Properties of a New Food Supplement Containing Actinia equina Extract
Abstract
1. Introduction
2. Materials and Methods
2.1. Chemicals
2.2. Samples
2.3. Lipid Extraction and Determination of Fatty Acids
2.4. Phytosterols and Triterpenic Alcohols Analysis
2.5. Carotenoids Extraction and Analysis by High Performance Liquid Chromatography Coupled to a Diode Array Detector with Atmospheric Pressure Chemical Ionization and Mass Spectrometry (HPLC-DAD-APCI-MS)
2.6. Polyphenols Extraction and Determination by Ultra High Performance Liquid Chromatography Coupled to a Diode Array Detector with Atmospheric Pressure Chemical Ionization and Mass Spectrometry (UHPLC-DAD-MS)
2.7. Aminoacidic Extraction and NMR Analyses
2.8. In-Vitro Study
2.8.1. MTT Assay
2.8.2. Malondialdehyde Assay (MDA Assay)
2.8.3. Western Blot Analysis
2.9. In Vivo Study
2.9.1. Animals
2.9.2. CAR-Induced Paw Edema
2.9.3. Experimental Groups
2.9.4. Histological Examination
2.9.5. Myeloperoxidase (MPO) Activity
2.9.6. Western Blot Analysis
2.10. Statistical Analysis
3. Results
3.1. Fatty Acids
3.2. Phytosterols and Triterpenic Alcohols
3.3. Carotenoids
3.4. Polyphenols
3.5. Amino Acids
3.6. Antioxidant Effect of AE Extract in RAW 264.7 Cell Cultures Stimulated with H2O2 and in MDA Level
3.7. Effect of AE Extract on Antioxidant Enzymes In Vitro
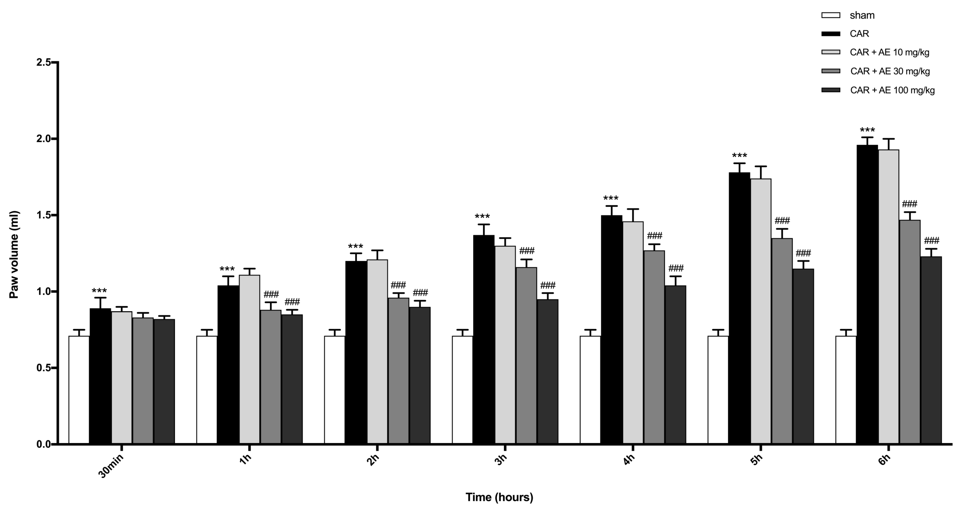
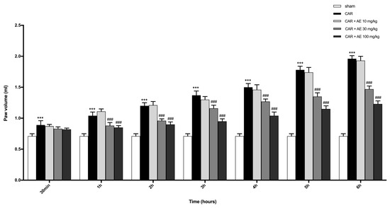
3.8. Effect of AE at Different Doses on Paw Edema Volume following CAR-Injection in Rats
3.9. Effect of AE Extract on CAR-Induced Histological Damage and Neutrophilic Infiltration
3.10. AE Extract Modulated Pro-Inflammatory Enzymes and NF-κB Pathway in Rat Paw Tissue
3.11. AE Extract Improved the Antioxidant Response in Rat Paw Tissue
4. Discussion
5. Conclusions
Author Contributions
Funding
Conflicts of Interest
References
- Lin, X.Y.; Ishida, M.; Nagashima, Y.; Shiomi, K. A polypeptide toxin in the sea anemone Actinia equina homologous with other sea anemone sodium channel toxins: Isolation and amino acid sequence. Toxicon 1996, 34, 57–65. [Google Scholar] [CrossRef]
- Chomsky, O.; Douek, J.; Chadwick, N.; Dubinsky, Z.; Rinkevich, B. Biological and population-genetic aspects of the sea anemone Actinia equina (Cnidaria: Anthozoa) along the Mediterranean coast of Israel. J. Exp. Mar. Biol. Ecol. 2009, 375, 16–20. [Google Scholar] [CrossRef]
- Chintiroglou, C.; Koukouras, A. The feeding habits of three Mediterranean sea anemone species, Anemonia viridis (Forskål), Actinia equina (Linnaeus) andCereus pedunculatus (Pennant). Helgoländer Meeresunters. 1992, 46, 53–68. [Google Scholar] [CrossRef]
