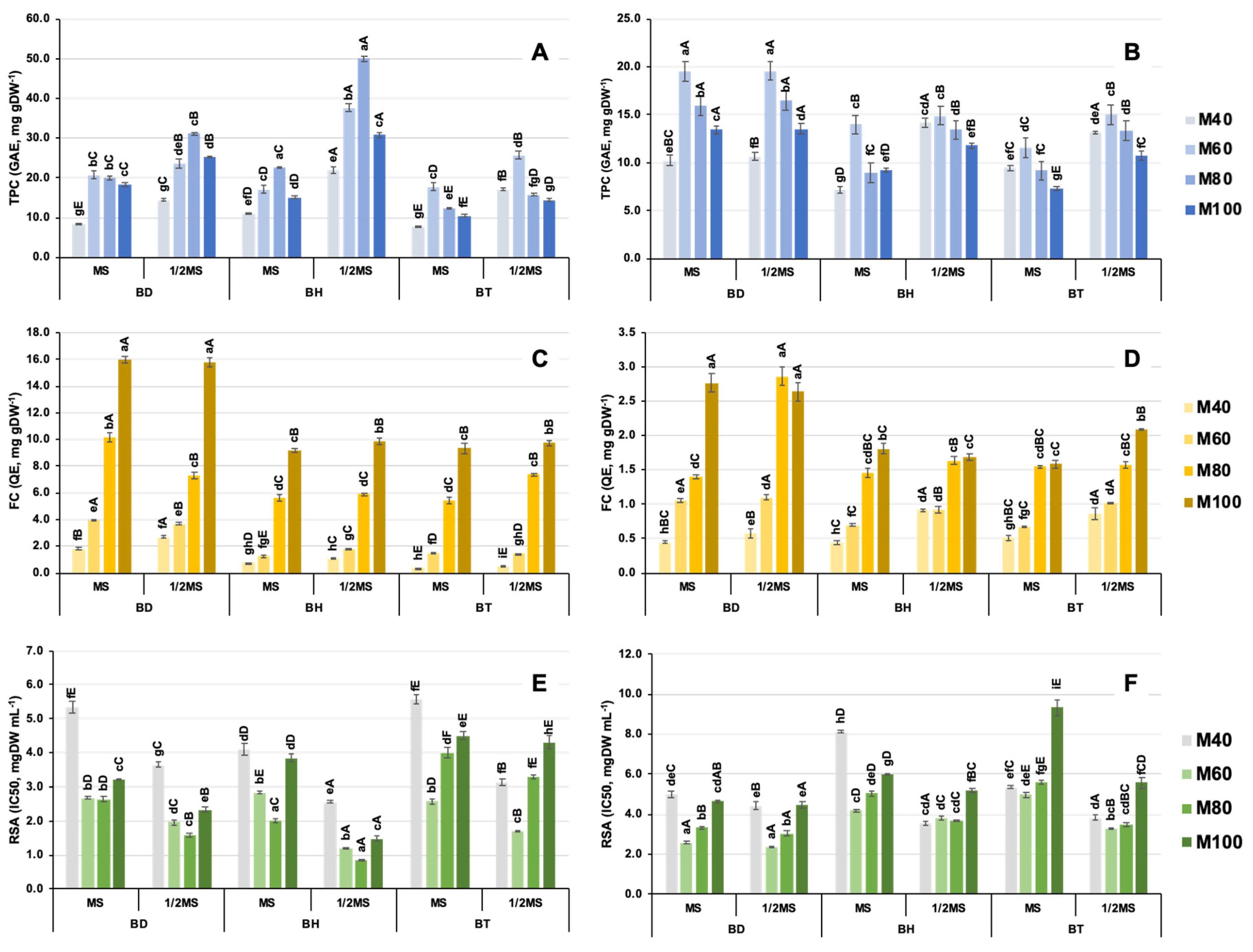
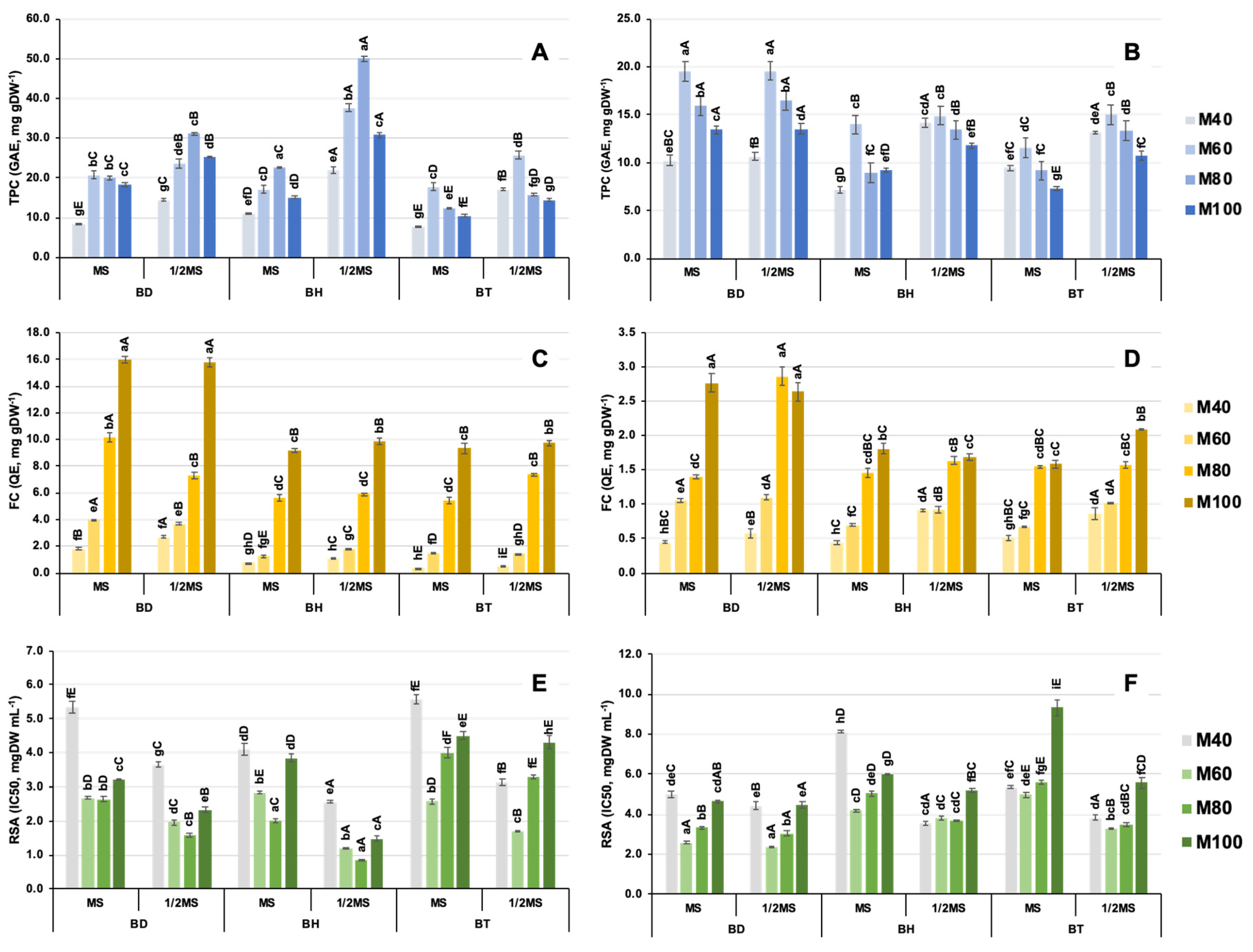
3. Results
4. Discussion
5. Conclusions
Supplementary Materials
Author Contributions
Funding
Acknowledgments
Conflicts of Interest
References
- Xu, D.P.; Li, Y.; Meng, X.; Zhou, T.; Zhou, Y.; Zheng, J.; Zhang, J.J.; Li, H.B. Natural antioxidants in foods and medicinal plants: Extraction, assessment and resources. Int. J. Mol. Sci. 2017, 18, 96. [Google Scholar] [CrossRef]
- García-Pérez, P.; Lozano-Milo, E.; Gallego, P.P.; Tojo, C.; Losada-Barreiro, S.; Bravo-Díaz, C. Plant Antioxidants in Food Emulsions. In Some New Aspects of Colloidal Systems in Food; Milani, J.M., Ed.; IntechOpen: Rijeka, Croatia, 2018; pp. 11–29. [Google Scholar]
- Guerriero, G.; Berni, R.; Muñoz-Sanchez, J.A.; Apone, F.; Abdel-Salam, E.M.; Qahtan, A.A.; Alatar, A.A.; Cantini, C.; Cai, G.; Hausman, J.F.; et al. Production of plant secondary metabolites: Examples, tips and suggestions for biotechnologists. Genes 2018, 9, 309. [Google Scholar] [CrossRef] [PubMed]
- Monfort, L.E.F.; Bertolucci, S.K.V.; Lima, A.F.; de Carvalho, A.A.; Mohammed, A.; Blank, A.F.; Pinto, J.E.B.P. Effects of plant growth regulators, different culture media and strength MS on production of volatile fraction composition in shoot cultures of Ocimum basilicum. Ind. Crops Prod. 2018, 116, 231–239. [Google Scholar] [CrossRef]
- García-Pérez, P.; Losada-Barreiro, S.; Gallego, P.P.; Bravo-Díaz, C. Adsorption of gallic acid, propyl gallate and polyphenols from Bryophyllum extracts on activated carbon. Sci. Rep. 2019, 9, 1–9. [Google Scholar] [CrossRef] [PubMed]
- Landín, M.; Rowe, R.C.; York, P. Advantages of neurofuzzy logic against conventional experimental design and statistical analysis in studying and developing direct compression formulations. Eur. J. Pharm. Sci. 2009, 38, 325–331. [Google Scholar] [CrossRef]
- Shao, Q.; Rowe, R.C.; York, P. Investigation of an artificial intelligence technology-Model trees. Novel applications for an immediate release tablet formulation database. Eur. J. Pharm. Sci. 2007, 31, 137–144. [Google Scholar] [CrossRef]
