Advances in Synthetic Strategies for Microalgal Carotenoid Enhancement and Emerging Applications
Abstract
1. Introduction
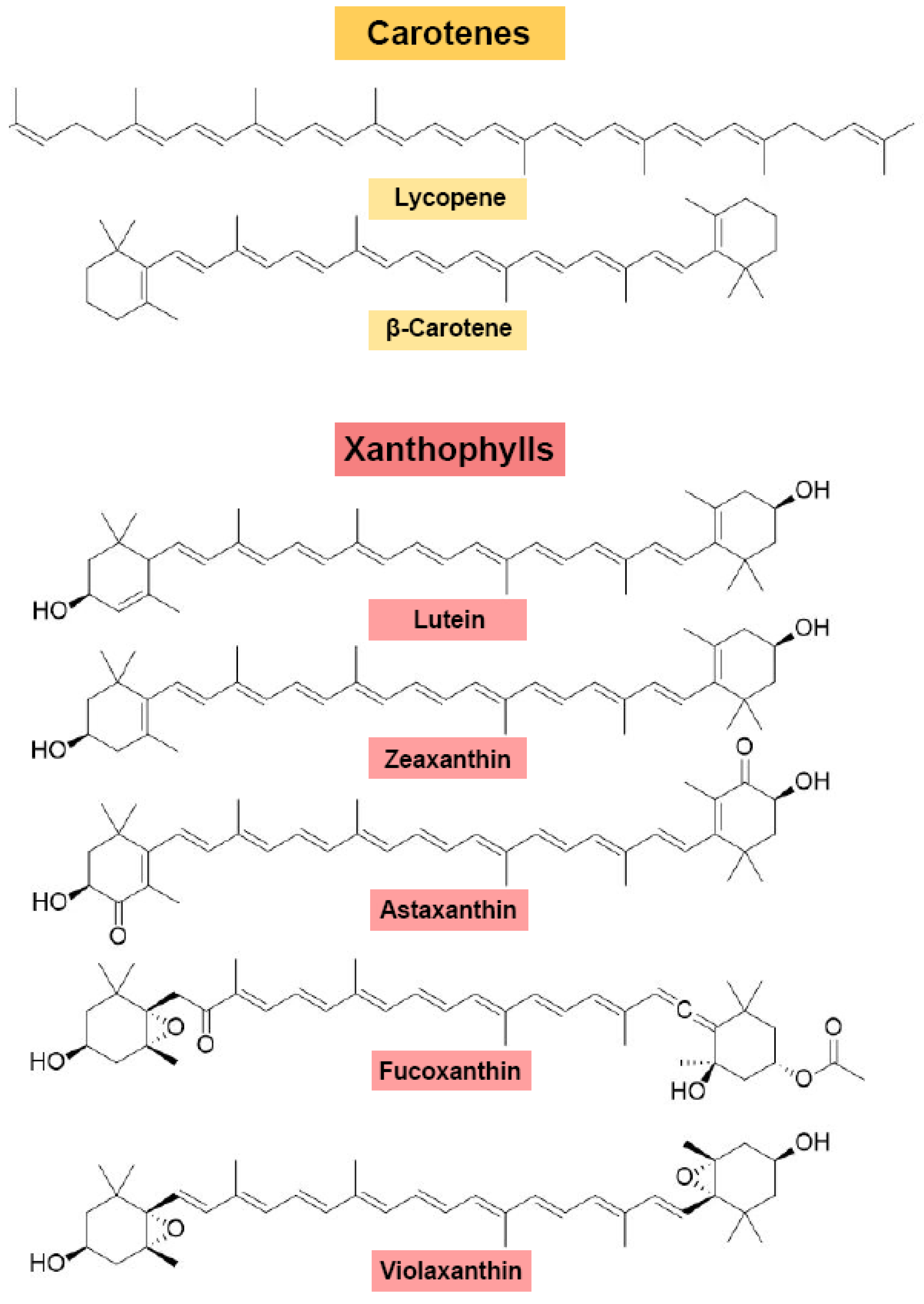
2. Carotenoids in Microalgae
2.1. Astaxanthin from Microalgae: A Comparative Analysis
2.2. β-Carotene from Microalgae: Industry Success and Limitations
2.3. Lutein and Other Xanthophylls from Microalgae: Emerging Sources and Challenges

2.4. Carotenogenesis Pathways

3. The Economic Value of Carotenoids

4. Carotenoid Pathway Engineering in Microalgae
4.1. Gene Editing Technology
4.2. Environmental Factors
4.3. Cultivation Mechanism
5. Emerging Application of Carotenoids in Microalgae
5.1. Medicine of Microalgal Carotenoids
- (1)
- Antioxidant mechanisms of microalgal carotenoids
- (2)
- Anti-inflammatory actions of microalgal carotenoids
- (3)
- Anticancer potential of microalgal carotenoids
5.2. Food in Microalgal Carotenoids
5.3. Cosmetics in Microalgal Carotenoids
5.4. Other Potential Applications of Carotenoids in Microalgal
6. Further Perspectives
7. Conclusions
Author Contributions
Funding
Institutional Review Board Statement
Data Availability Statement
Acknowledgments
Conflicts of Interest
References
- Alcaíno, J.; Baeza, M.; Cifuentes, V. Carotenoid distribution in nature. In Carotenoids in Nature: Biosynthesis, Regulation and Function; Springer: Cham, Switzerland, 2016; pp. 3–33. [Google Scholar]
- Liu, Z.; Van Den Berg, C.; Weusthuis, R.A.; Dragone, G.; Mussatto, S.I. Strategies for an improved extraction and separation of lipids and carotenoids from oleaginous yeast. Sep. Purif. Technol. 2021, 257, 117946. [Google Scholar] [CrossRef]
- Yabuzaki, J. Carotenoids Database: Structures, chemical fingerprints and distribution among organisms. Database 2017, 2017, bax004. [Google Scholar] [CrossRef]
- Rao, A.; Rao, L. Carotenoids and human health. Pharmacol. Res. 2007, 55, 207–216. [Google Scholar] [CrossRef]
- Bhatt, T.; Patel, K. Carotenoids: Potent to Prevent Diseases Review. Nat. Prod. Bioprospect. 2020, 10, 109–117. [Google Scholar] [CrossRef] [PubMed]
- Galasso, C.; Corinaldesi, C.; Sansone, C. Carotenoids from Marine Organisms: Biological Functions and Industrial Applications. Antioxidants 2017, 6, 96. [Google Scholar] [CrossRef]
- Mussagy, C.U.; Guimarães, A.A.C.; Rocha, L.V.F.; Winterburn, J.; Santos-Ebinuma, V.D.C.; Pereira, J.F.B. Improvement of carotenoids production from Rhodotorula glutinis CCT-2186. Biochem. Eng. J. 2021, 165, 107827. [Google Scholar] [CrossRef]
- Ng, I.; Keskin, B.B.; Tan, S. A Critical Review of Genome Editing and Synthetic Biology Applications in Metabolic Engineering of Microalgae and Cyanobacteria. Biotechnol. J. 2020, 15, 1900228. [Google Scholar] [CrossRef]
- Mostafa, H.S.; Hashem, M.M. Microalgae as a source of carotenoids in foods, obstacles and solutions. Phytochem. Rev. 2024, 24, 4295–4337. [Google Scholar] [CrossRef]
- Maltsev, Y.; Maltseva, K.; Kulikovskiy, M.; Maltseva, S. Influence of Light Conditions on Microalgae Growth and Content of Lipids, Carotenoids, and Fatty Acid Composition. Biology 2021, 10, 1060. [Google Scholar] [CrossRef] [PubMed]
- Guedes, A.C.; Amaro, H.M.; Malcata, F.X. Microalgae as Sources of Carotenoids. Mar. Drugs 2011, 9, 625–644. [Google Scholar] [CrossRef] [PubMed]
- Ahmed, F.; Fanning, K.; Netzel, M.; Turner, W.; Li, Y.; Schenk, P.M. Profiling of carotenoids and antioxidant capacity of microalgae from subtropical coastal and brackish waters. Food Chem. 2014, 165, 300–306. [Google Scholar] [CrossRef] [PubMed]
- Meléndez-Martínez, A.J.; Mandić, A.I.; Bantis, F.; Böhm, V.; Borge, G.I.A.; Brnčić, M.; Bysted, A.; Cano, M.P.; Dias, M.G.; Elgersma, A. A comprehensive review on carotenoids in foods and feeds: Status quo, applications, patents, and research needs. Crit. Rev. Food Sci. Nutr. 2022, 62, 1999–2049. [Google Scholar] [CrossRef]
- Cardoso, L.A.; Karp, S.G.; Vendruscolo, F.; Kanno, K.Y.; Zoz, L.I.; Carvalho, J.C. Biotechnological production of carotenoids and their applications in food and pharmaceutical products. Carotenoids 2017, 8, 125–141. [Google Scholar]