- Marino, A. A proposito delle Attinie commestibili-La Condylactis aurantiaca della Strea (Porto Cesareo). Thalass. Salentina 1985, 15, 71–74. [Google Scholar]
- Berge, J.P.; Barnathan, G. Fatty acids from lipids of marine organisms: Molecular biodiversity, roles as biomarkers, biologically active compounds, and economical aspects. Adv. Biochem. Eng. Biotechnol. 2005, 96, 49–125. [Google Scholar] [CrossRef] [PubMed]
- Maoka, T. Carotenoids in marine animals. Mar. Drugs 2011, 9, 278–293. [Google Scholar] [CrossRef]
- Milkova, T.S.; Popov, S.; St, N.A. Sterols from black sea Actinaria species. Comp. Biochem. Physiol. Part B Comp. Biochem. 1987, 87, 267–269. [Google Scholar] [CrossRef]
- European Union Commission. Commission Implementing Regulation No 1348/2013 of December 17 2013. Off. J. Eur. Union 2013, 338, 31–67. [Google Scholar]
- Naccari, C.; Rando, R.; Savo, A.; Donanto, D.; Bartolomeo, G.; Mangalo, V.; Turco, V.L.; Dugo, G. Study on the composition and quality of several Sicilian EVOOs (harvesting year 2015). Ital. J. Fat. Subst. 2017, 94, 231–237. [Google Scholar]
- Salvo, A.; Giuffrida, D.; Rotondo, A.; Pasquale, P.; La Torre, G.L.; Dugo, G. Determination and quantification of carotenoids in sea sponges Raspaciona aculeata and Dictyonella marsilii present in the Ganzirri Lake (Messina), Italy. Nat. Prod. Res. 2017, 31, 2397–2404. [Google Scholar] [CrossRef]
- Certo, G.; Costa, R.; D’Angelo, V.; Russo, M.; Albergamo, A.; Dugo, G.; Germano, M.P. Anti-angiogenic activity and phytochemical screening of fruit fractions from Vitex agnus castus. Nat. Prod. Res. 2017, 31, 2850–2856. [Google Scholar] [CrossRef]
- Mangano, V.; Gervasi, T.; Rotondo, A.; De Pasquale, P.; Dugo, G.; Macri, F.; Salvo, A. Protein hydrolysates from anchovy waste: Purification and chemical characterization. Nat. Prod. Res. 2019, 1–8. [Google Scholar] [CrossRef] [PubMed]
- Rotondo, A.; Mannina, L.; Salvo, A. Multiple assignment recovered analysis (MARA) NMR for a direct food labeling: The case study of olive oils. Food Anal. Methods 2019, 12, 1238–1245. [Google Scholar] [CrossRef]
- Rotondo, A.; Salvo, A.; Gallo, V.; Rastrelli, L.; Dugo, G. Quick unreferenced NMR quantification of Squalene in vegetable oils. Eur. J. Lipid Sci. Technol. 2017, 119, 1700151. [Google Scholar] [CrossRef]
- Mei, S.; Song, X.; Wang, Y.; Wang, J.; Su, S.; Zhu, J.; Geng, Y. Studies on Protection of Astaxanthin from Oxidative Damage Induced by H2O2 in RAW 264.7 Cells Based on (1)H NMR Metabolomics. J. Agric. Food Chem. 2019, 67, 13568–13576. [Google Scholar] [CrossRef]