- García-Pérez, P.; Barreal, M.E.; Rojo-De Dios, L.; Cameselle-Teijeiro, J.F.; Gallego, P.P. Bioactive Natural Products From the Genus Kalanchoe as Cancer Chemopreventive Agents: A Review. In Studies in Natural Products Chemistry; Milani, J., Ed.; IntechOpen: Rijeka, Croatia, 2018; Volume 61, pp. 49–84. ISBN 9780444641830. [Google Scholar]
- Moniuszko-Szajwaj, B.; Pecio, Ł.; Kowalczyk, M.; Stochmal, A. New bufadienolides isolated from the roots of kalanchoe daigremontiana (crassulaceae). Molecules 2016, 21, 243. [Google Scholar] [CrossRef]
- Fürer, K.; Simões-Wüst, A.P.; Von Mandach, U.; Hamburger, M.; Potterat, O. Bryophyllum pinnatum and Related Species Used in Anthroposophic Medicine: Constituents, Pharmacological Activities, and Clinical Efficacy. Planta Med. 2016, 82, 930–941. [Google Scholar] [CrossRef]
- Bogucka-Kocka, A.; Zidorn, C.; Kasprzycka, M.; Szymczak, G.; Szewczyk, K. Phenolic acid content, antioxidant and cytotoxic activities of four Kalanchoë species. Saudi J. Biol. Sci. 2016, 25, 622–630. [Google Scholar] [CrossRef]
- Murashige, T.; Skoog, F. A Revised Medium for Rapid Growth and Bio Assays with Tobacco Tissue Cultures. Physiol. Plant. 1962, 15, 473–497. [Google Scholar] [CrossRef]
- Ainsworth, E.A.; Gillespie, K.M. Estimation of total phenolic content and other oxidation substrates in plant tissues using Folin-Ciocalteu reagent. Nat. Protoc. 2007, 2, 875–877. [Google Scholar] [CrossRef] [PubMed]
- Pękal, A.; Pyrzynska, K. Evaluation of Aluminium Complexation Reaction for Flavonoid Content Assay. Food Anal. Methods 2014, 7, 1776–1782. [Google Scholar] [CrossRef]
- Jagtap, U.B.; Waghmare, S.R.; Lokhande, V.H.; Suprasanna, P.; Bapat, V.A. Preparation and evaluation of antioxidant capacity of Jackfruit (Artocarpus heterophyllus Lam.) wine and its protective role against radiation induced DNA damage. Ind. Crops Prod. 2011, 34, 1595–1601. [Google Scholar] [CrossRef]
- Niedz, R.P.; Evens, T.J. A solution to the problem of ion. Nat. Methods 2006, 3, 34945. [Google Scholar] [CrossRef]
- Vapnik, V. Principles of risk minimization for learning theory. In Proceedings of the Advances in Neural Information Processing Systems, Denver, CO, USA, 30 November–3 December 1992; pp. 831–838. [Google Scholar]