- Grossman, A.R.; Lohr, M.; Im, C.S. Chlamydomonas reinhardtii in the landscape of pigments. Annu. Rev. Genet. 2004, 38, 119–173. [Google Scholar] [CrossRef]
- Zhang, Y.; Yu, H.; Ye, L. From β-Carotene to Retinoids: A Review of Microbial Production of Vitamin A. J. Agric. Food Chem. 2024, 72, 20752–20762. [Google Scholar] [CrossRef]
- Begum, H.; Yusoff, F.M.; Banerjee, S.; Khatoon, H.; Shariff, M. Availability and utilization of pigments from microalgae. Crit. Rev. Food Sci. Nutr. 2016, 56, 2209–2222. [Google Scholar] [CrossRef] [PubMed]
- Leliaert, F. Green algae: Chlorophyta and streptophyta. In Encyclopedia of Microbiology; Academic Press: Cambridge, MA, USA, 2019; pp. 457–468. [Google Scholar]
- Wichuk, K.; Brynjólfsson, S.; Fu, W. Biotechnological production of value-added carotenoids from microalgae: Emerging technology and prospects. Bioengineered 2014, 5, 204–208. [Google Scholar] [CrossRef]
- Lou, S.; Lin, X.; Liu, C.; Anwar, M.; Li, H.; Hu, Z. Molecular cloning and functional characterization of CvLCYE, a key enzyme in lutein synthesis pathway in Chlorella vulgaris. Algal Res. 2021, 55, 102246. [Google Scholar] [CrossRef]
- Huang, W.; Lin, Y.; He, M.; Gong, Y.; Huang, J. Induced High-Yield Production of Zeaxanthin, Lutein, and β-Carotene by a Mutant of Chlorella zofingiensis. J. Agric. Food Chem. 2018, 66, 891–897. [Google Scholar] [CrossRef]
- Bleisch, R.; Ihadjadene, Y.; Torrisi, A.; Walther, T.; Mühlstädt, G.; Steingröwer, J.; Streif, S.; Krujatz, F. Physiological Adaptation of Chromochloris zofingiensis in Three-Phased Cultivation Performed in a Pilot-Scale Photobioreactor. Life 2025, 15, 648. [Google Scholar] [CrossRef]
- Eliáš, M.; Amaral, R.; Fawley, K.P.; Fawley, M.W.; Němcová, Y.; Neustupa, J.; Přibyl, P.; Santos, L.; Ševčíková, T. Eustigmatophyceae. In Handbook of the Protists; Springer: Cham, Switzerland, 2016; pp. 1–39. [Google Scholar]
- Stoyneva-Gärtner, M.; Stoykova, P.; Uzunov, B.; Dincheva, I.; Atanassov, I.; Draganova, P.; Borisova, C.; Gärtner, G. Carotenoids in five aeroterrestrial strains from Vischeria/Eustigmatos group: Updating the pigment pattern of Eustigmatophyceae. Biotechnol. Biotechnol. Equip. 2019, 33, 250–267. [Google Scholar] [CrossRef]
- Tounsi, L.; Ben Hlima, H.; Fendri, I.; Abdelkafi, S.; Michaud, P. Photoautotrophic growth and accumulation of macromolecules by Porphyridium cruentum UTEX 161 depending on culture media. Biomass Convers. Biorefin. 2024, 14, 26323–26340. [Google Scholar] [CrossRef]
- Banskota, A.H.; Sperker, S.; Stefanova, R.; McGinn, P.J.; O’Leary, S.J. Antioxidant properties and lipid composition of selected microalgae. J. Appl. Phycol. 2019, 31, 309–318. [Google Scholar] [CrossRef]
- Silva, I.Q.; Machado, B.R.; Ferreira, T.M.; Borges, J.D.F.; Teixeira, C.M.L.L.; Santos, L.O. Carotenoid Production by Dunaliella salina with Magnetic Field Application. Fermentation 2025, 11, 487. [Google Scholar] [CrossRef]
- Mei, R.; Yang, H.; Guo, C.; Hong, Z.; Hu, Z.; Wu, Y.; Huang, D.; Wang, C. Effects of high light exposure and heterologous expression of β-carotene ketolase on the metabolism of carotenoids in Chlamydomonas reinhardtii. Front. Bioeng. Biotechnol. 2025, 13, 1533661. [Google Scholar] [CrossRef]
- Pinto, A.S.; Maia, C.; Sousa, S.A.; Tavares, T.; Pires, J.C.M. Amino Acid and Carotenoid Profiles of Chlorella vulgaris During Two-Stage Cultivation at Different Salinities. Bioengineering 2025, 12, 284. [Google Scholar] [CrossRef]
- Bianchini, C.B.; Minatel, G.G.; Schappo, F.B.; Arend, G.D.; de Mello Castanho Amboni, R.D.; de Rosso, V.V.; Nunes, I.L. Exploring carotenoid from Chlorella sorokiniana as a natural alternative to yellow artificial food dyes: Stability and application in model system. Food Chem. 2025, 493, 145801. [Google Scholar] [CrossRef]