- Filippone, A.; Lanza, M.; Campolo, M.; Casili, G.; Paterniti, I.; Cuzzocrea, S.; Esposito, E. Protective effect of sodium propionate in Abeta1-42-induced neurotoxicity and spinal cord trauma. Neuropharmacology 2020, 166, 107977. [Google Scholar] [CrossRef]
- Giannetto, A.; Esposito, E.; Lanza, M.; Oliva, S.; Riolo, K.; Di Pietro, S.; Abbate, J.M.; Briguglio, G.; Cassata, G.; Cicero, L.; et al. Protein Hydrolysates from Anchovy (Engraulis encrasicolus) Waste: In Vitro and In Vivo Biological Activities. Mar. Drugs 2020, 18, 86. [Google Scholar] [CrossRef]
- Paterniti, I.; Impellizzeri, D.; Cordaro, M.; Siracusa, R.; Bisignano, C.; Gugliandolo, E.; Carughi, A.; Esposito, E.; Mandalari, G.; Cuzzocrea, S. The Anti-Inflammatory and Antioxidant Potential of Pistachios (Pistacia vera L.) In Vitro and In Vivo. Nutrients 2017, 9, 915. [Google Scholar] [CrossRef]
- Esposito, E.; Campolo, M.; Casili, G.; Lanza, M.; Franco, D.; Filippone, A.; Peritore, A.F.; Cuzzocrea, S. Protective Effects of Xyloglucan in Association with the Polysaccharide Gelose in an Experimental Model of Gastroenteritis and Urinary Tract Infections. Int. J. Mol. Sci. 2018, 19, 1844. [Google Scholar] [CrossRef]
- Petrosino, S.; Campolo, M.; Impellizzeri, D.; Paterniti, I.; Allara, M.; Gugliandolo, E.; D’Amico, R.; Siracusa, R.; Cordaro, M.; Esposito, E.; et al. 2-Pentadecyl-2-Oxazoline, the Oxazoline of Pea, Modulates Carrageenan-Induced Acute Inflammation. Front. Pharmacol. 2017, 8, 308. [Google Scholar] [CrossRef]
- Vlasova, I.I. Peroxidase Activity of Human Hemoproteins: Keeping the Fire under Control. Molecules 2018, 23, 2561. [Google Scholar] [CrossRef]
- Casili, G.; Cordaro, M.; Impellizzeri, D.; Bruschetta, G.; Paterniti, I.; Cuzzocrea, S.; Esposito, E. Dimethyl Fumarate Reduces Inflammatory Responses in Experimental Colitis. J. Crohns Colitis 2016, 10, 472–483. [Google Scholar] [CrossRef] [PubMed]
- Impellizzeri, D.; Esposito, E.; Di Paola, R.; Ahmad, A.; Campolo, M.; Peli, A.; Morittu, V.M.; Britti, D.; Cuzzocrea, S. Palmitoylethanolamide and luteolin ameliorate development of arthritis caused by injection of collagen type II in mice. Arthritis Res. Ther. 2013, 15, R192. [Google Scholar] [CrossRef] [PubMed]
- Cordaro, M.; Siracusa, R.; Crupi, R.; Impellizzeri, D.; Peritore, A.F.; D’Amico, R.; Gugliandolo, E.; Di Paola, R.; Cuzzocrea, S. 2-Pentadecyl-2-Oxazoline Reduces Neuroinflammatory Environment in the MPTP Model of Parkinson Disease. Mol. Neurobiol. 2018, 55, 9251–9266. [Google Scholar] [CrossRef] [PubMed]