- Gallego, P.P.; Gago, J.; Landin, M. Artificial Neural Networks Technology to Model and Predict Plant Biology Process. In Artificial Neural Networks—Methodological Advances and Biomedical Applications; Intech Open Access Publisher: Rijeka, Croatia, 2011. [Google Scholar]
- Colbourn, E.; Rowe, R. Encyclopaedia of Pharmaceutical Technology; Marcel Dekker: New York, NY, USA, 2005. [Google Scholar]
- Fierascu, R.C.; Fierascu, I.; Ortan, A.; Georgiev, M.I.; Sieniawska, E. Innovative Approaches for Recovery of Phytoconstituents from Medicinal/Aromatic Plants and Biotechnological Production. Molecules 2020, 25, 309. [Google Scholar] [CrossRef]
- Espinosa-Leal, C.A.; Puente-Garza, C.A.; García-Lara, S. In vitro plant tissue culture: Means for production of biological active compounds. Planta 2018, 248, 1–18. [Google Scholar] [CrossRef]
- Isah, T. Stress and defense responses in plant secondary metabolites production. Biol. Res. 2019, 52, 39. [Google Scholar] [CrossRef]
- Fürer, K.; Raith, M.; Brenneisen, R.; Mennet, M.; Simões-Wüst, A.P.; Von Mandach, U.; Hamburger, M.; Potterat, O. Two new flavonol glycosides and a metabolite profile of bryophyllum pinnatum, a phytotherapeutic used in obstetrics and gynaecology. Planta Med. 2013, 79, 1565–1571. [Google Scholar] [CrossRef]
- Mahata, S.; Maru, S.; Shukla, S.; Pandey, A.; Mugesh, G.; Das, B.C.; Bharti, A.C. Anticancer property of Bryophyllum pinnata (Lam.) Oken. leaf on human cervical cancer cells. BMC Complement. Altern. Med. 2012, 12, 15. [Google Scholar] [CrossRef]
- Huang, H.C.; Huang, G.J.; Liaw, C.C.; Yang, C.S.; Yang, C.P.; Kuo, C.L.; Tseng, Y.H.; Wang, S.Y.; Chang, W.T.; Kuo, Y.H. A new megastigmane from Kalanchoe tubiflora (Harvey) Hamet. Phytochem. Lett. 2013, 6, 379–382. [Google Scholar] [CrossRef]
- Kolodziejczyk-Czepas, J.; Nowak, P.; Wachowicz, B.; Piechocka, J.; Głowacki, R.; Moniuszko-Szajwaj, B.; Stochmal, A. Antioxidant efficacy of Kalanchoe daigremontiana bufadienolide-rich fraction in blood plasma in vitro. Pharm. Biol. 2016, 54, 3182–3188. [Google Scholar] [CrossRef]
