Optimization of Microwave-Assisted Extraction of Polysaccharides from Ulva pertusa and Evaluation of Their Antioxidant Activity
Abstract
:1. Introduction
2. Materials and Methods
2.1. Seaweeds and Chemicals
2.2. Microwave Extraction of Ulvan
2.3. Single-Factor MAE Experiments
2.4. Experimental Design
2.5. FT-IR Spectrometric Analysis
2.6. Determination of the Antioxidant Activity of Ulvan Extracts in Vitro
2.6.1. DPPH Radical-Scavenging Activity
2.6.2. ABTS Radical-Scavenging Activity
2.6.3. Determination of the Reducing Power
2.7. In Vitro Antioxidant Activity
2.8. Statistical Analysis
3. Results
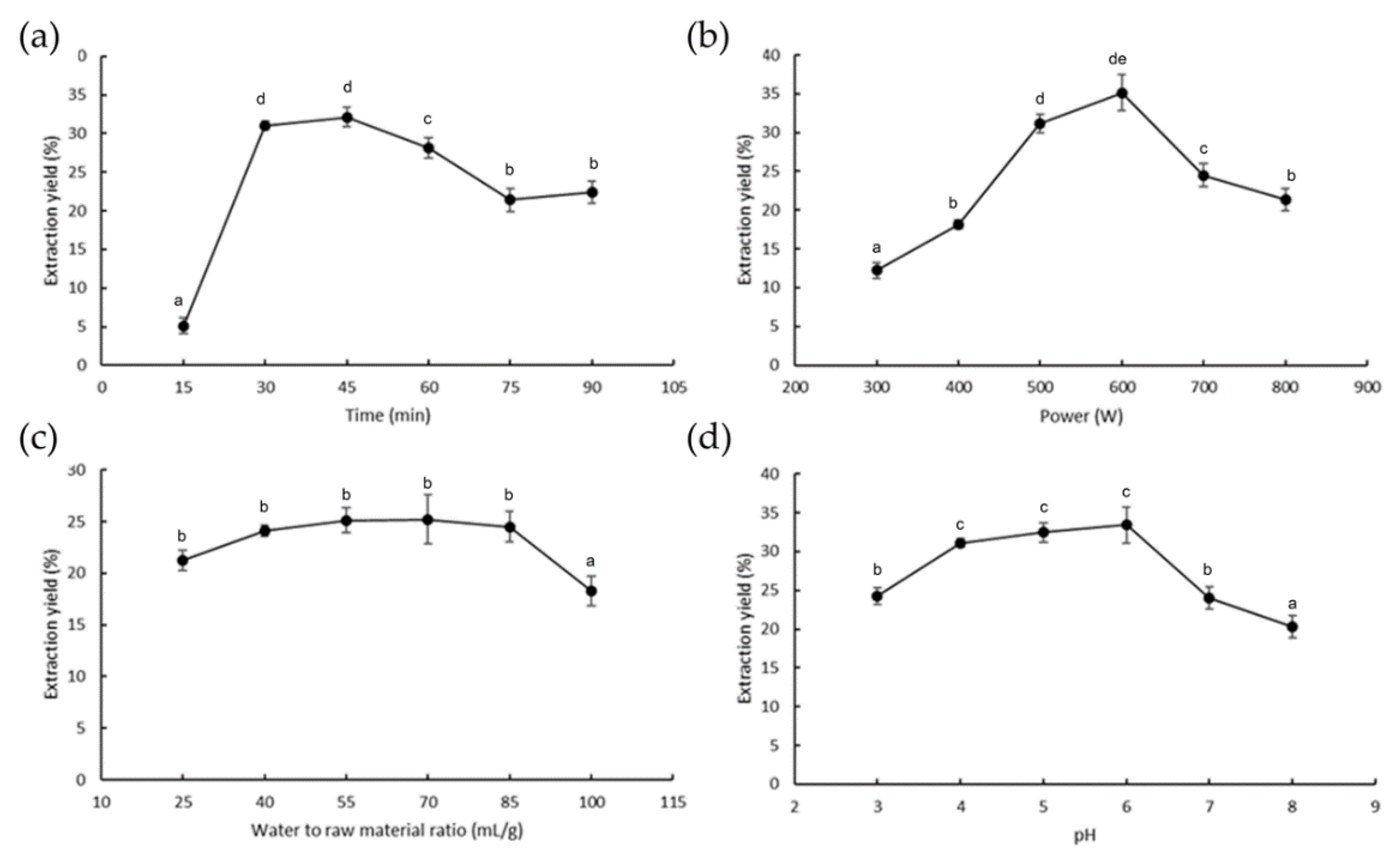
3.1. Effect of Process Parameters on Microwave Extraction Efficiency
3.2. Optimization of the Procedure Using RSM
3.3. FT-IR Spectral Analysis
3.4. In Vitro Antioxidant Activities of Ulvan
3.5. Effect of Ulvan on RAW 264.7 Macrophage Cell Viability and SOD and CAT Activities
3.6. Effects of Ulvan on the Expression of Antioxidant Genes
4. Discussion
5. Conclusions
Author Contributions
Funding
Conflicts of Interest
References
- Wichard, T.; Charrier, B.; Mineur, F.; Bothwell, J.H.; De Clerck, O.; Coates, J.C. The green seaweed Ulva: A model system to study morphogenesis. Front. Plant Sci. 2015, 6, 72. [Google Scholar] [CrossRef]
- Liu, X.; Wang, Z.; Zhang, X. A review of the green tides in the Yellow Sea, China. Mar. Environ. Res. 2016, 119, 189–196. [Google Scholar] [CrossRef] [PubMed]
- Sanz-Pintos, N.; Pérez-Jiménez, J.; Buschmann, A.H.; Vergara-Salinas, J.R.; Pérez-Correa, J.R.; Saura-Calixto, F. Macromolecular antioxidants and dietary fiber in edible seaweeds. J. Food Sci. 2017, 82, 289–295. [Google Scholar] [CrossRef] [PubMed]
- Lahaye, M.; Robic, A. Structure and functional properties of ulvan, a polysaccharide from green seaweeds. Biomacromolecules 2007, 8, 1765–1774. [Google Scholar] [CrossRef] [PubMed]
- Tian, H.; Yin, X.; Zeng, Q.; Zhu, L.; Chen, J. Isolation, structure, and surfactant properties of polysaccharides from Ulva lactuca L. from South China Sea. Int. J. Biol. Macromol. 2015, 79, 577–582. [Google Scholar] [CrossRef]
- Tabarsa, M.; Lee, S.-J.; You, S. Structural analysis of immunostimulating sulfated polysaccharides from Ulva pertusa. Carbohydr. Res. 2012, 361, 141–147. [Google Scholar] [PubMed]
- Qi, H.; Sheng, J. The antihyperlipidemic mechanism of high sulfate content ulvan in rats. Mar. Drugs 2015, 13, 3407–3421. [Google Scholar] [CrossRef]
- Yu-Qing, T.; Mahmood, K.; Shehzadi, R.; Ashraf, M.F. Ulva lactuca and its polysaccharides: Food and biomedical aspects. J. Biol. Agric. Healthc. 2016, 6, 140–151. [Google Scholar]