- Truong, T.Q.; Park, Y.J.; Koo, S.Y.; Choi, J.-H.; Enkhbayar, A.; Song, D.-G.; Kim, S.M. Interdependence of fucoxanthin biosynthesis and fucoxanthin-chlorophyll a/c binding proteins in Phaeodactylum tricornutum under different light intensities. J. Appl. Phycol. 2023, 35, 25–42. [Google Scholar] [CrossRef]
- Gong, M.; Bassi, A. Carotenoids from microalgae: A review of recent developments. Biotechnol. Adv. 2016, 34, 1396–1412. [Google Scholar] [CrossRef] [PubMed]
- Rammuni, M.N.; Ariyadasa, T.U.; Nimarshana, P.H.V.; Attalage, R.A. Comparative assessment on the extraction of carotenoids from microalgal sources: Astaxanthin from H. pluvialis and β-carotene from D. salina. Food Chem. 2019, 277, 128–134. [Google Scholar] [CrossRef] [PubMed]
- Novoveská, L.; Ross, M.E.; Stanley, M.S.; Pradelles, R.; Wasiolek, V.; Sassi, J.-F. Microalgal Carotenoids: A Review of Production, Current Markets, Regulations, and Future Direction. Mar. Drugs 2019, 17, 640. [Google Scholar] [CrossRef] [PubMed]
- Bogacz-Radomska, L.; Harasym, J. β-Carotene—Properties and production methods. Food Qual. Saf. 2018, 2, 69–74. [Google Scholar] [CrossRef]
- Kyriakopoulou, K.; Papadaki, S.; Krokida, M. Life cycle analysis of β-carotene extraction techniques. J. Food Eng. 2015, 167, 51–58. [Google Scholar] [CrossRef]
- Mrowicka, M.; Mrowicki, J.; Kucharska, E.; Majsterek, I. Lutein and zeaxanthin and their roles in age-related macular degenera-tion—Neurodegenerative disease. Nutrients 2022, 14, 827. [Google Scholar] [CrossRef] [PubMed]
- Ferreira, J.; Braga, M.Q.; da Gama, R.C.N.; Magalhães, I.B.; Marangon, B.B.; de Siqueira Castro, J.; Lorentz, J.F.; Henriques, B.S.; de Paula Pereira, A.S.A.; Assemany, P.P. Carotenoids from wastewater-grown microalgae biomass: Life cycle assessment and tech-no-economical analysis. J. Clean. Prod. 2024, 434, 140526. [Google Scholar] [CrossRef]
- Singh, D.P.; Khattar, J.S.; Rajput, A.; Chaudhary, R.; Singh, R. High production of carotenoids by the green microalga Asterarcys quadricellulare PUMCC 5.1. 1 under optimized culture conditions. PLoS ONE 2019, 14, 0221930. [Google Scholar] [CrossRef]
- Barredo, J.-L. Microbial Carotenoids from Bacteria and Microalgae, Methods and Protocols; Humana Press: New York, NY, USA, 2012; p. 5. [Google Scholar]
- Koizumi, J.; Takatani, N.; Kobayashi, N.; Mikami, K.; Miyashita, K.; Yamano, Y.; Wada, A.; Maoka, T.; Hosokawa, M. Carotenoid profiling of a red seaweed Pyropia yezoensis: Insights into biosynthetic pathways in the order Bangiales. Mar. Drugs 2018, 16, 426. [Google Scholar] [CrossRef]
- Goswami, R.K.; Agrawal, K.; Verma, P. An overview of microalgal carotenoids: Advances in the production and its impact on sustainable development. In Bioenergy Research: Evaluating Strategies for Commercialization and Sustainability; Wiley Online Library: Hoboken, NJ, USA, 2021; pp. 105–128. [Google Scholar]
- Takaichi, S. Carotenoids in algae: Distributions, biosyntheses and functions. Mar. Drugs 2011, 9, 1101–1118. [Google Scholar] [CrossRef]
- Nisar, N.; Li, L.; Lu, S.; Khin, N.C.; Pogson, B.J. Carotenoid metabolism in plants. Mol. Plant 2015, 8, 68–82. [Google Scholar] [CrossRef]
- Gimpel, J.A.; Henríquez, V.; Mayfield, S.P. In metabolic engineering of eukaryotic microalgae: Potential and challenges come with great diversity. Front. Microbiol. 2015, 6, 1376. [Google Scholar] [CrossRef] [PubMed]
- Said, M.; Ibrahim, M.M. Antioxidants and Phytochemical Profiles in Medicinal Plants: Unraveling Molecular Mechanisms. Sch. Int. J. Biochem. 2024, 7, 106–117. [Google Scholar] [CrossRef]
- Yaqoob, S.; Riaz, M.; Shabbir, A.; Zia-Ul-Haq, M.; Alwakeel, S.S.; Bin-Jumah, M. Commercialization and marketing potential of carotenoids. In Carotenoids: Structure, Function in Human Body; Springer: Cham, Switzerland, 2021; pp. 799–826. [Google Scholar]
- Liu, X.; Hong, Y. Microalgae-based wastewater treatment and recovery with biomass and value-added products: A brief review. Curr. Pollut. Rep. 2021, 7, 227–245. [Google Scholar] [CrossRef]