- Rashid, M.A.; Sharker, S.M.; Hossain, M.K.; Haque, M.R.; Kabir, A.N.M.H.; Hasan, C.M. Phytochemical and Pharmacological Studies of Bryophyllum daigremontianum (Raym.). Am. J. Pharm. Tech. Res. 2013, 3, 484–492. [Google Scholar]
- Castro, P.H.; Lilay, G.H.; Assunção, A.G.L. Regulation of Micronutrient Homeostasis and Deficiency Response in Plants; Elsevier Inc.: Amsterdam, The Netherlands, 2018; ISBN 9780128122433. [Google Scholar]
- Blasco, B.; Navarro-León, E.; Ruiz, J.M. Oxidative Stress in Relation with Micronutrient Deficiency or Toxicity; Elsevier Inc.: Amsterdam, The Netherlands, 2018; ISBN 9780128122433. [Google Scholar]
- Ramakrishna, A.; Ravishankar, G.A. Influence of abiotic stress signals on secondary metabolites in plants. Plant Signal. Behav. 2011, 6, 1720–1731. [Google Scholar] [PubMed]
- Cramer, G.R.; Urano, K.; Delrot, S.; Pezzotti, M.; Shinozaki, K. Effects of abiotic stress on plants: A systems biology perspective. BMC Plant Biol. 2011, 11, 163. [Google Scholar] [CrossRef] [PubMed]
- Sharma, A.; Shahzad, B.; Rehman, A.; Bhardwaj, R.; Landi, M.; Zheng, B. Response of phenylpropanoid pathway and the role of polyphenols in plants under abiotic stress. Molecules 2019, 24, 2452. [Google Scholar] [CrossRef] [PubMed]
- Zhang, Z.; Lynch, J.P.; Zhang, B.; Wang, Q. NPK Deficiency Modulates Oxidative Stress in Plants; Elsevier Inc.: Amsterdam, The Netherlands, 2017; Volume 14, ISBN 9780128112946. [Google Scholar]
- Selmar, D.; Kleinwächter, M. Stress enhances the synthesis of secondary plant products: The impact of stress-related over-reduction on the accumulation of natural products. Plant Cell Physiol. 2013, 54, 817–826. [Google Scholar] [CrossRef]
- Ayuso, M.; Ramil-Rego, P.; Landin, M.; Gallego, P.P.; Barreal, M.E. Computer-assisted recovery of threatened plants: Keys for breaking seed dormancy of Eryngium viviparum. Front. Plant Sci. 2017, 8, 2092. [Google Scholar] [CrossRef]
- Arteta, T.A.; Hameg, R.; Landin, M.; Gallego, P.P.; Barreal, M.E. Neural networks models as decision-making tool for in vitro proliferation of hardy kiwi. Eur. J. Hortic. Sci. 2018, 83, 259–265. [Google Scholar] [CrossRef]