- Athukorala, Y.; Kim, K.-N.; Jeon, Y.-J. Antiproliferative and antioxidant properties of an enzymatic hydrolysate from brown alga, Ecklonia cava. Food Chem. Toxicol. 2006, 44, 1065–1074. [Google Scholar] [CrossRef]
- Yaich, H.; Garna, H.; Besbes, S.; Barthélemy, J.-P.; Paquot, M.; Blecker, C.; Attia, H. Impact of extraction procedures on the chemical, rheological and textural properties of ulvan from Ulva lactuca of Tunisia coast. Food Hydrocoll. 2014, 40, 53–63. [Google Scholar] [CrossRef]
- Tsubaki, S.; Oono, K.; Hiraoka, M.; Onda, A.; Mitani, T. Microwave-assisted hydrothermal extraction of sulfated polysaccharides from Ulva spp. and Monostroma latissimum. Food Chem. 2016, 210, 311–316. [Google Scholar] [CrossRef]
- Coste, O.; Malta, E.-J.; López, J.C.; Fernández-Díaz, C. Production of sulfated oligosaccharides from the seaweed Ulva sp. using a new ulvan-degrading enzymatic bacterial crude extract. Algal Res. 2015, 10, 224–231. [Google Scholar] [CrossRef]
- Chan, C.-H.; Yusoff, R.; Ngoh, G.-C.; Kung, F.W.-L. Microwave-assisted extractions of active ingredients from plants. J. Chromatogr. A 2011, 1218, 6213–6225. [Google Scholar] [CrossRef] [PubMed]
- Delazar, A.; Nahar, L.; Hamedeyazdan, S.; Sarker, S.D. Microwave-assisted extraction in natural products isolation. In Natural Products Isolation; Springer: Berlin, Germany, 2012; pp. 89–115. [Google Scholar]
- Prajapati, V.D.; Maheriya, P.M.; Jani, G.K.; Solanki, H.K. Carrageenan: A natural seaweed polysaccharide and its applications. Carbohydr. Polym. 2014, 105, 97–112. [Google Scholar] [CrossRef] [PubMed]
- Fleita, D.; El-Sayed, M.; Rifaat, D. Evaluation of the antioxidant activity of enzymatically-hydrolyzed sulfated polysaccharides extracted from red algae; Pterocladia capillacea. LWT-Food Sci. Technol. 2015, 63, 1236–1244. [Google Scholar] [CrossRef]
- DuBois, M.; Gilles, K.A.; Hamilton, J.K.; Rebers, P.t.; Smith, F. Colorimetric method for determination of sugars and related substances. Anal. Chem. 1956, 28, 350–356. [Google Scholar] [CrossRef]
- Bondet, V.; Brand-Williams, W.; Berset, C. Kinetics and mechanisms of antioxidant activity using the DPPH. free radical method. LWT-Food Sci. Technol. 1997, 30, 609–615. [Google Scholar] [CrossRef]
- Hromadkova, Z.; Ebringerova, A.; Valachovič, P. Ultrasound-assisted extraction of water-soluble polysaccharides from the roots of valerian (Valeriana officinalis L.). Ultrason. Sonochem. 2002, 9, 37–44. [Google Scholar] [CrossRef]
- Dahmoune, F.; Boulekbache, L.; Moussi, K.; Aoun, O.; Spigno, G.; Madani, K. Valorization of Citrus limon residues for the recovery of antioxidants: Evaluation and optimization of microwave and ultrasound application to solvent extraction. Ind. Crop.Prod. 2013, 50, 77–87. [Google Scholar] [CrossRef]