- Gonzalez-Silvera, D.; Izquierdo-Gomez, D.; Fernandez-Gonzalez, V.; Martinez-Lopez, F.J.; Lopez-Jimenez, J.A.; Sanchez-Jerez, P. Mediterranean fouling communities assimilate the organic matter derived from coastal fish farms as a new trophic resource. Mar. Pollut. Bull. 2015, 91, 45–53. [Google Scholar] [CrossRef] [PubMed]
- Joseph, J.D. Lipid composition of marine and estuarine invertebrates: Porifera and cnidaria. Prog. Lipid Res. 1979, 18, 1–30. [Google Scholar] [CrossRef]
- Stefanov, K.L.; Christie, W.W.; Brechany, E.Y.; Popov, S.S.; Andreev, S.N. Lipid composition of the red and green forms of Actina equinia from the black sea. Comp. Biochem. Physiol. Part B Comp. Biochem. 1992, 103, 687–690. [Google Scholar] [CrossRef]
- Surm, J.M.; Toledo, T.M.; Prentis, P.J.; Pavasovic, A. Insights into the phylogenetic and molecular evolutionary histories of Fad and Elovl gene families in Actiniaria. Ecol. Evol. 2018, 8, 5323–5335. [Google Scholar] [CrossRef]
- Thangaraj, S.; Bragadeeswaran, S.; Gokula, V. Fatty acid composition of select sea anemones from Mandapam Coast, Tamil Nadu. NISCAIR-CSIR 2019, 1232–1237. [Google Scholar]
- Yatkın, K.; Ayas, D.; Riza Köşker, A.; Durmuş, M.; Uçar, Y. Seasonal Changes in the Chemical Composition of the Beadlet Anemones (Actinia equina) from Mersin Bay, Northeastern Mediterranean coast of Turkey. Nat. Eng. Sci. 2017, 2, 11–20. [Google Scholar] [CrossRef][Green Version]
- Simopoulos, A.P. The importance of the omega-6/omega-3 fatty acid ratio in cardiovascular disease and other chronic diseases. Exp. Biol. Med. 2008, 233, 674–688. [Google Scholar] [CrossRef]
- Dorée, C. The occurrence and distribution of cholesterol and allied bodies in the animal kingdom. Biochem. J. 1909, 4, 72–106. [Google Scholar] [CrossRef] [PubMed]
- Sica, D.; Boniforti, L.; Di Giacomo, G. Sterol composition of two actiniaria. Comp. Biochem. Physiol. Part B Comp. Biochem. 1981, 70, 153–156. [Google Scholar] [CrossRef]
- Czeczuga, B. Investigations of carotenoids in some fauna of the Adriatic Sea. II. Anemonia sulcata and Actinia equina (Coelenterata: Anthozoa). Mar. Biol. 1972, 13, 124–126. [Google Scholar] [CrossRef]
- Francis, G.; Hertzberg, S.; Upadhyay, R.; Liaaen-Jensen, S. Animal carotenoids 6. The structures of roserythrin and the parent nor-carotenoid. Acta Chem. Scand. 1972, 26, 3–16. [Google Scholar] [CrossRef]
- Leboeuf, R.D.; McCommas, S.A.; Howe, N.R.; Tauber, J.D. The role of carotenoids in the color polymorphism of the sea anemone, Bunodosoma granulifera (Anthozoa: Actiniaria). Comp. Biochem. Physiol. Part B Comp. Biochem. 1981, 68, 25–29. [Google Scholar] [CrossRef]
- Fabre, R.; Lederer, E. Contribution à l’étude des lipochromes des animaux. Bull. Soc. Chim. Biol 1934, 16, 105–118. [Google Scholar]