- Pereira, P.N.; Cushman, J.C. Exploring the relationship between crassulacean acid metabolism (CAM) and mineral nutrition with a special focus on nitrogen. Int. J. Mol. Sci. 2019, 20, 4363. [Google Scholar] [CrossRef]
- Góraj-Koniarska, J.; Stochmal, A.; Oleszek, W.; Mołdoch, J.; Saniewski, M. Elicitation of anthocyanin production in roots of Kalanchoe blossfeldiana by methyl jasmonate. Acta Biol. Crac. Ser. Bot. 2015, 57, 141–148. [Google Scholar] [CrossRef]
- Góraj, J.; Węgrzynowicz-Lesiak, E.; Saniewski, M. The effect of some plant growth regulators and their combination with methyl jasmonate on anthocyanin formation in roots of Kalanchoe blossfeldiana. J. Hortic. Res. 2014, 22, 31–40. [Google Scholar] [CrossRef]
- García-Pérez, P.; Losada-Barreiro, S.; Gallego, P.P.; Bravo-Díaz, C. Cyclodextrin-elicited bryophyllum suspension cultured cells: Enhancement of the production of bioactive compounds. Int. J. Mol. Sci. 2019, 20, 5180. [Google Scholar] [CrossRef] [PubMed]
- António, J.Q.; Mota, F.L.; Pinho, S.P.; Macedo, E.A. Solubilities of biologically active phenolic compounds: Measurements and modeling. J. Phys. Chem. B 2009, 113, 3469–3476. [Google Scholar]
- Nielsen, A.H.; Olsen, C.E.; Møller, B.L. Flavonoids in flowers of 16 Kalanchoë blossfeldiana varieties. Phytochemistry 2005, 66, 2829–2835. [Google Scholar] [CrossRef] [PubMed]
- Apak, R.; Özyürek, M.; Güçlü, K.; Çapanoʇlu, E. Antioxidant activity/capacity measurement. 1. Classification, physicochemical principles, mechanisms, and electron transfer (ET)-based assays. J. Agric. Food Chem. 2016, 64, 997–1027. [Google Scholar] [CrossRef]
- Galanakis, C.M.; Goulas, V.; Tsakona, S.; Manganaris, G.A.; Gekas, V. A knowledge base for the recovery of natural phenols with different solvents. Int. J. Food Prop. 2013, 16, 382–396. [Google Scholar] [CrossRef]
- Oroian, M.; Escriche, I. Antioxidants: Characterization, natural sources, extraction and analysis. Food Res. Int. 2015, 74, 10–36. [Google Scholar] [CrossRef]
- Foti, M.C.; Daquino, C.; Dilabio, G.A.; Ingold, K.U. Kinetics of the oxidation of quercetin by 2,2-diphenyl-1-picrylhydrazyl (dpph•). Org. Lett. 2011, 13, 4826–4829. [Google Scholar] [CrossRef]