- Kim, B.; Lee, S.Y.; Narasimhan, A.L.; Kim, S.; Oh, Y.-K. Cell disruption and astaxanthin extraction from Haematococcus pluvialis: Recent advances. Bioresour. Technol. 2022, 343, 126124. [Google Scholar] [CrossRef]
- Misawa, N. Carotenoids: Biosynthetic and Biofunctional Approaches; Springer: Singapore, 2021. [Google Scholar]
- Hammond, B.R.; Miller, L.S.; Bello, M.O.; Lindbergh, C.A.; Mewborn, C.; Renzi-Hammond, L.M. Effects of Lutein/Zeaxanthin Supplementation on the Cognitive Function of Community Dwelling Older Adults: A Randomized, Double-Masked, Place-bo-Controlled Trial. Front. Aging Neurosci. 2017, 9, 254. [Google Scholar] [CrossRef]
- Javed, S.; Mahmood, S.; Arshad, M.; Kiran, S.; Ahmedah, H.T. Carotenoids and cardiovascular diseases. In Carotenoids: Structure, Function in Human Body; Springer: Cham, Switzerland, 2021; pp. 649–696. [Google Scholar]
- Tanaka, T.; Shnimizu, M.; Moriwaki, H. Cancer chemoprevention by caroteno. Molecules 2012, 17, 3202–3242. [Google Scholar] [CrossRef]
- Cui, H.; Zhu, X.; Yu, X.; Li, S.; Wang, K.; Wei, L.; Li, R.; Qin, S. Advancements of astaxanthin production in Haematococcus pluvialis: Update insight and way forward. Biotechnol. Adv. 2025, 79, 108519. [Google Scholar] [CrossRef]
- Razzak, S.A. Comprehensive overview of microalgae-derived carotenoids and their applications in diverse industries. Algal Res. 2024, 78, 103422. [Google Scholar] [CrossRef]
- Udayakumar, G.P.; Muthusamy, S.; Selvaganesh, B.; Sivarajasekar, N.; Rambabu, K.; Banat, F.; Sivamani, S.; Sivakumar, N.; Hosseini-Bandegharaei, A.; Show, P.L. Biopolymers; composites: Properties, characterization and their applications in food, medical and pharmaceutical industries. J. Environ. Chem. Eng. 2021, 9, 105322. [Google Scholar] [CrossRef]
- Hu, L.; He, J.; Dong, M.; Tang, X.; Jiang, P.; Lei, A.; Wang, J. Divergent metabolic and transcriptomic responses of Synechocystis sp. PCC 6803 to salt stress after adaptive laboratory evolution. Algal Res. 2020, 47, 101856. [Google Scholar] [CrossRef]
- Bas, T.G. Bioactivity and bioavailability of carotenoids applied in human health: Technological advances and innovation. Int. J. Mol. Sci. 2024, 25, 7603. [Google Scholar] [CrossRef] [PubMed]
- Ren, F.; Rao, C.; Xiang, Q.; Wen, J.; Dai, Q.; Li, H.; Liang, J.; Chen, Y.; Peng, C. Production Methods, Biological Activity and Potential Application Prospects of Astaxanthin. Foods 2025, 14, 2103. [Google Scholar] [CrossRef] [PubMed]
- Debnath, T.; Bandyopadhyay, T.K.; Vanitha, K.; Bobby, M.N.; Tiwari, O.N.; Bhunia, B.; Muthuraj, M. Astaxanthin from microalgae: A review on structure, biosynthesis, production strategies and application. Food Res. Int. 2024, 176, 113841. [Google Scholar] [CrossRef]
- Kumar Kashyap, P.; Singh, S.; Kumar Singh, M.; Gupta, A.; Tandon, S.; Shanker, K.; Kumar Verma, R.; Swaroop Verma, R. An efficient process for the extraction of lutein and chemical characterization of other organic volatiles from marigold (Tagetes erecta L.) flower. Food Chem. 2022, 396, 133647. [Google Scholar] [CrossRef]
- Zhou, L.; Li, K.; Duan, X.; Hill, D.; Barrow, C.; Dunshea, F.; Martin, G.; Suleria, H. Bioactive compounds in microalgae and their potential health benefits. Food Biosci. 2022, 49, 101932. [Google Scholar] [CrossRef]
- Ren, Y.; Sun, H.; Deng, J.; Huang, J.; Chen, F. Carotenoid production from microalgae: Biosynthesis, salinity responses and novel biotechnologies. Mar. Drugs 2021, 19, 713. [Google Scholar] [CrossRef]
- Kneip, J.S.; Kniepkamp, N.; Jang, J.; Mortaro, M.G.; Jin, E.; Kruse, O.; Baier, T. CRISPR/Cas9-Mediated knockout of the lycopene ε-Cyclase for efficient Astaxanthin production in the green microalga Chlamydomonas reinhardtii. Plants 2024, 13, 1393. [Google Scholar] [CrossRef] [PubMed]
- Baek, K.; Kim, D.H.; Jeong, J.; Sim, S.J.; Melis, A.; Kim, J.-S.; Jin, E.; Bae, S. DNA-free two-gene knockout in Chlamydomonas rein-hardtii via CRISPR-Cas9 ribonucleoproteins. Sci. Rep. 2016, 6, 30620. [Google Scholar] [CrossRef] [PubMed]