- Hertzberg, S.; Liaaen-Jensen, S.; Enzell, C.; Francis, G. Animal carotenoids. 3. The carote-noids of Actinia equina-structure determination of actinioerythrin and violerythrin. Acta Chem. Scand. 1969, 23, 3290–3312. [Google Scholar] [CrossRef][Green Version]
- Tauber, J.D.; Fiksdahl, A.; Liaaen-Jensen, S. Nor-carotenoids from sea anemones. Biochem. Syst. Ecol. 1980, 8, 437–439. [Google Scholar] [CrossRef]
- Fraga, C.G.; Croft, K.D.; Kennedy, D.O.; Tomas-Barberan, F.A. The effects of polyphenols and other bioactives on human health. Food Funct. 2019, 10, 514–528. [Google Scholar] [CrossRef]
- Shick, J.M. A Functional Biology of Sea Anemones; Springer Science & Business Media: Berlin/Heidelberg, Germany, 2012. [Google Scholar]
- Bakhiya, N.; Richter, K.; Ziegenhagen, R.; Hirsch-Ernst, K.I.; Lampen, A. Food Supplements-Considerations in Medical Practice. Dtsch Med. Wochenschr. 2018, 143, 722–729. [Google Scholar] [CrossRef]
- Galasso, C.; Gentile, A.; Orefice, I.; Ianora, A.; Bruno, A.; Noonan, D.M.; Sansone, C.; Albini, A.; Brunet, C. Microalgal Derivatives as Potential Nutraceutical and Food Supplements for Human Health: A Focus on Cancer Prevention and Interception. Nutrients 2019, 11, 1226. [Google Scholar] [CrossRef]
- Suleria, H.A.; Osborne, S.; Masci, P.; Gobe, G. Marine-Based Nutraceuticals: An Innovative Trend in the Food and Supplement Industries. Mar. Drugs 2015, 13, 6336–6351. [Google Scholar] [CrossRef]
- Stabili, L.; Schirosi, R.; Parisi, M.G.; Piraino, S.; Cammarata, M. The Mucus of Actinia equina (Anthozoa, Cnidaria): An Unexplored Resource for Potential Applicative Purposes. Mar. Drugs 2015, 13, 5276–5296. [Google Scholar] [CrossRef]
- Silva, T.C.; de Andrade, P.B.; Paiva-Martins, F.; Valentao, P.; Pereira, D.M. In Vitro Anti-Inflammatory and Cytotoxic Effects of Aqueous Extracts from the Edible Sea Anemones Anemonia sulcata and Actinia equina. Int. J. Mol. Sci. 2017, 18, 653. [Google Scholar] [CrossRef] [PubMed]
- Giraldi, T.; Ferlan, I.; Romeo, D. Antitumor activity of equinatoxin. Chem. Biol. Interact. 1976, 13, 199–203. [Google Scholar] [CrossRef]
- Kahn, S.A.; Biasoli, D.; Garcia, C.; Geraldo, L.H.; Pontes, B.; Sobrinho, M.; Frauches, A.C.; Romao, L.; Soletti, R.C.; Assuncao Fdos, S.; et al. Equinatoxin II potentiates temozolomide-and etoposide-induced glioblastoma cell death. Curr. Top. Med. Chem. 2012, 12, 2082–2093. [Google Scholar] [CrossRef]
- Leon-Palmero, E.; Joglar, V.; Alvarez, P.A.; Martin-Platero, A.; Llamas, I.; Reche, I. Diversity and antimicrobial potential in sea anemone and holothurian microbiomes. PLoS ONE 2018, 13, e0196178. [Google Scholar] [CrossRef] [PubMed]