- Mosmann, T. Rapid colorimetric assay for cellular growth and survival: Application to proliferation and cytotoxicity assays. J. Immunol. Methods 1983, 65, 55–63. [Google Scholar] [CrossRef]
- Jung, C.H.; Jun, C.-Y.; Lee, S.; Park, C.-H.; Cho, K.; Ko, S.-G. Rhus verniciflua stokes extract: Radical scavenging activities and protective effects on H2O2-induced cytotoxicity in macrophage RAW 264.7 cell lines. Biol. Pharm. Bull. 2006, 29, 1603–1607. [Google Scholar] [CrossRef]
- Yang, S.H.; Le, B.; Androutsopoulos, V.P.; Tsukamoto, C.; Shin, T.-S.; Tsatsakis, A.M.; Chung, G. Anti-inflammatory effects of soyasapogenol I-αa via downregulation of the MAPK signaling pathway in LPS-induced RAW 264.7 macrophages. Food Chem. Toxicol. 2018, 113, 211–217. [Google Scholar] [CrossRef] [PubMed]
- Baş, D.; Boyacı, I.H. Modeling and optimization I: Usability of response surface methodology. J. Food Eng. 2007, 78, 836–845. [Google Scholar] [CrossRef]
- Samavati, V. Polysaccharide extraction from Abelmoschus esculentus: Optimization by response surface methodology. Carbohydr. Polym. 2013, 95, 588–597. [Google Scholar] [CrossRef]
- Maran, J.P.; Manikandan, S.; Thirugnanasambandham, K.; Nivetha, C.V.; Dinesh, R. Box–Behnken design based statistical modeling for ultrasound-assisted extraction of corn silk polysaccharide. Carbohydr. Polym. 2013, 92, 604–611. [Google Scholar] [CrossRef]
- Qi, H.; Zhao, T.; Zhang, Q.; Li, Z.; Zhao, Z.; Xing, R. Antioxidant activity of different molecular weight sulfated polysaccharides from Ulva pertusa Kjellm (Chlorophyta). J. Appl. Phycol. 2005, 17, 527–534. [Google Scholar] [CrossRef]
- Radzki, W.; Ziaja-Sołtys, M.; Nowak, J.; Rzymowska, J.; Topolska, J.; Sławińska, A.; Michalak-Majewska, M.; Zalewska-Korona, M.; Kuczumow, A. Effect of processing on the content and biological activity of polysaccharides from Pleurotus ostreatus mushroom. LWT-Food Sci. Technol. 2016, 66, 27–33. [Google Scholar] [CrossRef]
- Teo, C.C.; Tan, S.N.; Yong, J.W.H.; Hew, C.S.; Ong, E.S. Evaluation of the extraction efficiency of thermally labile bioactive compounds in Gastrodia elata Blume by pressurized hot water extraction and microwave-assisted extraction. J. Chromatogr. A 2008, 1182, 34–40. [Google Scholar] [CrossRef]
- Wu, L.; Hu, M.; Li, Z.; Song, Y.; Yu, C.; Zhang, H.; Yu, A.; Ma, Q.; Wang, Z. Dynamic microwave-assisted extraction combined with continuous-flow microextraction for determination of pesticides in vegetables. Food Chem. 2016, 192, 596–602. [Google Scholar] [CrossRef]