- Hu, L.; Feng, S.; Liang, G.; Du, J.; Li, A.; Niu, C. CRISPR/Cas9-induced β-carotene hydroxylase mutation in Dunaliella salina CCAP19/18. Amb. Express 2021, 11, 83. [Google Scholar] [CrossRef]
- Liu, J.; Sun, Z.; Gerken, H.; Huang, J.; Jiang, Y.; Chen, F. Genetic engineering of the green alga Chlorella zofingiensis: A modified norflurazon-resistant phytoene desaturase gene as a dominant selectable marker. Appl. Microbiol. Biotechnol. 2014, 98, 5069–5079. [Google Scholar] [CrossRef]
- Jacob-Lopes, E.; Queiroz, M.I.; Zepka, L.Q. Pigments from Microalgae Handbook; Springer: Cham, Switzerland, 2020. [Google Scholar]
- Ma, R.; Thomas-Hall, S.R.; Chua, E.T.; Eltanahy, E.; Netzel, M.E.; Netzel, G.; Lu, Y.; Schenk, P.M. Blue light enhances astaxanthin biosynthesis metabolism and extraction efficiency in Haematococcus pluvialis by inducing haematocyst germination. Algal Res. 2018, 35, 215–222. [Google Scholar] [CrossRef]
- Kiba, T.; Inaba, J.; Kudo, T.; Ueda, N.; Konishi, M.; Mitsuda, N.; Takiguchi, Y.; Kondou, Y.; Yoshizumi, T.; Ohme-Takagi, M.; et al. Repression of Nitrogen Starvation Responses by Members of the Arabidopsis GARP-Type Transcription Factor NIGT1/HRS1 Subfamily. Plant Cell 2018, 30, 925–945. [Google Scholar] [CrossRef]
- Quintero, F.J.; Martinez-Atienza, J.; Villalta, I.; Jiang, X.; Kim, W.-Y.; Ali, Z.; Fujii, H.; Mendoza, I.; Yun, D.-J.; Zhu, J.-K.; et al. Activation of the plasma membrane Na/H antiporter Salt-Overly-Sensitive 1 (SOS1) by phosphorylation of an auto-inhibitory C-terminal domain. Proc. Natl. Acad. Sci. USA 2011, 108, 2611–2616. [Google Scholar] [CrossRef] [PubMed]
- Kabir, M.F.; Ju, L.-K. On optimization of enzymatic processes: Temperature effects on activity and long-term deactivation kinetics. Process Biochem. 2023, 130, 734–746. [Google Scholar] [CrossRef]
- Kato, S.; Shinomura, T. Carotenoid Synthesis and Accumulation in Microalgae Under Environmental Stress. In Pigments from Microalgae Handbook; Jacob-Lopes, E., Queiroz, M.I., Zepka, L.Q., Eds.; Springer International Publishing: Cham, Switzerland, 2020; pp. 69–80. [Google Scholar]
- Koletti, A.; Skliros, D.; Dervisi, I.; Roussis, A.; Flemetakis, E. Oxidative Stress Responses in Microalgae: Modern Insights into an Old Topic. Appl. Microbiol. 2025, 5, 37. [Google Scholar] [CrossRef]
- Abdur Razzak, S.; Bahar, K.; Islam, K.M.O.; Haniffa, A.K.; Faruque, M.O.; Hossain, S.M.Z.; Hossain, M.M. Microalgae cultivation in photobioreactors: Sustainable solutions for a greener future. Green Chem. Eng. 2024, 5, 418–439. [Google Scholar] [CrossRef]
- Perez-Garcia, O.; Escalante, F.M.E.; de-Bashan, L.E.; Bashan, Y. Heterotrophic cultures of microalgae: Metabolism and potential products. Water Res. 2011, 45, 11–36. [Google Scholar] [CrossRef]
- Shan, S.; Manyakhin, A.Y.; Wang, C.; Ge, B.; Han, J.; Zhang, X.; Zhou, C.; Yan, X.; Ruan, R.; Cheng, P. Mixotrophy, a more promising culture mode: Multi-faceted elaboration of carbon and energy metabolism mechanisms to optimize microalgae culture. Bioresour. Technol. 2023, 386, 129512. [Google Scholar] [CrossRef] [PubMed]
- Chen, F.; Zhang, L.; Guo, S.; Yu, W.; Li, J.; Liu, J. Exopolysaccharide from Haematococcus pluvialis enhances photosynthesis, bi-omass and astaxanthin accumulation. Algal Res. 2025, 90, 104120. [Google Scholar] [CrossRef]
- Li, J.; Zhu, D.; Niu, J.; Shen, S.; Wang, G. An economic assessment of astaxanthin production by large scale cultivation of Haematococcus pluvialis. Biotechnol. Adv. 2011, 29, 568–574. [Google Scholar] [CrossRef]
- Park, J.S.; Chyun, J.H.; Kim, Y.K.; Line, L.L.; Chew, B.P. Astaxanthin decreased oxidative stress and inflammation and enhanced immune response in humans. Nutr. Metab. 2010, 7, 18. [Google Scholar] [CrossRef]
- Nowaczyk, M.; Malcher, A.; Zimna, A.; Łabędź, W.; Kubaszewski, Ł.; Fiedorowicz, K.; Wierzbiński, K.; Rozwadowska, N.; Kurpisz, M. Transient and Stable Overexpression of Extracellular Superoxide Dismutase is Positively Associated with the Myogenic Function of Human Skeletal Muscle-Derived Stem/Progenitor Cells. Antioxidants 2020, 9, 817. [Google Scholar] [CrossRef]