- Sinha, N.; Dabla, P.K. Oxidative stress and antioxidants in hypertension-a current review. Curr Hypertens Rev. 2015, 11, 132–142. [Google Scholar] [CrossRef] [PubMed]
- Graier, W.F.; Hecker, M. Endothelial H2O2: A bad guy turning good? Arter. Thromb. Vasc. Biol. 2008, 28, 1691–1693. [Google Scholar] [CrossRef] [PubMed][Green Version]
- Tsikas, D. Assessment of lipid peroxidation by measuring malondialdehyde (MDA) and relatives in biological samples: Analytical and biological challenges. Anal. Biochem. 2017, 524, 13–30. [Google Scholar] [CrossRef] [PubMed]
- Veal, E.; Jackson, T.; Latimer, H. Role/s of ‘Antioxidant’ Enzymes in Ageing. In Subcellular Biochemistry; Harris, J.B., Ed.; Springer: Berlin/Heidelberg, Germany, 2018; pp. 425–450. [Google Scholar] [CrossRef]
- Freire, M.O.; Van Dyke, T.E. Natural resolution of inflammation. Periodontology 2000 2013, 63, 149–164. [Google Scholar] [CrossRef] [PubMed]
- Ou, Z.; Zhao, J.; Zhu, L.; Huang, L.; Ma, Y.; Ma, C.; Luo, C.; Zhu, Z.; Yuan, Z.; Wu, J.; et al. Anti-inflammatory effect and potential mechanism of betulinic acid on lambda-carrageenan-induced paw edema in mice. Biomed. Pharm. 2019, 118, 109347. [Google Scholar] [CrossRef] [PubMed]
- Aratani, Y. Myeloperoxidase: Its role for host defense, inflammation, and neutrophil function. Arch. Biochem. Biophys. 2018, 640, 47–52. [Google Scholar] [CrossRef] [PubMed]
- Odobasic, D.; Yang, Y.; Muljadi, R.C.; O’Sullivan, K.M.; Kao, W.; Smith, M.; Morand, E.F.; Holdsworth, S.R. Endogenous myeloperoxidase is a mediator of joint inflammation and damage in experimental arthritis. Arthritis Rheumatol. 2014, 66, 907–917. [Google Scholar] [CrossRef]
- Sivandzade, F.; Prasad, S.; Bhalerao, A.; Cucullo, L. NRF2 and NF-B interplay in cerebrovascular and neurodegenerative disorders: Molecular mechanisms and possible therapeutic approaches. Redox Biol. 2019, 21, 101059. [Google Scholar] [CrossRef]
- Wardyn, J.D.; Ponsford, A.H.; Sanderson, C.M. Dissecting molecular cross-talk between Nrf2 and NF-kappaB response pathways. Biochem. Soc. Trans. 2015, 43, 621–626. [Google Scholar] [CrossRef]
- Li, W.; Khor, T.O.; Xu, C.; Shen, G.; Jeong, W.S.; Yu, S.; Kong, A.N. Activation of Nrf2-antioxidant signaling attenuates NFkappaB-inflammatory response and elicits apoptosis. Biochem. Pharmacol. 2008, 76, 1485–1489. [Google Scholar] [CrossRef]
- Scuderi, S.A.; Ardizzone, A.; Paterniti, I.; Esposito, E.; Campolo, M. Antioxidant and Anti-inflammatory Effect of Nrf2 Inducer Dimethyl Fumarate in Neurodegenerative Diseases. Antioxidants 2020, 9, 630. [Google Scholar] [CrossRef]