- Li, W.; Cui, S.W.; Kakuda, Y. Extraction, fractionation, structural and physical characterization of wheat β-D-glucans. Carbohydr. Polym. 2006, 63, 408–416. [Google Scholar] [CrossRef]
- Zhang, H.; Cai, X.T.; Tian, Q.H.; Xiao, L.X.; Zeng, Z.; Cai, X.T.; Yan, J.Z.; Li, Q.Y. Microwave-assisted degradation of polysaccharide from Polygonatum sibiricum and antioxidant activity. J. Food Sci. 2019, 84, 754–761. [Google Scholar] [CrossRef] [PubMed]
- Xu, J.; Hou, H.; Hu, J.; Liu, B. Optimized microwave extraction, characterization and antioxidant capacity of biological polysaccharides from Eucommia ulmoides Oliver leaf. Sci. Rep. 2018, 56, 995–1007. [Google Scholar] [CrossRef]
- Xu, Y.; Cai, F.; Yu, Z.; Zhang, L.; Li, X.; Yang, Y.; Liu, G. Optimisation of pressurised water extraction of polysaccharides from blackcurrant and its antioxidant activity. Food Chem. 2016, 194, 650–658. [Google Scholar] [CrossRef]
- Felkai-Haddache, L.; Dahmoune, F.; Remini, H.; Lefsih, K.; Mouni, L.; Madani, K. Microwave optimization of mucilage extraction from Opuntia ficus indica Cladodes. Int. J. Biol. Macromol. 2016, 84, 24–30. [Google Scholar] [CrossRef]
- Yang, W.; Wang, Y.; Li, X.; Yu, P. Purification and structural characterization of Chinese yam polysaccharide and its activities. Carbohydr. Polym. 2015, 117, 1021–1027. [Google Scholar] [CrossRef]
- Jia, X.; Dong, L.; Yang, Y.; Yuan, S.; Zhang, Z.; Yuan, M. Preliminary structural characterization and antioxidant activities of polysaccharides extracted from Hawk tea (Litsea coreana var. lanuginosa). Carbohydr. Polym. 2013, 95, 195–199. [Google Scholar] [CrossRef]
- Wang, J.; Zhang, Q.; Zhang, Z.; Li, Z. Antioxidant activity of sulfated polysaccharide fractions extracted from Laminaria japonica. Int. J. Biol. Macromol. 2008, 42, 127–132. [Google Scholar] [CrossRef]
- Zhang, Z.; Wang, F.; Wang, X.; Liu, X.; Hou, Y.; Zhang, Q. Extraction of the polysaccharides from five algae and their potential antioxidant activity in vitro. Carbohydr. Polym. 2010, 82, 118–121. [Google Scholar] [CrossRef]
- Rahimi, F.; Tabarsa, M.; Rezaei, M. Ulvan from green algae Ulva intestinalis: Optimization of ultrasound-assisted extraction and antioxidant activity. J. Appl. Phycol. 2016, 28, 2979–2990. [Google Scholar] [CrossRef]
- Wang, J.; Hu, S.; Nie, S.; Yu, Q.; Xie, M. Reviews on mechanisms of in vitro antioxidant activity of polysaccharides. Oxid. Med. Cell. Longev. 2016, 2016, 5692852. [Google Scholar] [CrossRef]
- Wu, H.; Zhu, J.; Diao, W.; Wang, C. Ultrasound-assisted enzymatic extraction and antioxidant activity of polysaccharides from pumpkin (Cucurbita moschata). Carbohydr. Polym. 2014, 113, 314–324. [Google Scholar] [CrossRef]