- Yang, G.; Li, Q.; Peng, J.; Jin, L.; Zhu, X.; Zheng, D.; Zhang, Y.; Wang, R.; Song, Y.; Hu, W.; et al. Fucoxanthin regulates Nrf2 signaling to decrease oxidative stress and improves renal fibrosis depending on Sirt1 in HG-induced GMCs and STZ-induced diabetic rats. Eur. J. Pharmacol. 2021, 913, 174629. [Google Scholar] [CrossRef]
- Bian, Q.; Gao, S.; Zhou, J.; Qin, J.; Taylor, A.; Johnson, E.J.; Tang, G.; Sparrow, J.R.; Gierhart, D.; Shang, F. Lutein and zeaxanthin supplementation reduces photooxidative damage and modulates the expression of inflammation-related genes in retinal pig-ment epithelial cells. Free Radic. Biol. Med. 2012, 53, 1298–1307. [Google Scholar] [CrossRef]
- Arefpour, H.; Rasaei, N.; Amini, M.R.; Salavatizadeh, M.; Hashemi, M.; Makhtoomi, M.; Hajiaqaei, M.; Gholizadeh, M.; Askarpour, M.; Hekmatdoost, A. The effects of astaxanthin supplementation on liver enzyme levels: A systematic review and me-ta-analysis. Int. J. Vitam. Nutr. Res. 2024, 94, 434–442. [Google Scholar] [CrossRef] [PubMed]
- Pashkow, F.J.; Watumull, D.G.; Campbell, C.L. Astaxanthin: A Novel Potential Treatment for Oxidative Stress and Inflammation in Cardiovascular Disease. Am. J. Cardiol. 2008, 101, S58–S68. [Google Scholar] [CrossRef] [PubMed]
- Manayi, A.; Abdollahi, M.; Raman, T.; Nabavi, S.F.; Habtemariam, S.; Daglia, M.; Nabavi, S.M. Lutein and cataract: From bench to bedside. Crit. Rev. Biotechnol. 2016, 36, 829–839. [Google Scholar] [CrossRef]
- Heo, S.-J.; Yoon, W.-J.; Kim, K.-N.; Ahn, G.-N.; Kang, S.-M.; Kang, D.-H.; Affan, A.; Oh, C.; Jung, W.-K.; Jeon, Y.-J. Evaluation of anti-inflammatory effect of fucoxanthin isolated from brown algae in lipopolysaccharide-stimulated RAW 264.7 macrophages. Food Chem. Toxicol. 2010, 48, 2045–2051. [Google Scholar] [CrossRef]
- Almetwaly, H.; Elmetwalli, A.; El-Amier, Y.A.; Elsayed, A. Antineoplastic potential of Kushneria avicenniae pigments via modulation of the BAX/BCL-2 axis and CASP-9 pathway in inducing G2/M arrest and apoptosis in liver and breast cancer. Med. Oncol. 2025, 42, 400. [Google Scholar] [CrossRef] [PubMed]
- Méresse, S.; Fodil, M.; Fleury, F.; Chénais, B. Fucoxanthin, a Marine-Derived Carotenoid from Brown Seaweeds and Microalgae: A Promising Bioactive Compound for Cancer Therapy. Int. J. Mech. Sci. 2020, 21, 9273. [Google Scholar] [CrossRef]
- Utpal, B.K.; Dehbia, Z.; Zidan, B.M.R.M.; Sweilam, S.H.; Singh, L.P.; Arunkumar, M.S.; Sona, M.; Panigrahy, U.P.; Keerthana, R.; Mandadi, S.R.; et al. Carotenoids as modulators of the PI3K/Akt/mTOR pathway: Innovative strategies in cancer therapy. Med. Oncol. 2024, 42, 4. [Google Scholar] [CrossRef]
- Sun, D.; Wu, S.; Li, X.; Ge, B.; Zhou, C.; Yan, X.; Ruan, R.; Cheng, P. The Structure, Functions and Potential Medicinal Effects of Chlorophylls Derived from Microalgae. Mar. Drugs 2024, 22, 65. [Google Scholar] [CrossRef]
- Alves-Rodrigues, A.; Shao, A. The science behind lutein. Toxicol. Lett. 2004, 150, 57–83. [Google Scholar] [CrossRef]
- Yeh, W.-J.; Yan, C.; Wu, C.-H. Photoprotective Effects of Phytochemicals on Blue Light-Induced Retinal Damage: Current Evidence and Future Perspectives. Nutrients 2025, 17, 331. [Google Scholar] [CrossRef]
- David, L.A.; Maurice, C.F.; Carmody, R.N.; Gootenberg, D.B.; Button, J.E.; Wolfe, B.E.; Ling, A.V.; Devlin, A.S.; Varma, Y.; Fischbach, M.A.; et al. Diet rapidly and reproducibly alters the human gut microbiome. Nature 2014, 505, 559–563. [Google Scholar] [CrossRef] [PubMed]
- Zhang, Y.; Zhu, X.; Huang, T.; Chen, L.; Liu, Y.; Li, Q.; Song, J.; Ma, S.; Zhang, K.; Yang, B.; et al. β-Carotene synergistically enhances the anti-tumor effect of 5-fluorouracil on esophageal squamous cell carcinoma in vivo and in vitro. Toxicol. Lett. 2016, 261, 49–58. [Google Scholar] [CrossRef] [PubMed]
- Khoo, H.E.; Ng, H.S.; Yap, W.-S.; Goh, H.J.H.; Yim, H.S. Nutrients for Prevention of Macular Degeneration and Eye-Related Diseases. Antioxidants 2019, 8, 85. [Google Scholar] [CrossRef] [PubMed]