| Name | Fatty Acids | % |
|---|---|---|
| butyric acid | C4:0 | 0.13 |
| caproic acid | C6:0 | 0.15 |
| caprylic acid | C8:0 | 0.03 |
| capric acid | C10:0 | 0.03 |
| undecanoic acid | C11:0 | 0.02 |
| lauric acid | C12:0 | 0.06 |
| myristic acid | C14:0 | 4.41 |
| pentadecanoic acid | C15:0 | 1.03 |
| palmitic acid | C16:0 | 28.53 |
| margaric acid | C17:0 | 2.56 |
| stearic acid | C18:0 | 11.26 |
| arachidonic acid | C20:0 | 0.14 |
| heneicosanoic acid | C21:0 | 0.53 |
| behenic acid | C22:0 | 0.11 |
| tricosylic acid | C23:0 | 0.18 |
| lignoceric acid | C24:0 | 1.37 |
| ∑ SAFAs | 50.54 | |
| myristoleic acid | C14:1 | 0.19 |
| cis-10-pentadecenoic acid | C15:1 | 0.10 |
| palmitoleic acid | C16:1 (n-7) | 3.49 |
| cis-10-heptadecenoic acid | C17:1 (n-7) | 0.32 |
| oleic acid | C18:1 (n-9) | 8.51 |
| vaccenic acid | C18:1 (n-7) | 7.07 |
| cis-11-eicosenic acid | C20:1 (n-9) | 2.16 |
| erucic acid | C22:1 (n-9) | 0.20 |
| nervonic acid | C24:1 (n-9) | 1.22 |
| ∑ MUFA | 23.26 | |
| linoleic acid | C18:2 (n-6) | 2.11 |
| γ-linolenic acid | C18:3 (n-6) | 0.09 |
| α-linolenic acid | C18:3 (n-3) | 0.99 |
| stearidonic acid | C18:4 (n-3) | n.d. |
| cis-11,14-eicosadienoic acid | C20:2 (n-6) | 1.95 |
| cis-8,11,14-eicosatrienoic acid | C20:3 (n-6) | 2.58 |
| cis-11,14,17-eicosatrienoic acid | C20:3 (n-3) | 1.18 |
| arachidonic acid | C20:4 (n-6) | 2.77 |
| cis-5,8,11,14,17-eicosapentaenoic acid | C20:5 (n-3) | 9.07 |
| cis-13,16-docosatetraenoic acid | C22:2 (n-6) | 0.30 |
| cis-4,7,10,13,16,19-docosahexaenoic acid | C22:6 (n-3) | 5.16 |
| ∑ PUFAs | 26.20 | |
| ∑n-3 PUFAs | 16.40 | |
| ∑n-6 PUFAs | 9.50 | |
| n-6/n-3 | 0.58 | |
| ∑total FAs | 100 |
| Compound | Concentration (mg/kg) | % |
|---|---|---|
| cholesterol | 22,318.54 ± 67.50 | 94.96 |
| brassicasterol | 1.11 ± 0.05 | 0 |
| ergosterol | 390.93 ± 4.69 | 1.63 |
| campesterol | 227.69 ± 3.87 | 0.97 |
| campestanol | 54.63 ± 0.93 | 0.22 |
| stigmasterol | n.d. 1 | 0 |
| Δ-7-campesterol | 28.97 ± 1.02 | 0.12 |
| clerosterol | 14.04 ± 0.08 | 0.06 |
| β-sitosterol | 582.71 ± 2.72 | 2.48 |
| sitostanol | n.d. | 0 |
| Δ-5-avenasterol | 264.9 | 1.13 |
| Δ-5,24-stigmastanol | 24.86 ± 0.58 | 0.11 |
| Δ-7-stigmastenol | 69.87 ± 0.89 | 0.30 |
| Δ-7-avenasterol | 33.45 ± 1.01 | 0.13 |
| Total area | 24,012 | 100 |
| ID | Compound | Rt | PDA | APCI(-)/MS | Concentration |
|---|---|---|---|---|---|
| (min) | λ max | (m/z) | (mg/kg) | ||
| 1 | astaxanthin | 11.60 | 476, 483, 486 | 596 | 255.7 ± 10.2 |