- Plumb, G.W.; Price, K.R.; Williamson, G. Antioxidant properties of flavonol glycosides from green beans. Redox Rep. 1999, 4, 123–127. [Google Scholar] [CrossRef]
- Tsao, R.; Deng, Z. Separation procedures for naturally occurring antioxidant phytochemicals. J. Chromatogr. B 2004, 812, 85–99. [Google Scholar] [CrossRef]


| Ions | MS (mM) | 1/2 MS (mM) |
|---|---|---|
| NO3− | 39.4 | 19.7 |
| NH4+ | 20.6 | 10.3 |
| K+ | 20.0 | 10.0 |
| Cl− | 5.99 | 2.99 |
| Ca2+ | 2.99 | 1.50 |
| Mg2+ | 1.50 | 0.75 |
| HPO42− | 1.25 | 0.62 |
| SO42− | 1.76 | 1.01 |
| Minimization Parameters |
|---|
| Ridge regression factor: 1 × 10−6 |
| MODEL SELECTION CRITERIA |
| Structural risk minimization (SRM) |
| C1 ≥ 0.85 C2 = 4.8 |
| Number of set densities: 2 |
| Set densities: 2, 3 |
| Adapt nodes: TRUE |
| Max. inputs per submodel: 4 |
| Max. nodes per input: 15 |
| Outputs | Submodel | Train Set R2 | F ratio | df1, df2 | f Critical (α < 0.05) | Significant Inputs |
|---|---|---|---|---|---|---|
| TPC | 1 | 75.75 | 10.22 | 11, 47 | 2.00 | Organ × NH4+ |
| 2 | Solvent | |||||
| 3 | Genotype × Organ | |||||
| FC | 1 | 98.10 | 83.23 | 18, 47 | 1.83 | Genotype × Organ × Solvent |
| RSA | 1 | 72.33 | 14.94 | 7, 47 | 2.21 | Organ |
| 2 | NH4+ | |||||
| 3 | Solvent | |||||
| 4 | Genotype |
| Rules | Gen. | Org. 1 | Solv. 2 | NH4+ | TPC | FC | RSA | Membership | ||
|---|---|---|---|---|---|---|---|---|---|---|
| 1 | IF | A | Low | THEN | High | 0.75 | ||||
| 2 | A | High | Low | 0.99 | ||||||
| 3 | R | Low | Low | 0.85 | ||||||
| 4 | R | High | Low | 1.00 | ||||||
| 5 | Low | Low | 1.00 | |||||||
| 6 | Mid | High | 0.70 | |||||||
| 7 | High | Low | 0.83 | |||||||
| 8 | BH | A | High | 0.63 | ||||||
| 9 | BH | R | Low | 1.00 | ||||||
| 10 | BD | A | Low | 0.76 | ||||||
| 11 | BD | R | Low | 0.80 | ||||||
| 12 | BT | A | Low | 1.00 | ||||||
| 13 | BT | R | Low | 1.00 | ||||||
| 14 | IF | BH | A | Low | THEN | Low | 0.98 | |||
| 15 | BD | A | Low | Low | 0.88 | |||||
| 16 | BT | A | Low | Low | 1.00 | |||||
| 17 | BH | R | Low | Low | 0.98 | |||||
| 18 | BD | R | Low | Low | 0.99 | |||||
| 19 | BT | R | Low | Low | 0.98 | |||||
| 20 | BH | A | Mid | Low | 0.84 | |||||