- Johnson, E.J. Role of lutein and zeaxanthin in visual and cognitive function throughout the lifespan. Nutr. Rev. 2014, 72, 605–612. [Google Scholar] [CrossRef]
- Milani, A.; Basirnejad, M.; Shahbazi, S.; Bolhassani, A. Carotenoids: Biochemistry, pharmacology and treatment. Br. J. Pharmacol. 2017, 174, 1290–1324. [Google Scholar] [CrossRef]
- Menon, V.P.; Sudheer, A.R. Antioxidant and anti-inflammatory properties of curcumin. In The Molecular Targets and Therapeutic Uses of Curcumin in Health and Disease; Aggarwal, B.B., Surh, Y.-J., Shishodia, S., Eds.; Springer: Boston, MA, USA, 2007; pp. 105–125. [Google Scholar]
- Ismail, H.A.; El-Sawah, T.H.; Ayyash, M.; Adhikari, B.; Elkot, W.F. Functionalization of Ricotta cheese with powder of spirulina platensis: Physicochemical, sensory, and microbiological properties. Int. J. Food Prop. 2023, 26, 1968–1983. [Google Scholar] [CrossRef]
- Gallo, C.; Barra, G.; Saponaro, M.; Manzo, E.; Fioretto, L.; Ziaco, M.; Nuzzo, G.; d’Ippolito, G.; De Palma, R.; Fontana, A. A New Bioassay Platform Design for the Discovery of Small Molecules with Anticancer Immunotherapeutic Activity. Mar. Drugs 2020, 18, 604. [Google Scholar] [CrossRef]
- Lafarga, T. Effect of microalgal biomass incorporation into foods: Nutritional and sensorial attributes of the end products. Algal Res. 2019, 41, 101566. [Google Scholar] [CrossRef]
- Roobab, U.; Batool, Z.; Manzoor, M.F.; Shabbir, M.A.; Khan, M.R. Aadil, Sources, formulations, advanced delivery and health benefits of probiotics. Curr. Opin. Food Sci. 2020, 32, 17–28. [Google Scholar] [CrossRef]
- Alshehab, M.; Reis, M.G.; Day, L.; Nitin, N. Milk fat globules, a novel carrier for delivery of exogenous cholecalciferol. Food Res. Int. 2019, 126, 108579. [Google Scholar] [CrossRef] [PubMed]
- Wang, D.; Meng, Y.; Zhao, X.; Fan, W.; Yi, T.; Wang, X. Sunflower oil flavored by essential oil from Punica granatum cv. Heyinshiliu peels improved its oxidative stability and sensory properties. LWT 2019, 111, 55–61. [Google Scholar] [CrossRef]
- Chen, J.; Zhu, J.; Meng, X. Aronia melanocarpa anthocyanin extracts are an effective regulator of suppressor of cytokine signaling 3-dependent insulin resistance in HepG2 and C2C12 cells. J. Funct. Foods 2020, 75, 104258. [Google Scholar] [CrossRef]
- Tomaszewska-Ciosk, E.; Zdybel, E.; Lech, K.; Nemś, A. Effect of ethanol on properties of extrudates enriched with high-fibre by-products. Int. J. Food Sci. Technol. 2019, 54, 2811–2820. [Google Scholar] [CrossRef]
- Prates, J.A.M. Applications of Bioactive Compounds from Marine Microalgae in Health, Cosmetics, and Functional Foods. Appl. Sci. 2025, 15, 6144. [Google Scholar] [CrossRef]
- Hiranrat, A.; Holland, D.C.; Mahabusarakam, W.; Hooper, J.N.A.; Avery, V.M.; Carroll, A.R. Tedaniophorbasins A and B-Novel Fluorescent Pteridine Alkaloids Incorporating a Thiomorpholine from the Sponge Tedaniophorbas ceratosis. Mar. Drugs 2021, 19, 95. [Google Scholar] [CrossRef]
- Seth, K.; Kumar, A.; Rastogi, R.P.; Meena, M.; Vinayak, V. Harish, Bioprospecting of fucoxanthin from diatoms-Challenges and perspectives. Algal Res. 2021, 60, 102475. [Google Scholar] [CrossRef]
- Vural, A.T.; Özcan, D.; Güleç, A.T. Comparison of 10 versus 20 sessions tap water iontophoresis efficacy in the treatment of palmoplantar hyperhidrosis. J. Cosmet. Dermatol. 2022, 21, 2162–2168. [Google Scholar] [CrossRef]
- Zarantoniello, M.; Cattaneo, N.; Conti, F.; Carrino, M.; Cardinaletti, G.; Şener, İ.; Olivotto, I. Mitigating Dietary Microplastic Accumulation and Oxidative Stress Response in European Seabass (Dicentrarchus labrax) Juveniles Using a Natural Microencapsulated Antioxidant. Antioxidants 2024, 13, 812. [Google Scholar] [CrossRef] [PubMed]
- Zhang, C.; Jin, Y.; Yu, Y.; Xiang, J.; Li, F. Effects of natural astaxanthin from microalgae and chemically synthetic astaxanthin supplementation on two different varieties of the ridgetail white prawn (Exopalaemon carinicauda). Algal Res. 2021, 57, 102347. [Google Scholar] [CrossRef]