| 2 | lutein | 18.51 | 445, 473 | 568 | 150.3 ± 12.7 |
| 3 | actnioerythrin | 25.63 | 460, 496, 528 | 564 | 260.2 ± 13.8 |
| 4 | α-carotene | 34.40 | 422, 444, 473 | 536 | 344.1 ± 16.5 |
| 5 | β-carotene | 41.23 | 425, 451, 478 | 536 | 550.6 ± 23.5 |
| 6 | violerythrin | 46.88 | 521, 556, 591 | 564 | 1328.6 ± 39.7 |
| Compound | Concentration |
|---|---|
| (mg/kg) | |
| p-coumaric acid | 8.03 ± 1.70 |
| catechin | 15.32 ± 2.23 |
| quercetin | 51.12 ± 5.08 |
| rutin | 36.22 ± 3.17 |
| luteolin | 2.53 ± 0.64 |
| Compound | Symbol | Measured μM Concentration by NMR | Relative Weight by NMR % |
|---|---|---|---|
| Isoleucine | ILE | 3.46 ± 0.07 | 10.60 |
| Leucine | LEU | 2.18 ± 0.06 | 6.64 |
| Lysine | LYS | 1.85 ± 0.05 | 6.27 |
| Methionine | MET | 0.58 ± 0.03 | 2.03 |
| Phenylalanine | PHE | 1.38 ± 0.04 | 5.30 |
| Threonine | THR | 2.00 ± 0.05 | 5.54 |
| Valine | VAL | 2.24 ± 0.06 | 6.09 |
| Arginine | ARG | 1.46 ± 0.05 | 5.90 |
| Glycine | GLY | 4.76 ± 0.08 | 8.30 |
| Proline | PRO | 2.70 ± 0.08 | 7.20 |
| Tyrosine | TYR | 1.27 ± 0.03 | 5.35 |
| Alanine | ALA | 3.49 ± 0.08 | 7.20 |
| Glutamic acid | GLU | 2.66 ± 0.09 | 9.05 |
© 2020 by the authors. Licensee MDPI, Basel, Switzerland. This article is an open access article distributed under the terms and conditions of the Creative Commons Attribution (CC BY) license (http://creativecommons.org/licenses/by/4.0/).
Share and Cite
Lanza, M.; Casili, G.; Torre, G.L.L.; Giuffrida, D.; Rotondo, A.; Esposito, E.; Ardizzone, A.; Rando, R.; Bartolomeo, G.; Albergamo, A.; et al. Properties of a New Food Supplement Containing Actinia equina Extract. Antioxidants 2020, 9, 945. https://doi.org/10.3390/antiox9100945
Lanza M, Casili G, Torre GLL, Giuffrida D, Rotondo A, Esposito E, Ardizzone A, Rando R, Bartolomeo G, Albergamo A, et al. Properties of a New Food Supplement Containing Actinia equina Extract. Antioxidants. 2020; 9(10):945. https://doi.org/10.3390/antiox9100945
Chicago/Turabian StyleLanza, Marika, Giovanna Casili, Giovanna Loredana La Torre, Daniele Giuffrida, Archimede Rotondo, Emanuela Esposito, Alessio Ardizzone, Rossana Rando, Giovanni Bartolomeo, Ambrogina Albergamo, and et al. 2020. "Properties of a New Food Supplement Containing Actinia equina Extract" Antioxidants 9, no. 10: 945. https://doi.org/10.3390/antiox9100945
APA StyleLanza, M., Casili, G., Torre, G. L. L., Giuffrida, D., Rotondo, A., Esposito, E., Ardizzone, A., Rando, R., Bartolomeo, G., Albergamo, A., Vadalà, R., & Salvo, A. (2020). Properties of a New Food Supplement Containing Actinia equina Extract. Antioxidants, 9(10), 945. https://doi.org/10.3390/antiox9100945