- Lo, T.C.-T.; Chang, C.A.; Chiu, K.-H.; Tsay, P.-K.; Jen, J.-F. Correlation evaluation of antioxidant properties on the monosaccharide components and glycosyl linkages of polysaccharide with different measuring methods. Carbohydr. Polym. 2011, 86, 320–327. [Google Scholar] [CrossRef]
- Chun, K.; Alam, M.; Son, H.-U.; Lee, S.-H. Effect of novel compound LX519290, a derivative of L-allo threonine, on antioxidant potential in vitro and in vivo. Int. J. Mol. Sci. 2016, 17, 1451. [Google Scholar] [CrossRef] [PubMed]
- Ma, X.-T.; Sun, X.-Y.; Yu, K.; Gui, B.-S.; Gui, Q.; Ouyang, J.-M. Effect of content of sulfate groups in seaweed polysaccharides on antioxidant activity and repair effect of subcellular organelles in injured HK-2 cells. Oxid. Med. Cell. Longev. 2017, 2017, 2542950. [Google Scholar] [CrossRef] [PubMed]
- Yan, Y.; Ren, Y.; Li, X.; Zhang, X.; Guo, H.; Han, Y.; Hu, J. A polysaccharide from green tea (Camellia sinensis L.) protects human retinal endothelial cells against hydrogen peroxide-induced oxidative injury and apoptosis. Int. J. Biol. Macromol. 2018, 115, 600–607. [Google Scholar] [CrossRef] [PubMed]
- Presa, F.; Marques, M.; Viana, R.; Nobre, L.; Costa, L.; Rocha, H. The protective role of sulfated polysaccharides from green seaweed Udotea flabellum in cells exposed to oxidative damage. Mar. Drugs 2018, 16, 135. [Google Scholar] [CrossRef]






| Run | Variable Levels | Ulvan Yield (%) | ||||
|---|---|---|---|---|---|---|
| X1 (Time, min) | X2 (Power, W) | X3 (Water-To-Raw-Material, mL/g) | X4 (pH) | Predicted | Observed | |
| 1 | 45 | 500 | 70 | 6 | 32.72 | 32.22 |
| 2 | 45 | 700 | 55 | 5 | 31.61 | 31.26 |
| 3 | 45 | 600 | 70 | 7 | 32.30 | 31.38 |
| 4 | 30 | 600 | 70 | 6 | 32.18 | 32.48 |
| 5 | 30 | 600 | 40 | 6 | 29.93 | 29.46 |
| 6 | 45 | 600 | 55 | 6 | 40.84 | 40.84 |
| 7 | 45 | 500 | 55 | 5 | 35.22 | 35.47 |
| 8 | 60 | 600 | 70 | 6 | 27.36 | 28.46 |
| 9 | 60 | 600 | 40 | 6 | 30.45 | 30.78 |
| 10 | 45 | 500 | 55 | 7 | 34.78 | 35.75 |
| 11 | 60 | 600 | 55 | 5 | 25.88 | 25.71 |
| 12 | 30 | 600 | 55 | 5 | 30.51 | 29.79 |
| 13 | 45 | 500 | 40 | 6 | 36.29 | 35.89 |
| 14 | 60 | 600 | 55 | 7 | 32.92 | 33.11 |
| 15 | 45 | 600 | 40 | 5 | 28.15 | 28.97 |
| 16 | 45 | 700 | 70 | 6 | 37.27 | 37.14 |
| 17 | 30 | 600 | 55 | 7 | 32.60 | 32.24 |
| 18 | 30 | 500 | 55 | 6 | 32.94 | 33.45 |
| 19 | 45 | 700 | 55 | 7 | 41.18 | 41.56 |
| 20 | 60 | 500 | 55 | 6 | 32.46 | 31.63 |
| 21 | 45 | 600 | 70 | 5 | 31.85 | 32.01 |
| 22 | 30 | 700 | 55 | 6 | 36.01 | 36.74 |
| 23 | 45 | 600 | 55 | 6 | 40.84 | 40.84 |