- Daly, B.; Swingle, J.S.; Eckert, G.L. Dietary astaxanthin supplementation for hatchery-cultured red king crab, Paralithodes camtschaticus, juveniles. Aquac. Nutr. 2013, 19, 312–320. [Google Scholar] [CrossRef]
- Morillas-España, A.; Sánchez-Zurano, A.; Lafarga, T.; Del Mar Morales-Amaral, M.; Gómez-Serrano, C.; Acién-Fernández, F.G.; González-López, C.V. Improvement of wastewater treatment capacity using the microalga Scenedesmus sp. and membrane bioreactors. Algal Res. 2021, 60, 102516. [Google Scholar] [CrossRef]
- Kichonge, B.; Kivevele, T. Viability of non-edible oilseed plants and agricultural wastes as feedstock for biofuels production: A techno-economic review from an African perspective. Biofuels Bioprod. Biorefin. 2023, 17, 1382–1410. [Google Scholar] [CrossRef]

| Classification | Microorganism | Types of Carotenoids | Concentration | Reference |
|---|---|---|---|---|
| Rhodophyta | Madagascaria erythrocladioides | Carotenoids | 2.23 mg/L | [25] |
| Porphyridium aerugineum | Zeaxanthin | 0.4 mg/g | [26] | |
| β-Carotene | 0.4 mg/g | |||
| Chlorophyta | Haematococcus pluvialis | Astaxanthin | 50 mg/g | [18] |
| Dunaliella salina | β-Carotene | 0.36 mg/L | [27] | |
| Chlorella reinhardtii | Canthaxanthin | 0.023 μg/L | [28] | |
| Neoxanthin | 0.58 mg/g | |||
| Chlorella vulgaris | Violaxanthin | 0.26 mg/g | [29] | |
| Lutein | 2.18 mg/g | |||
| Chlorella sorokiniana | Astaxanthin | 25.1 mg/L | [30] | |
| Chlorella zofingiensis | Canthaxanthin | 4.8 mg/L | [22] | |
| β-Carotene | 3.9 mg/L | |||
| Lutein | 4.4 mg/L | |||
| Violaxanthin | 12.5 mg/L | |||
| Eustigmatophyceae | Nannochloropsis | Astaxanthin | 7.4 mg/L | [24] |
| β-Carotene | 2.2 mg/L | |||
| Fucoxanthin | 1.1 mg/L | |||
| Bacillariophyceae | Phaeodactylum tricornutum | Fucoxanthin | 8.0 mg/g | [31] |
| Classified | Health Benefit | Mechanism | Reference |
|---|---|---|---|
| Lycopene | Heart protection | Antiproliferative apoptosis | [93] |
| β-carotene | Antioxidant defense | Singlet oxygen neutralization | [94] |
| Vitamin precursor | Converted to retinol | [95] | |
| Lutein | Cataract prevention | Retinal blue-light filtration | [96] |
| Blue-Light antioxidant | Lipid/protein protection | [93] | |
| Astaxanthin | Anti-inflammatory | Inflammatory modulation | [97] |
| Cardiovascular health | Vascular enhancement | [98] | |
| Fucoxanthin | Anti-obesity | Lipid gene regulation | [99] |
| Anti-inflammatory | Cytokine suppression | [99] |
Disclaimer/Publisher’s Note: The statements, opinions and data contained in all publications are solely those of the individual author(s) and contributor(s) and not of MDPI and/or the editor(s). MDPI and/or the editor(s) disclaim responsibility for any injury to people or property resulting from any ideas, methods, instructions or products referred to in the content. |
© 2026 by the authors. Licensee MDPI, Basel, Switzerland. This article is an open access article distributed under the terms and conditions of the Creative Commons Attribution (CC BY) license.
Share and Cite
Xu, P.; Wang, Y.; Luo, C.; Xue, A.; Du, H.; Chen, J. Advances in Synthetic Strategies for Microalgal Carotenoid Enhancement and Emerging Applications. Antioxidants 2026, 15, 359. https://doi.org/10.3390/antiox15030359
Xu P, Wang Y, Luo C, Xue A, Du H, Chen J. Advances in Synthetic Strategies for Microalgal Carotenoid Enhancement and Emerging Applications. Antioxidants. 2026; 15(3):359. https://doi.org/10.3390/antiox15030359
Chicago/Turabian StyleXu, Peipei, Yurong Wang, Chunli Luo, Anqi Xue, Hong Du, and Jing Chen. 2026. "Advances in Synthetic Strategies for Microalgal Carotenoid Enhancement and Emerging Applications" Antioxidants 15, no. 3: 359. https://doi.org/10.3390/antiox15030359
APA StyleXu, P., Wang, Y., Luo, C., Xue, A., Du, H., & Chen, J. (2026). Advances in Synthetic Strategies for Microalgal Carotenoid Enhancement and Emerging Applications. Antioxidants, 15(3), 359. https://doi.org/10.3390/antiox15030359