| 21 | BD | A | Mid | Low | 0.71 | |||||
| 22 | BT | A | Mid | Low | 0.80 | |||||
| 23 | BH | R | Mid | Low | 0.95 | |||||
| 24 | BD | R | Mid | Low | 0.92 | |||||
| 25 | BT | R | Mid | Low | 0.95 | |||||
| 26 | BH | A | High | High | 0.60 | |||||
| 27 | BD | A | High | High | 1.00 | |||||
| 28 | BT | A | High | High | 0.60 | |||||
| 29 | BH | R | High | Low | 0.91 | |||||
| 30 | BD | R | High | Low | 0.85 | |||||
| 31 | BT | R | High | Low | 0.90 | |||||
| 32 | IF | A | THEN | Low | 0.97 | |||||
| 33 | R | High | 0.81 | |||||||
| 34 | Low | Low | 0.90 | |||||||
| 35 | High | High | 0.74 | |||||||
| 36 | Low | High | 0.61 | |||||||
| 37 | Mid | Low | 1.00 | |||||||
| 38 | High | High | 0.67 | |||||||
| 39 | BH | Low | 0.79 | |||||||
| 40 | BD | Low | 0.94 | |||||||
| 41 | BT | High | 0.57 |
© 2020 by the authors. Licensee MDPI, Basel, Switzerland. This article is an open access article distributed under the terms and conditions of the Creative Commons Attribution (CC BY) license (http://creativecommons.org/licenses/by/4.0/).
Share and Cite
García-Pérez, P.; Lozano-Milo, E.; Landín, M.; Gallego, P.P. Combining Medicinal Plant In Vitro Culture with Machine Learning Technologies for Maximizing the Production of Phenolic Compounds. Antioxidants 2020, 9, 210. https://doi.org/10.3390/antiox9030210
García-Pérez P, Lozano-Milo E, Landín M, Gallego PP. Combining Medicinal Plant In Vitro Culture with Machine Learning Technologies for Maximizing the Production of Phenolic Compounds. Antioxidants. 2020; 9(3):210. https://doi.org/10.3390/antiox9030210
Chicago/Turabian StyleGarcía-Pérez, Pascual, Eva Lozano-Milo, Mariana Landín, and Pedro Pablo Gallego. 2020. "Combining Medicinal Plant In Vitro Culture with Machine Learning Technologies for Maximizing the Production of Phenolic Compounds" Antioxidants 9, no. 3: 210. https://doi.org/10.3390/antiox9030210
APA StyleGarcía-Pérez, P., Lozano-Milo, E., Landín, M., & Gallego, P. P. (2020). Combining Medicinal Plant In Vitro Culture with Machine Learning Technologies for Maximizing the Production of Phenolic Compounds. Antioxidants, 9(3), 210. https://doi.org/10.3390/antiox9030210