| 24 | 45 | 600 | 55 | 6 | 40.84 | 40.83 |
| 25 | 45 | 700 | 40 | 6 | 34.53 | 34.51 |
| 26 | 45 | 600 | 40 | 7 | 36.83 | 36.56 |
| 27 | 60 | 700 | 55 | 6 | 32.18 | 31.56 |
| Source | Sum of Squares | DF | Mean Square | F Value | p-Value | |
|---|---|---|---|---|---|---|
| Linear effects | Model | 433.962 | 14 | 30.997 | 49.48 | <0.0001 ** |
| X1 | 13.889 | 1 | 13.889 | 22.17 | 0.001 * | |
| X2 | 5.824 | 1 | 5.824 | 9.30 | 0.010 * | |
| X3 | 0.513 | 1 | 0.513 | 0.82 | 0.384 | |
| X4 | 62.518 | 1 | 62.518 | 99.79 | <0.0001 ** | |
| Interaction effects | X1·X2 | 2.822 | 1 | 2.822 | 4.51 | 0.055 |
| X1·X3 | 7.129 | 1 | 7.129 | 11.38 | 0.006 * | |
| X1·X4 | 6.126 | 1 | 6.126 | 9.78 | 0.009 * | |
| X2·X3 | 9.923 | 1 | 9.923 | 15.84 | 0.002 * | |
| X2·X4 | 25.100 | 1 | 25.100 | 40.06 | <0.0001 ** | |
| X3·X4 | 16.892 | 1 | 16.892 | 26.96 | <0.0001 ** | |
| Quadratic effects | X12 | 128.979 | 1 | 213.870 | 341.38 | <0.0001 ** |
| X22 | 6.76 | 1 | 6.586 | 10.51 | 0.007 * | |
| X32 | 60.754 | 1 | 109.264 | 174.41 | <0.0001 ** | |
| X42 | 86.726 | 1 | 86.726 | 138.43 | <0.0001 ** | |
| Residual | 7.518 | 12 | 0.626 | |||
| Lack of fit | 7.518 | 10 | 0.752 | |||
| Pure error | 0.000 | 2 | 0.000 | |||
| Cor. Total | 441.480 | 26 | ||||
| R2 | 98.30 | |||||
| Adj. R2 | 96.31 | |||||
| Pred. R2 | 90.19 | |||||
| C.V.% | 1.37 |
© 2019 by the authors. Licensee MDPI, Basel, Switzerland. This article is an open access article distributed under the terms and conditions of the Creative Commons Attribution (CC BY) license (http://creativecommons.org/licenses/by/4.0/).
Share and Cite
Le, B.; Golokhvast, K.S.; Yang, S.H.; Sun, S. Optimization of Microwave-Assisted Extraction of Polysaccharides from Ulva pertusa and Evaluation of Their Antioxidant Activity. Antioxidants 2019, 8, 129. https://doi.org/10.3390/antiox8050129
Le B, Golokhvast KS, Yang SH, Sun S. Optimization of Microwave-Assisted Extraction of Polysaccharides from Ulva pertusa and Evaluation of Their Antioxidant Activity. Antioxidants. 2019; 8(5):129. https://doi.org/10.3390/antiox8050129
Chicago/Turabian StyleLe, Bao, Kirill S. Golokhvast, Seung Hwan Yang, and Sangmi Sun. 2019. "Optimization of Microwave-Assisted Extraction of Polysaccharides from Ulva pertusa and Evaluation of Their Antioxidant Activity" Antioxidants 8, no. 5: 129. https://doi.org/10.3390/antiox8050129
APA StyleLe, B., Golokhvast, K. S., Yang, S. H., & Sun, S. (2019). Optimization of Microwave-Assisted Extraction of Polysaccharides from Ulva pertusa and Evaluation of Their Antioxidant Activity. Antioxidants, 8(5), 129. https://doi.org/10.3390/antiox8050129

